六种模式多细胞真核生物的多效性随基因年龄增加而增加。

IF 3.7 1区 生物学 Q2 EVOLUTIONARY BIOLOGY
Evolution Letters Pub Date : 2025-08-04 eCollection Date: 2025-10-01 DOI:10.1093/evlett/qraf025
Reese Martin, Ann T Tate
{"title":"六种模式多细胞真核生物的多效性随基因年龄增加而增加。","authors":"Reese Martin, Ann T Tate","doi":"10.1093/evlett/qraf025","DOIUrl":null,"url":null,"abstract":"<p><p>Fundamental traits of genes, including function, length, and Guanine-Cytosine (GC) content, all vary with gene age. Pleiotropy, where a single gene affects multiple traits, arises through selection for novel traits and is expected to be removed from the genome through subfunctionalization following duplication events. It is unclear, however, how these opposing forces shape the prevalence of pleiotropy through time. We hypothesized that the prevalence of pleiotropy would be lowest in young genes, peak in middle-aged genes, and then either decrease to a middling level in ancient genes or stay near the middle-aged peak, depending on the balance between exaptation and subfunctionalization. To address this question, we have calculated gene age and pleiotropic status for several model multicellular eukaryotes, including <i>Homo sapiens, Mus musculus, Danio rerio, Drosophila melanogaster, Caenorhabditis elegans</i>, and <i>Arabidopsis thaliana</i>. Gene age was determined by finding the most distantly related species that shared an ortholog using the Open Tree of Life and the Orthologous Matrix Database. Pleiotropic status was determined using both protein-protein interactions (STRINGdb) and associated biological processes (Gene Ontology). We found that middle-aged and ancient genes tend to be more pleiotropic than young genes, and that this relationship holds across all species evaluated and across both modalities of measuring pleiotropy. We also found absolute differences in the degree of pleiotropy based on gene functional class, but only when looking at biological process count. From these results, we propose that there is a fundamental relationship between pleiotropy and gene age, and further study of this relationship may shed light on the mechanism behind the functional changes genes undergo as they age.</p>","PeriodicalId":48629,"journal":{"name":"Evolution Letters","volume":"9 5","pages":"589-597"},"PeriodicalIF":3.7000,"publicationDate":"2025-08-04","publicationTypes":"Journal Article","fieldsOfStudy":null,"isOpenAccess":false,"openAccessPdf":"https://www.ncbi.nlm.nih.gov/pmc/articles/PMC12492131/pdf/","citationCount":"0","resultStr":"{\"title\":\"Pleiotropy increases with gene age in six model multicellular eukaryotes.\",\"authors\":\"Reese Martin, Ann T Tate\",\"doi\":\"10.1093/evlett/qraf025\",\"DOIUrl\":null,\"url\":null,\"abstract\":\"<p><p>Fundamental traits of genes, including function, length, and Guanine-Cytosine (GC) content, all vary with gene age. Pleiotropy, where a single gene affects multiple traits, arises through selection for novel traits and is expected to be removed from the genome through subfunctionalization following duplication events. It is unclear, however, how these opposing forces shape the prevalence of pleiotropy through time. We hypothesized that the prevalence of pleiotropy would be lowest in young genes, peak in middle-aged genes, and then either decrease to a middling level in ancient genes or stay near the middle-aged peak, depending on the balance between exaptation and subfunctionalization. To address this question, we have calculated gene age and pleiotropic status for several model multicellular eukaryotes, including <i>Homo sapiens, Mus musculus, Danio rerio, Drosophila melanogaster, Caenorhabditis elegans</i>, and <i>Arabidopsis thaliana</i>. Gene age was determined by finding the most distantly related species that shared an ortholog using the Open Tree of Life and the Orthologous Matrix Database. Pleiotropic status was determined using both protein-protein interactions (STRINGdb) and associated biological processes (Gene Ontology). We found that middle-aged and ancient genes tend to be more pleiotropic than young genes, and that this relationship holds across all species evaluated and across both modalities of measuring pleiotropy. We also found absolute differences in the degree of pleiotropy based on gene functional class, but only when looking at biological process count. From these results, we propose that there is a fundamental relationship between pleiotropy and gene age, and further study of this relationship may shed light on the mechanism behind the functional changes genes undergo as they age.</p>\",\"PeriodicalId\":48629,\"journal\":{\"name\":\"Evolution Letters\",\"volume\":\"9 5\",\"pages\":\"589-597\"},\"PeriodicalIF\":3.7000,\"publicationDate\":\"2025-08-04\",\"publicationTypes\":\"Journal Article\",\"fieldsOfStudy\":null,\"isOpenAccess\":false,\"openAccessPdf\":\"https://www.ncbi.nlm.nih.gov/pmc/articles/PMC12492131/pdf/\",\"citationCount\":\"0\",\"resultStr\":null,\"platform\":\"Semanticscholar\",\"paperid\":null,\"PeriodicalName\":\"Evolution Letters\",\"FirstCategoryId\":\"99\",\"ListUrlMain\":\"https://doi.org/10.1093/evlett/qraf025\",\"RegionNum\":1,\"RegionCategory\":\"生物学\",\"ArticlePicture\":[],\"TitleCN\":null,\"AbstractTextCN\":null,\"PMCID\":null,\"EPubDate\":\"2025/10/1 0:00:00\",\"PubModel\":\"eCollection\",\"JCR\":\"Q2\",\"JCRName\":\"EVOLUTIONARY BIOLOGY\",\"Score\":null,\"Total\":0}","platform":"Semanticscholar","paperid":null,"PeriodicalName":"Evolution Letters","FirstCategoryId":"99","ListUrlMain":"https://doi.org/10.1093/evlett/qraf025","RegionNum":1,"RegionCategory":"生物学","ArticlePicture":[],"TitleCN":null,"AbstractTextCN":null,"PMCID":null,"EPubDate":"2025/10/1 0:00:00","PubModel":"eCollection","JCR":"Q2","JCRName":"EVOLUTIONARY BIOLOGY","Score":null,"Total":0}
引用次数: 0

