异基因干细胞移植治疗慢性粒细胞白血病:梅奥诊所138例患者移植后生存及危险因素分析

IF 11.6 1区 医学 Q1 HEMATOLOGY
Ali Alsugair, Estefania Gauto Mariotti, Mohammad M Alhousani, Saubia Fathima, Muhammad Yousuf, Abiola Bolarinwa, James Foran, Abishek A Mangaonkar, Mark Litzow, Hemant Murthy, Lisa Sproat, Jeanne Palmer, Aasiya Matin, Ernesto Ayala, James Slack, Luis Porrata, Madiha Iqbal, Nandita Khera, Nathan Punwani, Saad Kenderian, Saurabh Chhabra, William J Hogan, Mithun Vinod Shah, Hassan B Alkhateeb, Naseema Gangat, Mrinal Patnaik, Ayalew Tefferi
{"title":"异基因干细胞移植治疗慢性粒细胞白血病:梅奥诊所138例患者移植后生存及危险因素分析","authors":"Ali Alsugair, Estefania Gauto Mariotti, Mohammad M Alhousani, Saubia Fathima, Muhammad Yousuf, Abiola Bolarinwa, James Foran, Abishek A Mangaonkar, Mark Litzow, Hemant Murthy, Lisa Sproat, Jeanne Palmer, Aasiya Matin, Ernesto Ayala, James Slack, Luis Porrata, Madiha Iqbal, Nandita Khera, Nathan Punwani, Saad Kenderian, Saurabh Chhabra, William J Hogan, Mithun Vinod Shah, Hassan B Alkhateeb, Naseema Gangat, Mrinal Patnaik, Ayalew Tefferi","doi":"10.1038/s41408-025-01359-w","DOIUrl":null,"url":null,"abstract":"<p><p>Allogeneic stem cell transplant (ASCT) remains the only curative option in chronic myelomonocytic leukemia (CMML). We retrospectively analyzed 138 CMML patients who underwent ASCT at the Mayo Clinic. Patients who transitioned to ASCT while in chronic phase (Group A) displayed superior post-transplant survival (PTS), compared to those in whom ASCT was performed after blast transformation (BT; Group B) (median 95 vs. 16 months; p = 0.01). In Group A, PTS was superior in patients with <5% bone marrow (BM) blasts at time of ASCT (median 164 vs. 13.5 months; p = 0.01). Other predictors of superior PTS included day-100 BM blast <5% or normal cytogenetics (median 164 vs. 18 months; p = 0.01) or presence of chronic graft-versus-host-disease (GVHD; median 164 vs. 26 months; p = 0.01). Pre-ASCT hypomethylating agent exposure (HR = 2.03; p = 0.03), and receiving more than one line of pre-ASCT chemotherapy (p = 0.01) predicted inferior PTS. In multivariable analysis, predictors of superior GVHD-free and relapse-free survival (GRFS) included the use of myeloablative conditioning and the absence of morphologically or cytogenetically apparent disease at day-100. The use of post-transplant cyclophosphamide (PTCy) was associated with a higher cumulative incidence of relapse (p = 0.02) and numerically inferior PTS (p = 0.1). Group B patients also appeared to benefit from achieving BM blast <5% at the time of ASCT (p = 0.4) as well as at day-100 (p = 0.01), in terms of PTS, while full chimerism and normal cytogenetics at day-100 were associated with superior GRFS. These observations support the value of ASCT in CMML, especially if performed prior to BT and in the presence of <5% BM blasts at the time of ASCT. Additionally, the observed detrimental impact of PTCy requires additional studies to confirm and investigate the underlying mechanisms.</p>","PeriodicalId":8989,"journal":{"name":"Blood Cancer Journal","volume":"15 1","pages":"157"},"PeriodicalIF":11.6000,"publicationDate":"2025-10-06","publicationTypes":"Journal Article","fieldsOfStudy":null,"isOpenAccess":false,"openAccessPdf":"https://www.ncbi.nlm.nih.gov/pmc/articles/PMC12501290/pdf/","citationCount":"0","resultStr":"{\"title\":\"Allogeneic stem cell transplantation in chronic myelomonocytic leukemia: analysis of post-transplant survival and risk factors in 138 Mayo Clinic patients.