2012 - 2023年深圳市出生缺陷预防控制项目对出生缺陷儿童死亡率的影响

IF 2.7 Q3 HEALTH CARE SCIENCES & SERVICES
Frontiers in health services Pub Date : 2025-09-17 eCollection Date: 2025-01-01 DOI:10.3389/frhs.2025.1657703
Xueyu Yang, Guanglin Zhao, Jing Zheng, Shuyan Jin
{"title":"2012 - 2023年深圳市出生缺陷预防控制项目对出生缺陷儿童死亡率的影响","authors":"Xueyu Yang, Guanglin Zhao, Jing Zheng, Shuyan Jin","doi":"10.3389/frhs.2025.1657703","DOIUrl":null,"url":null,"abstract":"<p><strong>Background: </strong>Birth defects are an important cause of fetal and neonatal mortality and represent a major global public health concern. Shenzhen has implemented several prevention and control programs in recent years. However, the effectiveness in reducing mortality among affected children has not been systematically evaluated.</p><p><strong>Objective: </strong>To assess the impact of birth defect prevention and control programs on mortality among children with birth defects in Shenzhen from 2012 to 2023, and to provide evidence for program evaluation and maternal-child health policy development.</p><p><strong>Methods: </strong>All registered cases of children with birth defects in Shenzhen between 2012 and 2023 were included. The study period was divided into three phases according to program implementation: Phase I (2012-2017), Phase II (2018-2021), and Phase III (2022-2023). Mortality outcomes included early fetal death, late fetal death, and early neonatal death. Trends were analyzed using the Cochran-Armitage test with Bonferroni-adjusted pairwise comparisons. Multivariable logistic regression adjusted for confounders and subgroup analyses were conducted by maternal household registration status (local vs. non-local).</p><p><strong>Results: </strong>From Phase I to Phase III, early fetal mortality increased (26.1% vs. 29.7% vs. 33.4%), whereas late fetal mortality (5.7% vs. 4.1% vs. 3.6%) and early neonatal mortality (1.0% vs. 0.5% vs. 0.3%) declined significantly(<i>P</i> < 0.001 for trends). Logistic regression showed lower risks of late fetal and early neonatal death in Phases II and III compared with Phase I, with greater reductions among children of non-local mothers.</p><p><strong>Conclusion: </strong>Birth defect prevention and control programs in Shenzhen were associated with reduced late fetal and early neonatal mortality, especially in non-local populations, Providing evidence to guide maternal-child health policy.</p>","PeriodicalId":73088,"journal":{"name":"Frontiers in health services","volume":"5 ","pages":"1657703"},"PeriodicalIF":2.7000,"publicationDate":"2025-09-17","publicationTypes":"Journal Article","fieldsOfStudy":null,"isOpenAccess":false,"openAccessPdf":"https://www.ncbi.nlm.nih.gov/pmc/articles/PMC12486601/pdf/","citationCount":"0","resultStr":"{\"title\":\"Impact of birth defect prevention and control programs on mortality among children with birth defects from 2012 to 2023 in Shenzhen, China.\",\"authors\":\"Xueyu Yang, Guanglin Zhao, Jing Zheng, Shuyan Jin\",\"doi\":\"10.3389/frhs.2025.1657703\",\"DOIUrl\":null,\"url\":null,\"abstract\":\"<p><strong>Background: </strong>Birth defects are an important cause of fetal and neonatal mortality and represent a major global public health concern. Shenzhen has implemented several prevention and control programs in recent years. However, the effectiveness in reducing mortality among affected children has not been systematically evaluated.</p><p><strong>Objective: </strong>To assess the impact of birth defect prevention and control programs on mortality among children with birth defects in Shenzhen from 2012 to 2023, and to provide evidence for program evaluation and maternal-child health policy development.</p><p><strong>Methods: </strong>All registered cases of children with birth defects in Shenzhen between 2012 and 2023 were included. The study period was divided into three phases according to program implementation: Phase I (2012-2017), Phase II (2018-2021), and Phase III (2022-2023). Mortality outcomes included early fetal death, late fetal death, and early neonatal death. Trends were analyzed using the Cochran-Armitage test with Bonferroni-adjusted pairwise comparisons. Multivariable logistic regression adjusted for confounders and subgroup analyses were conducted by maternal household registration status (local vs. non-local).</p><p><strong>Results: </strong>From Phase I to Phase III, early fetal mortality increased (26.1% vs. 29.7% vs. 33.4%), whereas late fetal mortality (5.7% vs. 4.1% vs. 3.6%) and early neonatal mortality (1.0% vs. 0.5% vs. 0.3%) declined significantly(<i>P</i> < 0.001 for trends). Logistic regression showed lower risks of late fetal and early neonatal death in Phases II and III compared with Phase I, with greater reductions among children of non-local mothers.</p><p><strong>Conclusion: </strong>Birth defect prevention and control programs in Shenzhen were associated with reduced late fetal and early neonatal mortality, especially in non-local populations, Providing evidence to guide maternal-child health policy.</p>\",\"PeriodicalId\":73088,\"journal\":{\"name\":\"Frontiers in health services\",\"volume\":\"5 \",\"pages\":\"1657703\"},\"PeriodicalIF\":2.7000,\"publicationDate\":\"2025-09-17\",\"publicationTypes\":\"Journal Article\",\"fieldsOfStudy\":null,\"isOpenAccess\":false,\"openAccessPdf\":\"https://www.ncbi.nlm.nih.gov/pmc/articles/PMC12486601/pdf/\",\"citationCount\":\"0\",\"resultStr\":null,\"platform\":\"Semanticscholar\",\"paperid\":null,\"PeriodicalName\":\"Frontiers in health services\",\"FirstCategoryId\":\"1085\",\"ListUrlMain\":\"https://doi.org/10.3389/frhs.2025.1657703\",\"RegionNum\":0,\"RegionCategory\":null,\"ArticlePicture\":[],\"TitleCN\":null,\"AbstractTextCN\":null,\"PMCID\":null,\"EPubDate\":\"2025/1/1 0:00:00\",\"PubModel\":\"eCollection\",\"JCR\":\"Q3\",\"JCRName\":\"HEALTH CARE SCIENCES & SERVICES\",\"Score\":null,\"Total\":0}","platform":"Semanticscholar","paperid":null,"PeriodicalName":"Frontiers in health services","FirstCategoryId":"1085","ListUrlMain":"https://doi.org/10.3389/frhs.2025.1657703","RegionNum":0,"RegionCategory":null,"ArticlePicture":[],"TitleCN":null,"AbstractTextCN":null,"PMCID":null,"EPubDate":"2025/1/1 0:00:00","PubModel":"eCollection","JCR":"Q3","JCRName":"HEALTH CARE SCIENCES & SERVICES","Score":null,"Total":0}
引用次数: 0

