择期手术患者术前GLP-1受体激动剂的安全性评价:系统回顾、荟萃分析和荟萃回归

IF 10 1区 医学 Q1 MEDICINE, GENERAL & INTERNAL
EClinicalMedicine Pub Date : 2025-08-12 eCollection Date: 2025-09-01 DOI:10.1016/j.eclinm.2025.103408
Sivesh K Kamarajah, Nadia Gudiozzi, John M Findlay, Matthew J Lee, Thomas Pinkney, Sheraz R Markar
{"title":"择期手术患者术前GLP-1受体激动剂的安全性评价:系统回顾、荟萃分析和荟萃回归","authors":"Sivesh K Kamarajah, Nadia Gudiozzi, John M Findlay, Matthew J Lee, Thomas Pinkney, Sheraz R Markar","doi":"10.1016/j.eclinm.2025.103408","DOIUrl":null,"url":null,"abstract":"<p><strong>Background: </strong>Obesity remains a major global public health challenge, particularly among surgical patients, where it can be associated with increased perioperative and longer-term risk. While preoperative weight management strategies are often used to mitigate these risks, scalable interventions remain limited. Glucagon-like peptide-1 receptor agonists (GLP-1 RA) are an emerging pharmacological approach for weight loss, but their perioperative safety remains uncertain. This study aimed to assess the safety and efficacy of preoperative GLP-1 therapy in elective surgical systems.</p><p><strong>Methods: </strong>In this systematic review and meta-analysis, we systematically searched PubMed, MEDLINE, Embase, and the Cochrane Library from database inception to March 31, 2025, for studies evaluating preoperative GLP-1 RA use in adults undergoing elective surgery, with no language restriction. The primary outcome was perioperative safety, defined as any complication within 90 days after surgery. The secondary outcome was preoperative weight loss. Both frequentist and Bayesian random-effects meta-analyses were conducted. A Bayesian hierarchical meta-regression was used to explore effect modifiers on the primary outcome. A risk-of-bias and Grading of Recommendations, Assessment, Development, and Evaluation (GRADE) assessment were done to determine the certainty of the evidence. Final GRADE judgements were made by two independent reviewers, with consensus reached through discussion. Between-study heterogeneity was quantified using the <i>I</i> <sup><i>2</i></sup> statistic and visualised using a standard forest plot. Potential publication bias and small study effects were assessed using visual inspection of funnel plots and Egger's test. This study is registered with PROSPERO, CRD420251027809.</p><p><strong>Findings: </strong>A total of 21 studies, comprising 97,059 patients, met inclusion criteria; 31.9% (n = 30,981) received preoperative GLP-1 RA therapy. Most studies were single-centre observational cohorts from high-income countries, with no randomised trials identified. Postoperative complications were reported in 12 studies, with no evidence of increased risk in GLP-1 users (pooled odds ratio: 0.78, 95% confidence interval: 0.59-1.05). The pooled estimate shows high heterogeneity (<i>I</i> <sup><i>2</i></sup> = 73%). Bayesian meta-analysis yielded consistent findings (posterior mean OR: 0.78; 95% credible interval: 0.57-1.12). Meta-regression identified no statistically significant modifiers of treatment effect to explain the heterogeneity. The overall GRADE assessment for certainty of evidence was very low. In studies reporting weight loss, preoperative GLP-1 RA use was associated with weight loss of up to 16.7 kg or 6.0 kg/m<sup>2</sup> over six months, though reporting varied across studies.</p><p><strong>Interpretation: </strong>Preoperative GLP-1 RA therapy may support clinically meaningful weight loss without a clear signal of increased perioperative risk, offering a potentially scalable strategy for surgical optimisation. However, the certainty of current evidence is very low, with most studies observational in design and at risk of bias. Amid rising global obesity rates and mounting surgical backlogs, the role of GLP-1RAs in perioperative care remains a critical unanswered question. Robust randomised trials are needed to establish their clinical value, cost-effectiveness, and implementation potential across diverse surgical systems. Prioritisation by funders and policymakers are needed as part of broader health policy agendas to improve population health and health system resilience.</p><p><strong>Funding: </strong>NIHR Doctoral Research Fellowship and NIHR Exeter Biomedical Research Centre Senior Investigator Fellowship.</p>","PeriodicalId":11393,"journal":{"name":"EClinicalMedicine","volume":"87 ","pages":"103408"},"PeriodicalIF":10.0000,"publicationDate":"2025-08-12","publicationTypes":"Journal Article","fieldsOfStudy":null,"isOpenAccess":false,"openAccessPdf":"https://www.ncbi.nlm.nih.gov/pmc/articles/PMC12496209/pdf/","citationCount":"0","resultStr":"{\"title\":\"Evaluation of safety of preoperative GLP-1 receptor agonists in patients undergoing elective surgery: a systematic review, meta-analysis and meta-regression.