摘要

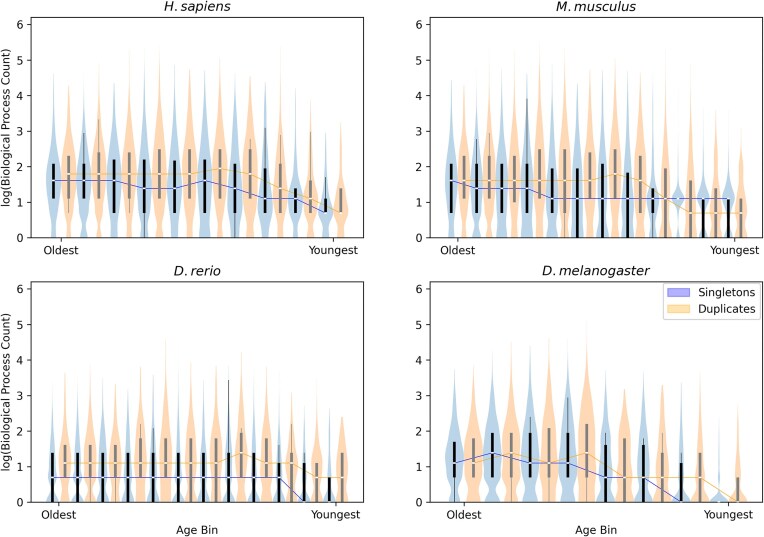
基因的基本特征,包括功能、长度和鸟嘌呤-胞嘧啶(GC)含量,都随着基因年龄的变化而变化。多效性,即单个基因影响多个性状,是通过对新性状的选择而产生的,并有望通过重复事件后的亚功能化从基因组中去除。然而,随着时间的推移,这些相反的力量是如何塑造多效性流行的,目前还不清楚。我们假设多效性的患病率在年轻基因中最低,在中年基因中达到峰值,然后在年老基因中下降到中等水平或保持在中年峰值附近,这取决于外显和亚功能化之间的平衡。为了解决这个问题,我们计算了几种典型的多细胞真核生物的基因年龄和多性状态,包括智人、小家鼠、达尼奥河鼠、黑腹果蝇、秀丽隐杆线虫和拟南芥。基因年龄是通过使用开放生命树和同源矩阵数据库找到具有相同同源的最远亲物种来确定的。通过蛋白相互作用(STRINGdb)和相关的生物学过程(Gene Ontology)来确定多效状态。我们发现中年和年老的基因往往比年轻的基因更具多效性,这种关系在所有被评估的物种和两种多效性测量方式中都成立。我们还发现了基于基因功能类别的多效性程度的绝对差异,但仅当观察生物过程计数时。根据这些结果,我们提出基因多效性与基因年龄之间存在基本关系,进一步研究这种关系可能有助于揭示基因随着年龄增长而发生功能变化的机制。
本文章由计算机程序翻译,如有差异,请以英文原文为准。