摘要

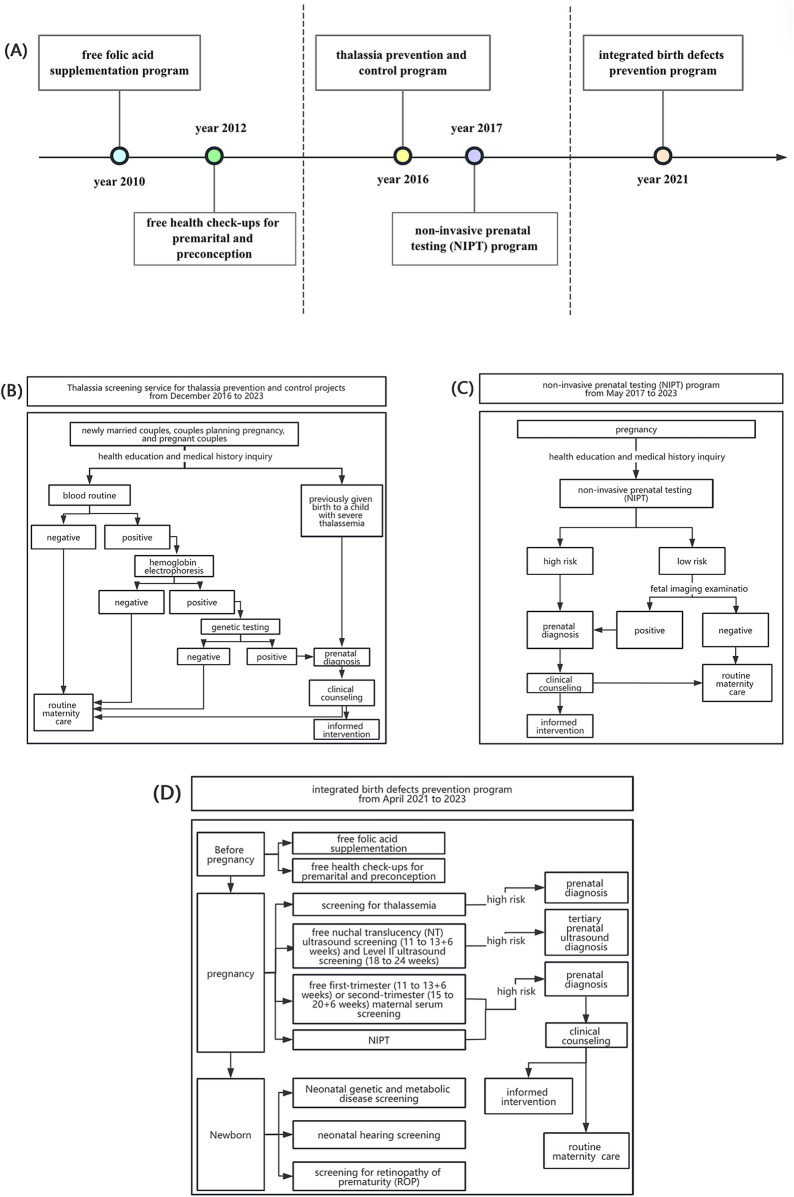
背景:出生缺陷是胎儿和新生儿死亡的重要原因,是一个主要的全球公共卫生问题。深圳近年来实施了若干预防和控制项目。然而,在降低受影响儿童死亡率方面的有效性尚未得到系统评价。目的:评价深圳市2012 - 2023年出生缺陷防治项目对出生缺陷儿童死亡率的影响,为项目评价和妇幼卫生政策制定提供依据。方法:选取深圳市2012 - 2023年登记的出生缺陷儿童。根据项目实施情况,研究期分为三个阶段:第一阶段(2012-2017)、第二阶段(2018-2021)和第三阶段(2022-2023)。死亡结局包括早期胎儿死亡、晚期胎儿死亡和早期新生儿死亡。趋势分析采用Cochran-Armitage检验和bonferroni校正两两比较。对混杂因素进行多变量logistic回归校正,并根据产妇户籍状况(本地与非本地)进行亚组分析。结果:从I期到III期,早期胎儿死亡率上升(26.1% vs 29.7% vs 33.4%),而晚期胎儿死亡率(5.7% vs 4.1% vs 3.6%)和早期新生儿死亡率(1.0% vs 0.5% vs 0.3%)显著下降(P结论:深圳市出生缺陷防控项目与晚期胎儿和早期新生儿死亡率下降有关,特别是在非本地人群中,为指导母婴保健政策提供证据。
本文章由计算机程序翻译,如有差异,请以英文原文为准。