\",\"authors\":\"Sivesh K Kamarajah, Nadia Gudiozzi, John M Findlay, Matthew J Lee, Thomas Pinkney, Sheraz R Markar\",\"doi\":\"10.1016/j.eclinm.2025.103408\",\"DOIUrl\":null,\"url\":null,\"abstract\":\"<p><strong>Background: </strong>Obesity remains a major global public health challenge, particularly among surgical patients, where it can be associated with increased perioperative and longer-term risk. While preoperative weight management strategies are often used to mitigate these risks, scalable interventions remain limited. Glucagon-like peptide-1 receptor agonists (GLP-1 RA) are an emerging pharmacological approach for weight loss, but their perioperative safety remains uncertain. This study aimed to assess the safety and efficacy of preoperative GLP-1 therapy in elective surgical systems.</p><p><strong>Methods: </strong>In this systematic review and meta-analysis, we systematically searched PubMed, MEDLINE, Embase, and the Cochrane Library from database inception to March 31, 2025, for studies evaluating preoperative GLP-1 RA use in adults undergoing elective surgery, with no language restriction. The primary outcome was perioperative safety, defined as any complication within 90 days after surgery. The secondary outcome was preoperative weight loss. Both frequentist and Bayesian random-effects meta-analyses were conducted. A Bayesian hierarchical meta-regression was used to explore effect modifiers on the primary outcome. A risk-of-bias and Grading of Recommendations, Assessment, Development, and Evaluation (GRADE) assessment were done to determine the certainty of the evidence. Final GRADE judgements were made by two independent reviewers, with consensus reached through discussion. Between-study heterogeneity was quantified using the <i>I</i> <sup><i>2</i></sup> statistic and visualised using a standard forest plot. Potential publication bias and small study effects were assessed using visual inspection of funnel plots and Egger's test. This study is registered with PROSPERO, CRD420251027809.</p><p><strong>Findings: </strong>A total of 21 studies, comprising 97,059 patients, met inclusion criteria; 31.9% (n = 30,981) received preoperative GLP-1 RA therapy. Most studies were single-centre observational cohorts from high-income countries, with no randomised trials identified. Postoperative complications were reported in 12 studies, with no evidence of increased risk in GLP-1 users (pooled odds ratio: 0.78, 95% confidence interval: 0.59-1.05). The pooled estimate shows high heterogeneity (<i>I</i> <sup><i>2</i></sup> = 73%). Bayesian meta-analysis yielded consistent findings (posterior mean OR: 0.78; 95% credible interval: 0.57-1.12). Meta-regression identified no statistically significant modifiers of treatment effect to explain the heterogeneity. The overall GRADE assessment for certainty of evidence was very low. In studies reporting weight loss, preoperative GLP-1 RA use was associated with weight loss of up to 16.7 kg or 6.0 kg/m<sup>2</sup> over six months, though reporting varied across studies.</p><p><strong>Interpretation: </strong>Preoperative GLP-1 RA therapy may support clinically meaningful weight loss without a clear signal of increased perioperative risk, offering a potentially scalable strategy for surgical optimisation. However, the certainty of current evidence is very low, with most studies observational in design and at risk of bias. Amid rising global obesity rates and mounting surgical backlogs, the role of GLP-1RAs in perioperative care remains a critical unanswered question. Robust randomised trials are needed to establish their clinical value, cost-effectiveness, and implementation potential across diverse surgical systems. Prioritisation by funders and policymakers are needed as part of broader health policy agendas to improve population health and health system resilience.</p><p><strong>Funding: </strong>NIHR Doctoral Research Fellowship and NIHR Exeter Biomedical Research Centre Senior Investigator Fellowship.</p>\",\"PeriodicalId\":11393,\"journal\":{\"name\":\"EClinicalMedicine\",\"volume\":\"87 \",\"pages\":\"103408\"},\"PeriodicalIF\":10.0000,\"publicationDate\":\"2025-08-12\",\"publicationTypes\":\"Journal Article\",\"fieldsOfStudy\":null,\"isOpenAccess\":false,\"openAccessPdf\":\"https://www.ncbi.nlm.nih.gov/pmc/articles/PMC12496209/pdf/\",\"citationCount\":\"0\",\"resultStr\":null,\"platform\":\"Semanticscholar\",\"paperid\":null,\"PeriodicalName\":\"EClinicalMedicine\",\"FirstCategoryId\":\"3\",\"ListUrlMain\":\"https://doi.org/10.1016/j.eclinm.2025.103408\",\"RegionNum\":1,\"RegionCategory\":\"医学\",\"ArticlePicture\":[],\"TitleCN\":null,\"AbstractTextCN\":null,\"PMCID\":null,\"EPubDate\":\"2025/9/1 0:00:00\",\"PubModel\":\"eCollection\",\"JCR\":\"Q1\",\"JCRName\":\"MEDICINE, GENERAL & INTERNAL\",\"Score\":null,\"Total\":0}","platform":"Semanticscholar","paperid":null,"PeriodicalName":"EClinicalMedicine","FirstCategoryId":"3","ListUrlMain":"https://doi.org/10.1016/j.eclinm.2025.103408","RegionNum":1,"RegionCategory":"医学","ArticlePicture":[],"TitleCN":null,"AbstractTextCN":null,"PMCID":null,"EPubDate":"2025/9/1 0:00:00","PubModel":"eCollection","JCR":"Q1","JCRName":"MEDICINE, GENERAL & INTERNAL","Score":null,"Total":0}
引用次数: 0