Pleiotropy increases with gene age in six model multicellular eukaryotes.

Pleiotropy increases with gene age in six model multicellular eukaryotes.

Pleiotropy increases with gene age in six model multicellular eukaryotes.

Pleiotropy increases with gene age in six model multicellular eukaryotes.

Fundamental traits of genes, including function, length, and Guanine-Cytosine (GC) content, all vary with gene age. Pleiotropy, where a single gene affects multiple traits, arises through selection for novel traits and is expected to be removed from the genome through subfunctionalization following duplication events. It is unclear, however, how these opposing forces shape the prevalence of pleiotropy through time. We hypothesized that the prevalence of pleiotropy would be lowest in young genes, peak in middle-aged genes, and then either decrease to a middling level in ancient genes or stay near the middle-aged peak, depending on the balance between exaptation and subfunctionalization. To address this question, we have calculated gene age and pleiotropic status for several model multicellular eukaryotes, including Homo sapiens, Mus musculus, Danio rerio, Drosophila melanogaster, Caenorhabditis elegans, and Arabidopsis thaliana. Gene age was determined by finding the most distantly related species that shared an ortholog using the Open Tree of Life and the Orthologous Matrix Database. Pleiotropic status was determined using both protein-protein interactions (STRINGdb) and associated biological processes (Gene Ontology). We found that middle-aged and ancient genes tend to be more pleiotropic than young genes, and that this relationship holds across all species evaluated and across both modalities of measuring pleiotropy. We also found absolute differences in the degree of pleiotropy based on gene functional class, but only when looking at biological process count. From these results, we propose that there is a fundamental relationship between pleiotropy and gene age, and further study of this relationship may shed light on the mechanism behind the functional changes genes undergo as they age.

求助全文
通过发布文献求助,成功后即可免费获取论文全文。 去求助
来源期刊
Evolution Letters
Evolution Letters EVOLUTIONARY BIOLOGY-
CiteScore
13.00
自引率
2.00%
发文量
35
审稿时长
10 weeks
期刊介绍: Evolution Letters publishes cutting-edge new research in all areas of Evolutionary Biology. Available exclusively online, and entirely open access, Evolution Letters consists of Letters - original pieces of research which form the bulk of papers - and Comments and Opinion - a forum for highlighting timely new research ideas for the evolutionary community.
×
引用
GB/T 7714-2015
复制
MLA
复制
APA
复制
导出至
BibTeX EndNote RefMan NoteFirst NoteExpress
×
提示
您的信息不完整,为了账户安全,请先补充。
现在去补充
×
提示
您因"违规操作"
具体请查看互助需知
我知道了
×
提示
确定
请完成安全验证×
copy
已复制链接
快去分享给好友吧!
我知道了
右上角分享
点击右上角分享
0
联系我们:info@booksci.cn Book学术提供免费学术资源搜索服务,方便国内外学者检索中英文文献。致力于提供最便捷和优质的服务体验。 Copyright © 2023 布克学术 All rights reserved.
京ICP备2023020795号-1
ghs 京公网安备 11010802042870号
Book学术文献互助
Book学术文献互助群
群 号:604180095
Book学术官方微信