Impact of birth defect prevention and control programs on mortality among children with birth defects from 2012 to 2023 in Shenzhen, China.

Impact of birth defect prevention and control programs on mortality among children with birth defects from 2012 to 2023 in Shenzhen, China.

Impact of birth defect prevention and control programs on mortality among children with birth defects from 2012 to 2023 in Shenzhen, China.

Impact of birth defect prevention and control programs on mortality among children with birth defects from 2012 to 2023 in Shenzhen, China.

Background: Birth defects are an important cause of fetal and neonatal mortality and represent a major global public health concern. Shenzhen has implemented several prevention and control programs in recent years. However, the effectiveness in reducing mortality among affected children has not been systematically evaluated.

Objective: To assess the impact of birth defect prevention and control programs on mortality among children with birth defects in Shenzhen from 2012 to 2023, and to provide evidence for program evaluation and maternal-child health policy development.

Methods: All registered cases of children with birth defects in Shenzhen between 2012 and 2023 were included. The study period was divided into three phases according to program implementation: Phase I (2012-2017), Phase II (2018-2021), and Phase III (2022-2023). Mortality outcomes included early fetal death, late fetal death, and early neonatal death. Trends were analyzed using the Cochran-Armitage test with Bonferroni-adjusted pairwise comparisons. Multivariable logistic regression adjusted for confounders and subgroup analyses were conducted by maternal household registration status (local vs. non-local).

Results: From Phase I to Phase III, early fetal mortality increased (26.1% vs. 29.7% vs. 33.4%), whereas late fetal mortality (5.7% vs. 4.1% vs. 3.6%) and early neonatal mortality (1.0% vs. 0.5% vs. 0.3%) declined significantly(P < 0.001 for trends). Logistic regression showed lower risks of late fetal and early neonatal death in Phases II and III compared with Phase I, with greater reductions among children of non-local mothers.

Conclusion: Birth defect prevention and control programs in Shenzhen were associated with reduced late fetal and early neonatal mortality, especially in non-local populations, Providing evidence to guide maternal-child health policy.

求助全文
通过发布文献求助,成功后即可免费获取论文全文。 去求助
来源期刊
CiteScore
1.00
自引率
0.00%
发文量
0
×
引用
GB/T 7714-2015
复制
MLA
复制
APA
复制
导出至
BibTeX EndNote RefMan NoteFirst NoteExpress
×
提示
您的信息不完整,为了账户安全,请先补充。
现在去补充
×
提示
您因"违规操作"
具体请查看互助需知
我知道了
×
提示
确定
请完成安全验证×
copy
已复制链接
快去分享给好友吧!
我知道了
右上角分享
点击右上角分享
0
联系我们:info@booksci.cn Book学术提供免费学术资源搜索服务,方便国内外学者检索中英文文献。致力于提供最便捷和优质的服务体验。 Copyright © 2023 布克学术 All rights reserved.
京ICP备2023020795号-1
ghs 京公网安备 11010802042870号
Book学术文献互助
Book学术文献互助群
群 号:604180095
Book学术官方微信