摘要

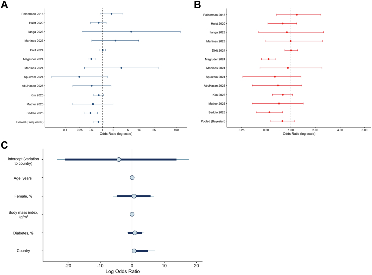
背景:肥胖仍然是一个主要的全球公共卫生挑战,特别是在手术患者中,它可能与围手术期和长期风险增加有关。虽然术前体重管理策略通常用于减轻这些风险,但可扩展的干预措施仍然有限。胰高血糖素样肽-1受体激动剂(GLP-1 RA)是一种新兴的减肥药物,但其围手术期安全性仍不确定。本研究旨在评估择期手术系统术前GLP-1治疗的安全性和有效性。方法:在本系统综述和荟萃分析中,我们系统地检索了PubMed、MEDLINE、Embase和Cochrane图书馆,从数据库建立到2025年3月31日,以评估成人择期手术术前GLP-1 RA的使用,无语言限制。主要终点是围手术期安全性,定义为术后90天内的任何并发症。次要结果是术前体重减轻。进行了频率分析和贝叶斯随机效应荟萃分析。使用贝叶斯分层元回归来探索影响主要结局的因素。通过偏倚风险和推荐、评估、发展和评价分级(GRADE)评估来确定证据的确定性。最终的GRADE评分由两名独立评审员进行,并通过讨论达成一致。研究间异质性使用i2统计量进行量化,并使用标准森林图进行可视化。使用漏斗图的目视检查和Egger检验来评估潜在的发表偏倚和小研究效应。本研究已注册为普洛斯彼罗,CRD420251027809。结果:共有21项研究,包括97,059例患者,符合纳入标准;31.9% (n = 30,981)患者术前接受GLP-1 RA治疗。大多数研究是来自高收入国家的单中心观察队列,没有确定随机试验。12项研究报告了术后并发症,没有证据表明GLP-1使用者的风险增加(合并优势比:0.78,95%可信区间:0.59-1.05)。合并估计显示高度异质性(i2 = 73%)。贝叶斯荟萃分析得出了一致的结果(后验均值OR: 0.78; 95%可信区间:0.57-1.12)。meta回归没有发现统计学上显著的治疗效果修饰因子来解释异质性。总体GRADE评价证据的确定性非常低。在报告体重减轻的研究中,术前使用GLP-1 RA与六个月内体重减轻高达16.7 kg或6.0 kg/m2相关,尽管不同研究的报告有所不同。解释:术前GLP-1 RA治疗可能支持临床有意义的体重减轻,而没有围手术期风险增加的明确信号,为手术优化提供了潜在的可扩展策略。然而,目前证据的确定性非常低,大多数研究在设计上是观察性的,存在偏倚的风险。随着全球肥胖率的上升和手术积压的增加,GLP-1RAs在围手术期护理中的作用仍然是一个关键的未解之谜。需要强有力的随机试验来确定其临床价值、成本效益和在不同手术系统中的实施潜力。需要资助者和决策者将优先事项作为更广泛的卫生政策议程的一部分,以改善人口健康和卫生系统的复原力。资助:美国国立卫生研究院博士研究奖学金和美国国立卫生研究院埃克塞特生物医学研究中心高级研究员奖学金。
本文章由计算机程序翻译,如有差异,请以英文原文为准。

Evaluation of safety of preoperative GLP-1 receptor agonists in patients undergoing elective surgery: a systematic review, meta-analysis and meta-regression.

Evaluation of safety of preoperative GLP-1 receptor agonists in patients undergoing elective surgery: a systematic review, meta-analysis and meta-regression.

Evaluation of safety of preoperative GLP-1 receptor agonists in patients undergoing elective surgery: a systematic review, meta-analysis and meta-regression.

