Sacituzumab Govitecan初始剂量降低对波兰转移性三阴性乳腺癌患者的疗效和安全性的影响

IF 2.3 4区 医学 Q3 ONCOLOGY
Małgorzata Pieniążek, Marcin Kubeczko, Manuela Las-Jankowska, Anna Polakiewicz-Gilowska, Aleksandra Łacko, Michał Jarząb, Zuzana Bielčiková, Renata Pacholczak-Madej, Miroslawa Püsküllüoğlu
{"title":"Sacituzumab Govitecan初始剂量降低对波兰转移性三阴性乳腺癌患者的疗效和安全性的影响","authors":"Małgorzata Pieniążek, Marcin Kubeczko, Manuela Las-Jankowska, Anna Polakiewicz-Gilowska, Aleksandra Łacko, Michał Jarząb, Zuzana Bielčiková, Renata Pacholczak-Madej, Miroslawa Püsküllüoğlu","doi":"10.1007/s00280-025-04823-3","DOIUrl":null,"url":null,"abstract":"<p><strong>Background: </strong>Sacituzumab govitecan (SG) is approved for metastatic triple-negative breast cancer in ≥ 2 line setting at 10 mg/kg IV on Days 1 and 8 (21-day cycle). Trials confirmed its superiority over 8 mg/kg with manageable safety. In practice, precautionary dose reductions are used despite no formal guidance. In Poland, fixed 200 mg vials and unreimbursed drug waste lead to early dose adjustments.</p><p><strong>Methods: </strong>This retrospective study evaluated the impact of initial SG dose reduction on treatment outcomes and tolerability in Polish patients. Medical records provided data on baseline features, treatment, survival, and safety. Kaplan-Meier and chi-square tests were used for survival and group comparisons. A multivariate Cox model assessed the independent effect of dose reduction on overall survival (OS) and progression-free survival (PFS). Significance was set at p < 0.05.</p><p><strong>Results: </strong>Among 83 patients (median age 55, range 30-86), initial dose reductions ≥ 10% were observed in 16 patients (19.3%), including 9 (10.8%) with dose reduced ≥ 20%. Administrative adjustments (reductions > 10% to flat doses of 200 mg multiplications) accounted for 18.1% of the entire cohort. Grade ≥ 2 and ≥ 3 adverse events occurred in 83.1% and 56.6%, respectively. In a multivariate analysis, a ≥ 20% initial dose reduction remained an independent predictor of shorter PFS (HR: 2.6; 95% CI: 1.1-6.6; p = 0.04) and OS (HR: 6; 95% CI: 2-17.5; p = 0.001). Initial dose reduction did not affect toxicity.</p><p><strong>Conclusions: </strong>In this preliminary report initial dose reduction of SG negatively impacted PFS and OS without reducing toxicity, highlighting the need for further studies and dosing policy adjustments.</p>","PeriodicalId":9556,"journal":{"name":"Cancer Chemotherapy and Pharmacology","volume":"95 1","pages":"97"},"PeriodicalIF":2.3000,"publicationDate":"2025-10-04","publicationTypes":"Journal Article","fieldsOfStudy":null,"isOpenAccess":false,"openAccessPdf":"https://www.ncbi.nlm.nih.gov/pmc/articles/PMC12496269/pdf/","citationCount":"0","resultStr":"{\"title\":\"Sacituzumab Govitecan initial dose reduction in polish patients with metastatic triple-negative breast cancer: impact on efficacy and safety.\",\"authors\":\"Małgorzata Pieniążek, Marcin Kubeczko, Manuela Las-Jankowska, Anna Polakiewicz-Gilowska, Aleksandra Łacko, Michał Jarząb, Zuzana Bielčiková, Renata Pacholczak-Madej, Miroslawa Püsküllüoğlu\",\"doi\":\"10.1007/s00280-025-04823-3\",\"DOIUrl\":null,\"url\":null,\"abstract\":\"<p><strong>Background: </strong>Sacituzumab govitecan (SG) is approved for metastatic triple-negative breast cancer in ≥ 2 line setting at 10 mg/kg IV on Days 1 and 8 (21-day cycle). Trials confirmed its superiority over 8 mg/kg with manageable safety. In practice, precautionary dose reductions are used despite no formal guidance. In Poland, fixed 200 mg vials and unreimbursed drug waste lead to early dose adjustments.</p><p><strong>Methods: </strong>This retrospective study evaluated the impact of initial SG dose reduction on treatment outcomes and tolerability in Polish patients. Medical records provided data on baseline features, treatment, survival, and safety. Kaplan-Meier and chi-square tests were used for survival and group comparisons. A multivariate Cox model assessed the independent effect of dose reduction on overall survival (OS) and progression-free survival (PFS). Significance was set at p < 0.05.</p><p><strong>Results: </strong>Among 83 patients (median age 55, range 30-86), initial dose reductions ≥ 10% were observed in 16 patients (19.3%), including 9 (10.8%) with dose reduced ≥ 20%. Administrative adjustments (reductions > 10% to flat doses of 200 mg multiplications) accounted for 18.1% of the entire cohort. Grade ≥ 2 and ≥ 3 adverse events occurred in 83.1% and 56.6%, respectively. In a multivariate analysis, a ≥ 20% initial dose reduction remained an independent predictor of shorter PFS (HR: 2.6; 95% CI: 1.1-6.6; p = 0.04) and OS (HR: 6; 95% CI: 2-17.5; p = 0.001). Initial dose reduction did not affect toxicity.</p><p><strong>Conclusions: </strong>In this preliminary report initial dose reduction of SG negatively impacted PFS and OS without reducing toxicity, highlighting the need for further studies and dosing policy adjustments.</p>\",\"PeriodicalId\":9556,\"journal\":{\"name\":\"Cancer Chemotherapy and Pharmacology\",\"volume\":\"95 1\",\"pages\":\"97\"},\"PeriodicalIF\":2.3000,\"publicationDate\":\"2025-10-04\",\"publicationTypes\":\"Journal Article\",\"fieldsOfStudy\":null,\"isOpenAccess\":false,\"openAccessPdf\":\"https://www.ncbi.nlm.nih.gov/pmc/articles/PMC12496269/pdf/\",\"citationCount\":\"0\",\"resultStr\":null,\"platform\":\"Semanticscholar\",\"paperid\":null,\"PeriodicalName\":\"Cancer Chemotherapy and Pharmacology\",\"FirstCategoryId\":\"3\",\"ListUrlMain\":\"https://doi.org/10.1007/s00280-025-04823-3\",\"RegionNum\":4,\"RegionCategory\":\"医学\",\"ArticlePicture\":[],\"TitleCN\":null,\"AbstractTextCN\":null,\"PMCID\":null,\"EPubDate\":\"\",\"PubModel\":\"\",\"JCR\":\"Q3\",\"JCRName\":\"ONCOLOGY\",\"Score\":null,\"Total\":0}","platform":"Semanticscholar","paperid":null,"PeriodicalName":"Cancer Chemotherapy and Pharmacology","FirstCategoryId":"3","ListUrlMain":"https://doi.org/10.1007/s00280-025-04823-3","RegionNum":4,"RegionCategory":"医学","ArticlePicture":[],"TitleCN":null,"AbstractTextCN":null,"PMCID":null,"EPubDate":"","PubModel":"","JCR":"Q3","JCRName":"ONCOLOGY","Score":null,"Total":0}
引用次数: 0