\",\"authors\":\"Ali Alsugair, Estefania Gauto Mariotti, Mohammad M Alhousani, Saubia Fathima, Muhammad Yousuf, Abiola Bolarinwa, James Foran, Abishek A Mangaonkar, Mark Litzow, Hemant Murthy, Lisa Sproat, Jeanne Palmer, Aasiya Matin, Ernesto Ayala, James Slack, Luis Porrata, Madiha Iqbal, Nandita Khera, Nathan Punwani, Saad Kenderian, Saurabh Chhabra, William J Hogan, Mithun Vinod Shah, Hassan B Alkhateeb, Naseema Gangat, Mrinal Patnaik, Ayalew Tefferi\",\"doi\":\"10.1038/s41408-025-01359-w\",\"DOIUrl\":null,\"url\":null,\"abstract\":\"<p><p>Allogeneic stem cell transplant (ASCT) remains the only curative option in chronic myelomonocytic leukemia (CMML). We retrospectively analyzed 138 CMML patients who underwent ASCT at the Mayo Clinic. Patients who transitioned to ASCT while in chronic phase (Group A) displayed superior post-transplant survival (PTS), compared to those in whom ASCT was performed after blast transformation (BT; Group B) (median 95 vs. 16 months; p = 0.01). In Group A, PTS was superior in patients with <5% bone marrow (BM) blasts at time of ASCT (median 164 vs. 13.5 months; p = 0.01). Other predictors of superior PTS included day-100 BM blast <5% or normal cytogenetics (median 164 vs. 18 months; p = 0.01) or presence of chronic graft-versus-host-disease (GVHD; median 164 vs. 26 months; p = 0.01). Pre-ASCT hypomethylating agent exposure (HR = 2.03; p = 0.03), and receiving more than one line of pre-ASCT chemotherapy (p = 0.01) predicted inferior PTS. In multivariable analysis, predictors of superior GVHD-free and relapse-free survival (GRFS) included the use of myeloablative conditioning and the absence of morphologically or cytogenetically apparent disease at day-100. The use of post-transplant cyclophosphamide (PTCy) was associated with a higher cumulative incidence of relapse (p = 0.02) and numerically inferior PTS (p = 0.1). Group B patients also appeared to benefit from achieving BM blast <5% at the time of ASCT (p = 0.4) as well as at day-100 (p = 0.01), in terms of PTS, while full chimerism and normal cytogenetics at day-100 were associated with superior GRFS. These observations support the value of ASCT in CMML, especially if performed prior to BT and in the presence of <5% BM blasts at the time of ASCT. Additionally, the observed detrimental impact of PTCy requires additional studies to confirm and investigate the underlying mechanisms.</p>\",\"PeriodicalId\":8989,\"journal\":{\"name\":\"Blood Cancer Journal\",\"volume\":\"15 1\",\"pages\":\"157\"},\"PeriodicalIF\":11.6000,\"publicationDate\":\"2025-10-06\",\"publicationTypes\":\"Journal Article\",\"fieldsOfStudy\":null,\"isOpenAccess\":false,\"openAccessPdf\":\"https://www.ncbi.nlm.nih.gov/pmc/articles/PMC12501290/pdf/\",\"citationCount\":\"0\",\"resultStr\":null,\"platform\":\"Semanticscholar\",\"paperid\":null,\"PeriodicalName\":\"Blood Cancer Journal\",\"FirstCategoryId\":\"3\",\"ListUrlMain\":\"https://doi.org/10.1038/s41408-025-01359-w\",\"RegionNum\":1,\"RegionCategory\":\"医学\",\"ArticlePicture\":[],\"TitleCN\":null,\"AbstractTextCN\":null,\"PMCID\":null,\"EPubDate\":\"\",\"PubModel\":\"\",\"JCR\":\"Q1\",\"JCRName\":\"HEMATOLOGY\",\"Score\":null,\"Total\":0}","platform":"Semanticscholar","paperid":null,"PeriodicalName":"Blood Cancer Journal","FirstCategoryId":"3","ListUrlMain":"https://doi.org/10.1038/s41408-025-01359-w","RegionNum":1,"RegionCategory":"医学","ArticlePicture":[],"TitleCN":null,"AbstractTextCN":null,"PMCID":null,"EPubDate":"","PubModel":"","JCR":"Q1","JCRName":"HEMATOLOGY","Score":null,"Total":0}
引用次数: 0

