基于计算机和实验室模拟的地震活动性分形维数与古腾堡-里希特b值的关系

IF 1 4区 地球科学 Q4 GEOCHEMISTRY & GEOPHYSICS
A. S. Cherepantsev, V. B. Smirnov, A. V. Ponomarev
{"title":"基于计算机和实验室模拟的地震活动性分形维数与古腾堡-里希特b值的关系","authors":"A. S. Cherepantsev,&nbsp;V. B. Smirnov,&nbsp;A. V. Ponomarev","doi":"10.1134/S1069351325700600","DOIUrl":null,"url":null,"abstract":"<p><b>Abstract</b>—The relationship between the Gutenberg–Richter parameters and the fractal dimension of a set of hypocenters is studied on a computer model of the Olami–Feder–Christensen cellular automaton (OFC) in spaces (on grids) of different dimensions. The modeling results are compared to the previous data of laboratory simulations of seismicity by fracturing of rock samples. Computer modeling in spaces of different dimensions has shown that the Gutenberg–Richter parameter (<i>b-</i>value) and the fractal dimension of the event set depend on the dimension of the space within which the fracture process develops, with both parameters increasing as dimensionality increases. In spaces of different dimensionalities, the stored elastic energy is released at rupture from regions that have different dimensionality. In the case of a three-dimensional (3D) space, the energy is released from a region of a certain volume, in the case of a two-dimensional (2D) space, from a region of a certain area. Given the same rupture size and the same critical elastic energy density, more energy is probably be released in the 3D (volumetric) case than in the 2D (areal) case. This can be assumed to be the reason why the power indices of the energy spectrum and fractal geometry of the fracture process differ in spaces of different dimensions. The results of the computer and laboratory modeling of seismicity also support the validity of the Aki formula stating direct proportion between the <i>b</i>-value and the fractal dimension. The substantiation of the validity of the Aki formula for fracture in spaces of different dimensionalities may be useful for the development of methods for a more meaningful and effective transition from seismic statistics to estimates of the physical parameters of the fracture process in regions with different types of fracture in different tectonic conditions.</p>","PeriodicalId":602,"journal":{"name":"Izvestiya, Physics of the Solid Earth","volume":"61 4","pages":"682 - 690"},"PeriodicalIF":1.0000,"publicationDate":"2025-10-06","publicationTypes":"Journal Article","fieldsOfStudy":null,"isOpenAccess":false,"openAccessPdf":"","citationCount":"0","resultStr":"{\"title\":\"The Relationship between the Gutenberg–Richter b-Value and the Fractal Dimension of Seismicity according to Computer and Laboratory Modeling in Spaces of Various Dimensions\",\"authors\":\"A. S. Cherepantsev,&nbsp;V. B. Smirnov,&nbsp;A. V. Ponomarev\",\"doi\":\"10.1134/S1069351325700600\",\"DOIUrl\":null,\"url\":null,\"abstract\":\"<p><b>Abstract</b>—The relationship between the Gutenberg–Richter parameters and the fractal dimension of a set of hypocenters is studied on a computer model of the Olami–Feder–Christensen cellular automaton (OFC) in spaces (on grids) of different dimensions. The modeling results are compared to the previous data of laboratory simulations of seismicity by fracturing of rock samples. Computer modeling in spaces of different dimensions has shown that the Gutenberg–Richter parameter (<i>b-</i>value) and the fractal dimension of the event set depend on the dimension of the space within which the fracture process develops, with both parameters increasing as dimensionality increases. In spaces of different dimensionalities, the stored elastic energy is released at rupture from regions that have different dimensionality. In the case of a three-dimensional (3D) space, the energy is released from a region of a certain volume, in the case of a two-dimensional (2D) space, from a region of a certain area. Given the same rupture size and the same critical elastic energy density, more energy is probably be released in the 3D (volumetric) case than in the 2D (areal) case. This can be assumed to be the reason why the power indices of the energy spectrum and fractal geometry of the fracture process differ in spaces of different dimensions. The results of the computer and laboratory modeling of seismicity also support the validity of the Aki formula stating direct proportion between the <i>b</i>-value and the fractal dimension. The substantiation of the validity of the Aki formula for fracture in spaces of different dimensionalities may be useful for the development of methods for a more meaningful and effective transition from seismic statistics to estimates of the physical parameters of the fracture process in regions with different types of fracture in different tectonic conditions.</p>\",\"PeriodicalId\":602,\"journal\":{\"name\":\"Izvestiya, Physics of the Solid Earth\",\"volume\":\"61 4\",\"pages\":\"682 - 690\"},\"PeriodicalIF\":1.0000,\"publicationDate\":\"2025-10-06\",\"publicationTypes\":\"Journal Article\",\"fieldsOfStudy\":null,\"isOpenAccess\":false,\"openAccessPdf\":\"\",\"citationCount\":\"0\",\"resultStr\":null,\"platform\":\"Semanticscholar\",\"paperid\":null,\"PeriodicalName\":\"Izvestiya, Physics of the Solid Earth\",\"FirstCategoryId\":\"89\",\"ListUrlMain\":\"https://link.springer.com/article/10.1134/S1069351325700600\",\"RegionNum\":4,\"RegionCategory\":\"地球科学\",\"ArticlePicture\":[],\"TitleCN\":null,\"AbstractTextCN\":null,\"PMCID\":null,\"EPubDate\":\"\",\"PubModel\":\"\",\"JCR\":\"Q4\",\"JCRName\":\"GEOCHEMISTRY & GEOPHYSICS\",\"Score\":null,\"Total\":0}","platform":"Semanticscholar","paperid":null,"PeriodicalName":"Izvestiya, Physics of the Solid Earth","FirstCategoryId":"89","ListUrlMain":"https://link.springer.com/article/10.1134/S1069351325700600","RegionNum":4,"RegionCategory":"地球科学","ArticlePicture":[],"TitleCN":null,"AbstractTextCN":null,"PMCID":null,"EPubDate":"","PubModel":"","JCR":"Q4","JCRName":"GEOCHEMISTRY & GEOPHYSICS","Score":null,"Total":0}
引用次数: 0