摘要

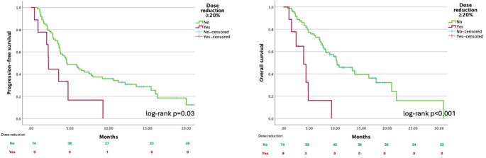
背景:Sacituzumab govitecan (SG)被批准用于≥2线转移性三阴性乳腺癌,剂量为10mg /kg,第1天和第8天(21天周期)。试验证实其优于8mg /kg,安全性可控。在实践中,尽管没有正式指导,但仍采用预防性剂量减少。在波兰,固定的200毫克药瓶和未报销的药物浪费导致早期剂量调整。方法:本回顾性研究评估了初始SG剂量减少对波兰患者治疗结果和耐受性的影响。医疗记录提供了有关基线特征、治疗、生存和安全性的数据。生存率和组间比较采用Kaplan-Meier检验和卡方检验。多变量Cox模型评估了剂量减少对总生存期(OS)和无进展生存期(PFS)的独立影响。结果:83例患者(中位年龄55岁,范围30-86岁)中,16例(19.3%)患者初始剂量减少≥10%,其中9例(10.8%)患者剂量减少≥20%。行政调整(减少10%至200毫克的固定剂量)占整个队列的18.1%。≥2级和≥3级不良事件发生率分别为83.1%和56.6%。在多变量分析中,≥20%的初始剂量减少仍然是较短PFS (HR: 2.6; 95% CI: 1.1-6.6; p = 0.04)和OS (HR: 6; 95% CI: 2-17.5; p = 0.001)的独立预测因子。初始剂量减少对毒性没有影响。结论:在本初步报告中,SG初始剂量降低对PFS和OS有负面影响,但不降低毒性,强调需要进一步研究和剂量政策调整。
本文章由计算机程序翻译,如有差异,请以英文原文为准。