摘要

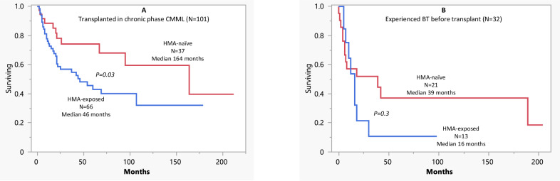
同种异体干细胞移植(ASCT)仍然是慢性髓细胞白血病(CMML)唯一的治疗选择。我们回顾性分析了138例在梅奥诊所接受ASCT的CMML患者。在慢性期过渡到ASCT的患者(A组)与在原细胞转化后进行ASCT的患者(BT组;B组)相比,移植后生存率(PTS)更高(中位95个月vs. 16个月;p = 0.01)。在A组中,PTS优于
本文章由计算机程序翻译,如有差异,请以英文原文为准。

Allogeneic stem cell transplantation in chronic myelomonocytic leukemia: analysis of post-transplant survival and risk factors in 138 Mayo Clinic patients.

Allogeneic stem cell transplantation in chronic myelomonocytic leukemia: analysis of post-transplant survival and risk factors in 138 Mayo Clinic patients.

Allogeneic stem cell transplantation in chronic myelomonocytic leukemia: analysis of post-transplant survival and risk factors in 138 Mayo Clinic patients.

Allogeneic stem cell transplantation in chronic myelomonocytic leukemia: analysis of post-transplant survival and risk factors in 138 Mayo Clinic patients.

Allogeneic stem cell transplant (ASCT) remains the only curative option in chronic myelomonocytic leukemia (CMML). We retrospectively analyzed 138 CMML patients who underwent ASCT at the Mayo Clinic. Patients who transitioned to ASCT while in chronic phase (Group A) displayed superior post-transplant survival (PTS), compared to those in whom ASCT was performed after blast transformation (BT; Group B) (median 95 vs. 16 months; p = 0.01). In Group A, PTS was superior in patients with <5% bone marrow (BM) blasts at time of ASCT (median 164 vs. 13.5 months; p = 0.01). Other predictors of superior PTS included day-100 BM blast <5% or normal cytogenetics (median 164 vs. 18 months; p = 0.01) or presence of chronic graft-versus-host-disease (GVHD; median 164 vs. 26 months; p = 0.01). Pre-ASCT hypomethylating agent exposure (HR = 2.03; p = 0.03), and receiving more than one line of pre-ASCT chemotherapy (p = 0.01) predicted inferior PTS. In multivariable analysis, predictors of superior GVHD-free and relapse-free survival (GRFS) included the use of myeloablative conditioning and the absence of morphologically or cytogenetically apparent disease at day-100. The use of post-transplant cyclophosphamide (PTCy) was associated with a higher cumulative incidence of relapse (p = 0.02) and numerically inferior PTS (p = 0.1). Group B patients also appeared to benefit from achieving BM blast <5% at the time of ASCT (p = 0.4) as well as at day-100 (p = 0.01), in terms of PTS, while full chimerism and normal cytogenetics at day-100 were associated with superior GRFS. These observations support the value of ASCT in CMML, especially if performed prior to BT and in the presence of <5% BM blasts at the time of ASCT. Additionally, the observed detrimental impact of PTCy requires additional studies to confirm and investigate the underlying mechanisms.

求助全文
通过发布文献求助,成功后即可免费获取论文全文。 去求助
来源期刊
CiteScore
16.70
自引率
2.30%
发文量
153
审稿时长
>12 weeks
期刊介绍: Blood Cancer Journal is dedicated to publishing high-quality articles related to hematologic malignancies and related disorders. The journal welcomes submissions of original research, reviews, guidelines, and letters that are deemed to have a significant impact in the field. While the journal covers a wide range of topics, it particularly focuses on areas such as: Preclinical studies of new compounds, especially those that provide mechanistic insights Clinical trials and observations Reviews related to new drugs and current management of hematologic malignancies Novel observations related to new mutations, molecular pathways, and tumor genomics Blood Cancer Journal offers a forum for expedited publication of novel observations regarding new mutations or altered pathways.
×
引用
GB/T 7714-2015
复制
MLA
复制
APA
复制
导出至
BibTeX EndNote RefMan NoteFirst NoteExpress
×
提示
您的信息不完整,为了账户安全,请先补充。
现在去补充
×
提示
您因"违规操作"
具体请查看互助需知
我知道了
×
提示
确定
请完成安全验证×
copy
已复制链接
快去分享给好友吧!
我知道了
右上角分享
点击右上角分享
0
联系我们:info@booksci.cn Book学术提供免费学术资源搜索服务,方便国内外学者检索中英文文献。致力于提供最便捷和优质的服务体验。 Copyright © 2023 布克学术 All rights reserved.
京ICP备2023020795号-1
ghs 京公网安备 11010802042870号
Book学术文献互助
Book学术文献互助群
群 号:604180095
Book学术官方微信