Evaluation of safety of preoperative GLP-1 receptor agonists in patients undergoing elective surgery: a systematic review, meta-analysis and meta-regression.

Background: Obesity remains a major global public health challenge, particularly among surgical patients, where it can be associated with increased perioperative and longer-term risk. While preoperative weight management strategies are often used to mitigate these risks, scalable interventions remain limited. Glucagon-like peptide-1 receptor agonists (GLP-1 RA) are an emerging pharmacological approach for weight loss, but their perioperative safety remains uncertain. This study aimed to assess the safety and efficacy of preoperative GLP-1 therapy in elective surgical systems.

Methods: In this systematic review and meta-analysis, we systematically searched PubMed, MEDLINE, Embase, and the Cochrane Library from database inception to March 31, 2025, for studies evaluating preoperative GLP-1 RA use in adults undergoing elective surgery, with no language restriction. The primary outcome was perioperative safety, defined as any complication within 90 days after surgery. The secondary outcome was preoperative weight loss. Both frequentist and Bayesian random-effects meta-analyses were conducted. A Bayesian hierarchical meta-regression was used to explore effect modifiers on the primary outcome. A risk-of-bias and Grading of Recommendations, Assessment, Development, and Evaluation (GRADE) assessment were done to determine the certainty of the evidence. Final GRADE judgements were made by two independent reviewers, with consensus reached through discussion. Between-study heterogeneity was quantified using the I 2 statistic and visualised using a standard forest plot. Potential publication bias and small study effects were assessed using visual inspection of funnel plots and Egger's test. This study is registered with PROSPERO, CRD420251027809.

Findings: A total of 21 studies, comprising 97,059 patients, met inclusion criteria; 31.9% (n = 30,981) received preoperative GLP-1 RA therapy. Most studies were single-centre observational cohorts from high-income countries, with no randomised trials identified. Postoperative complications were reported in 12 studies, with no evidence of increased risk in GLP-1 users (pooled odds ratio: 0.78, 95% confidence interval: 0.59-1.05). The pooled estimate shows high heterogeneity (I 2 = 73%). Bayesian meta-analysis yielded consistent findings (posterior mean OR: 0.78; 95% credible interval: 0.57-1.12). Meta-regression identified no statistically significant modifiers of treatment effect to explain the heterogeneity. The overall GRADE assessment for certainty of evidence was very low. In studies reporting weight loss, preoperative GLP-1 RA use was associated with weight loss of up to 16.7 kg or 6.0 kg/m2 over six months, though reporting varied across studies.

Interpretation: Preoperative GLP-1 RA therapy may support clinically meaningful weight loss without a clear signal of increased perioperative risk, offering a potentially scalable strategy for surgical optimisation. However, the certainty of current evidence is very low, with most studies observational in design and at risk of bias. Amid rising global obesity rates and mounting surgical backlogs, the role of GLP-1RAs in perioperative care remains a critical unanswered question. Robust randomised trials are needed to establish their clinical value, cost-effectiveness, and implementation potential across diverse surgical systems. Prioritisation by funders and policymakers are needed as part of broader health policy agendas to improve population health and health system resilience.

Funding: NIHR Doctoral Research Fellowship and NIHR Exeter Biomedical Research Centre Senior Investigator Fellowship.

求助全文
通过发布文献求助,成功后即可免费获取论文全文。 去求助
来源期刊
EClinicalMedicine
EClinicalMedicine Medicine-Medicine (all)
CiteScore
18.90
自引率
1.30%
发文量
506
审稿时长
22 days
期刊介绍: eClinicalMedicine is a gold open-access clinical journal designed to support frontline health professionals in addressing the complex and rapid health transitions affecting societies globally. The journal aims to assist practitioners in overcoming healthcare challenges across diverse communities, spanning diagnosis, treatment, prevention, and health promotion. Integrating disciplines from various specialties and life stages, it seeks to enhance health systems as fundamental institutions within societies. With a forward-thinking approach, eClinicalMedicine aims to redefine the future of healthcare.
×
引用
GB/T 7714-2015
复制
MLA
复制
APA
复制
导出至
BibTeX EndNote RefMan NoteFirst NoteExpress
×
提示
您的信息不完整,为了账户安全,请先补充。
现在去补充
×
提示
您因"违规操作"
具体请查看互助需知
我知道了
×
提示
确定
请完成安全验证×
copy
已复制链接
快去分享给好友吧!
我知道了
右上角分享
点击右上角分享
0
联系我们:info@booksci.cn Book学术提供免费学术资源搜索服务,方便国内外学者检索中英文文献。致力于提供最便捷和优质的服务体验。 Copyright © 2023 布克学术 All rights reserved.
京ICP备2023020795号-1
ghs 京公网安备 11010802042870号
Book学术文献互助
Book学术文献互助群
群 号:604180095
Book学术官方微信