摘要

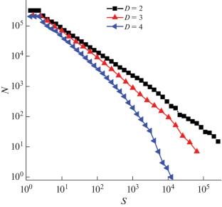
摘要在不同维数空间(网格上)的olami - federd - christensen元胞自动机(OFC)计算机模型上研究了一组震源的Gutenberg-Richter参数与分形维数的关系。模拟结果与以往岩样破裂地震活动性的室内模拟数据进行了比较。不同维空间的计算机模拟表明,古腾堡-里希特参数(b值)和事件集的分形维数取决于断裂过程发生的空间维数,这两个参数都随着维数的增加而增加。在不同维数的空间中,储存的弹性能在破裂时从不同维数的区域释放出来。在三维(3D)空间中,能量从一定体积的区域释放,在二维(2D)空间中,能量从一定面积的区域释放。给定相同的破裂尺寸和相同的临界弹性能量密度,在三维(体积)情况下释放的能量可能比在二维(面积)情况下释放的能量更多。这可以认为是断裂过程能谱功率指数和分形几何在不同维数空间中存在差异的原因。地震活动性的计算机模拟和室内模拟结果也支持了分形维数与b值成正比的Aki公式的有效性。证实Aki公式在不同维度空间中裂缝的有效性,可能有助于开发更有意义和有效的方法,从地震统计过渡到在不同构造条件下具有不同类型裂缝的区域中裂缝过程的物理参数估计。
本文章由计算机程序翻译,如有差异,请以英文原文为准。

The Relationship between the Gutenberg–Richter b-Value and the Fractal Dimension of Seismicity according to Computer and Laboratory Modeling in Spaces of Various Dimensions

The Relationship between the Gutenberg–Richter b-Value and the Fractal Dimension of Seismicity according to Computer and Laboratory Modeling in Spaces of Various Dimensions

Abstract—The relationship between the Gutenberg–Richter parameters and the fractal dimension of a set of hypocenters is studied on a computer model of the Olami–Feder–Christensen cellular automaton (OFC) in spaces (on grids) of different dimensions. The modeling results are compared to the previous data of laboratory simulations of seismicity by fracturing of rock samples. Computer modeling in spaces of different dimensions has shown that the Gutenberg–Richter parameter (b-value) and the fractal dimension of the event set depend on the dimension of the space within which the fracture process develops, with both parameters increasing as dimensionality increases. In spaces of different dimensionalities, the stored elastic energy is released at rupture from regions that have different dimensionality. In the case of a three-dimensional (3D) space, the energy is released from a region of a certain volume, in the case of a two-dimensional (2D) space, from a region of a certain area. Given the same rupture size and the same critical elastic energy density, more energy is probably be released in the 3D (volumetric) case than in the 2D (areal) case. This can be assumed to be the reason why the power indices of the energy spectrum and fractal geometry of the fracture process differ in spaces of different dimensions. The results of the computer and laboratory modeling of seismicity also support the validity of the Aki formula stating direct proportion between the b-value and the fractal dimension. The substantiation of the validity of the Aki formula for fracture in spaces of different dimensionalities may be useful for the development of methods for a more meaningful and effective transition from seismic statistics to estimates of the physical parameters of the fracture process in regions with different types of fracture in different tectonic conditions.

求助全文
通过发布文献求助,成功后即可免费获取论文全文。 去求助
来源期刊
Izvestiya, Physics of the Solid Earth
Izvestiya, Physics of the Solid Earth 地学-地球化学与地球物理
CiteScore
1.60
自引率
30.00%
发文量
60
审稿时长
6-12 weeks
期刊介绍: Izvestiya, Physics of the Solid Earth is an international peer reviewed journal that publishes results of original theoretical and experimental research in relevant areas of the physics of the Earth''s interior and applied geophysics. The journal welcomes manuscripts from all countries in the English or Russian language.
×
引用
GB/T 7714-2015
复制
MLA
复制
APA
复制
导出至
BibTeX EndNote RefMan NoteFirst NoteExpress
×
提示
您的信息不完整,为了账户安全,请先补充。
现在去补充
×
提示
您因"违规操作"
具体请查看互助需知
我知道了
×
提示
确定
请完成安全验证×
copy
已复制链接
快去分享给好友吧!
我知道了
右上角分享
点击右上角分享
0
联系我们:info@booksci.cn Book学术提供免费学术资源搜索服务,方便国内外学者检索中英文文献。致力于提供最便捷和优质的服务体验。 Copyright © 2023 布克学术 All rights reserved.
京ICP备2023020795号-1
ghs 京公网安备 11010802042870号
Book学术文献互助
Book学术文献互助群
群 号:604180095
Book学术官方微信