Sacituzumab Govitecan initial dose reduction in polish patients with metastatic triple-negative breast cancer: impact on efficacy and safety.

Sacituzumab Govitecan initial dose reduction in polish patients with metastatic triple-negative breast cancer: impact on efficacy and safety.

Background: Sacituzumab govitecan (SG) is approved for metastatic triple-negative breast cancer in ≥ 2 line setting at 10 mg/kg IV on Days 1 and 8 (21-day cycle). Trials confirmed its superiority over 8 mg/kg with manageable safety. In practice, precautionary dose reductions are used despite no formal guidance. In Poland, fixed 200 mg vials and unreimbursed drug waste lead to early dose adjustments.

Methods: This retrospective study evaluated the impact of initial SG dose reduction on treatment outcomes and tolerability in Polish patients. Medical records provided data on baseline features, treatment, survival, and safety. Kaplan-Meier and chi-square tests were used for survival and group comparisons. A multivariate Cox model assessed the independent effect of dose reduction on overall survival (OS) and progression-free survival (PFS). Significance was set at p < 0.05.

Results: Among 83 patients (median age 55, range 30-86), initial dose reductions ≥ 10% were observed in 16 patients (19.3%), including 9 (10.8%) with dose reduced ≥ 20%. Administrative adjustments (reductions > 10% to flat doses of 200 mg multiplications) accounted for 18.1% of the entire cohort. Grade ≥ 2 and ≥ 3 adverse events occurred in 83.1% and 56.6%, respectively. In a multivariate analysis, a ≥ 20% initial dose reduction remained an independent predictor of shorter PFS (HR: 2.6; 95% CI: 1.1-6.6; p = 0.04) and OS (HR: 6; 95% CI: 2-17.5; p = 0.001). Initial dose reduction did not affect toxicity.

Conclusions: In this preliminary report initial dose reduction of SG negatively impacted PFS and OS without reducing toxicity, highlighting the need for further studies and dosing policy adjustments.

求助全文
通过发布文献求助,成功后即可免费获取论文全文。 去求助
来源期刊
CiteScore
6.10
自引率
3.30%
发文量
116
审稿时长
2.5 months
期刊介绍: Addressing a wide range of pharmacologic and oncologic concerns on both experimental and clinical levels, Cancer Chemotherapy and Pharmacology is an eminent journal in the field. The primary focus in this rapid publication medium is on new anticancer agents, their experimental screening, preclinical toxicology and pharmacology, single and combined drug administration modalities, and clinical phase I, II and III trials. It is essential reading for pharmacologists and oncologists giving results recorded in the following areas: clinical toxicology, pharmacokinetics, pharmacodynamics, drug interactions, and indications for chemotherapy in cancer treatment strategy.
×
引用
GB/T 7714-2015
复制
MLA
复制
APA
复制
导出至
BibTeX EndNote RefMan NoteFirst NoteExpress
×
提示
您的信息不完整,为了账户安全,请先补充。
现在去补充
×
提示
您因"违规操作"
具体请查看互助需知
我知道了
×
提示
确定
请完成安全验证×
copy
已复制链接
快去分享给好友吧!
我知道了
右上角分享
点击右上角分享
0
联系我们:info@booksci.cn Book学术提供免费学术资源搜索服务,方便国内外学者检索中英文文献。致力于提供最便捷和优质的服务体验。 Copyright © 2023 布克学术 All rights reserved.
京ICP备2023020795号-1
ghs 京公网安备 11010802042870号
Book学术文献互助
Book学术文献互助群
群 号:604180095
Book学术官方微信