生产系统和年龄对猪粪便菌群多样性和组成的影响。

IF 4 3区 生物学 Q2 ECOLOGY
Carolyn M Scott, Devin B Holman, Katherine E Gzyl, Angela Ibe, Ahmad Esmaeili Taheri
{"title":"生产系统和年龄对猪粪便菌群多样性和组成的影响。","authors":"Carolyn M Scott, Devin B Holman, Katherine E Gzyl, Angela Ibe, Ahmad Esmaeili Taheri","doi":"10.1007/s00248-025-02614-0","DOIUrl":null,"url":null,"abstract":"<p><p>The gut microbiome is an important factor in animal health and can be influenced by factors such as age, diet, stress, environmental conditions, and farming practices. Bacterial communities of the gut microbiome in many species have been extensively studied, but research on the fungal microbiota remains limited and underrepresented in the literature. The objective of this study was to characterize the fecal mycobiota of swine raised under two different production systems: outdoor pasture-based or conventional indoor systems. Fecal samples from nursery, growing-finishing, and sow pigs from both farming systems were collected, and the mycobiota was profiled using PCR amplification and sequencing of the universal fungal internal transcribed spacer 1 (ITS1) region. A significant difference in fungal community structure was observed between the conventionally raised and pasture-raised pigs, as well as among all three production phases. Four species, Arthrographis kalrae, Enterocarpus grenotii, Pseudallescheria angusta, and Sagenomella oligospora, were differentially abundant between the two farms, all of which had higher relative abundance in the pasture-raised pigs. Additionally, pasture-raised pigs hosted a more diverse fungal community with higher species richness in their gastrointestinal tract. In summary, farming practices and pig age influenced the pig fecal mycobiota.</p>","PeriodicalId":18708,"journal":{"name":"Microbial Ecology","volume":"88 1","pages":"104"},"PeriodicalIF":4.0000,"publicationDate":"2025-10-02","publicationTypes":"Journal Article","fieldsOfStudy":null,"isOpenAccess":false,"openAccessPdf":"https://www.ncbi.nlm.nih.gov/pmc/articles/PMC12491113/pdf/","citationCount":"0","resultStr":"{\"title\":\"Production Systems and Age Influence Fecal Mycobiota Diversity and Composition in Swine.\",\"authors\":\"Carolyn M Scott, Devin B Holman, Katherine E Gzyl, Angela Ibe, Ahmad Esmaeili Taheri\",\"doi\":\"10.1007/s00248-025-02614-0\",\"DOIUrl\":null,\"url\":null,\"abstract\":\"<p><p>The gut microbiome is an important factor in animal health and can be influenced by factors such as age, diet, stress, environmental conditions, and farming practices. Bacterial communities of the gut microbiome in many species have been extensively studied, but research on the fungal microbiota remains limited and underrepresented in the literature. The objective of this study was to characterize the fecal mycobiota of swine raised under two different production systems: outdoor pasture-based or conventional indoor systems. Fecal samples from nursery, growing-finishing, and sow pigs from both farming systems were collected, and the mycobiota was profiled using PCR amplification and sequencing of the universal fungal internal transcribed spacer 1 (ITS1) region. A significant difference in fungal community structure was observed between the conventionally raised and pasture-raised pigs, as well as among all three production phases. Four species, Arthrographis kalrae, Enterocarpus grenotii, Pseudallescheria angusta, and Sagenomella oligospora, were differentially abundant between the two farms, all of which had higher relative abundance in the pasture-raised pigs. Additionally, pasture-raised pigs hosted a more diverse fungal community with higher species richness in their gastrointestinal tract. In summary, farming practices and pig age influenced the pig fecal mycobiota.</p>\",\"PeriodicalId\":18708,\"journal\":{\"name\":\"Microbial Ecology\",\"volume\":\"88 1\",\"pages\":\"104\"},\"PeriodicalIF\":4.0000,\"publicationDate\":\"2025-10-02\",\"publicationTypes\":\"Journal Article\",\"fieldsOfStudy\":null,\"isOpenAccess\":false,\"openAccessPdf\":\"https://www.ncbi.nlm.nih.gov/pmc/articles/PMC12491113/pdf/\",\"citationCount\":\"0\",\"resultStr\":null,\"platform\":\"Semanticscholar\",\"paperid\":null,\"PeriodicalName\":\"Microbial Ecology\",\"FirstCategoryId\":\"99\",\"ListUrlMain\":\"https://doi.org/10.1007/s00248-025-02614-0\",\"RegionNum\":3,\"RegionCategory\":\"生物学\",\"ArticlePicture\":[],\"TitleCN\":null,\"AbstractTextCN\":null,\"PMCID\":null,\"EPubDate\":\"\",\"PubModel\":\"\",\"JCR\":\"Q2\",\"JCRName\":\"ECOLOGY\",\"Score\":null,\"Total\":0}","platform":"Semanticscholar","paperid":null,"PeriodicalName":"Microbial Ecology","FirstCategoryId":"99","ListUrlMain":"https://doi.org/10.1007/s00248-025-02614-0","RegionNum":3,"RegionCategory":"生物学","ArticlePicture":[],"TitleCN":null,"AbstractTextCN":null,"PMCID":null,"EPubDate":"","PubModel":"","JCR":"Q2","JCRName":"ECOLOGY","Score":null,"Total":0}
引用次数: 0

摘要

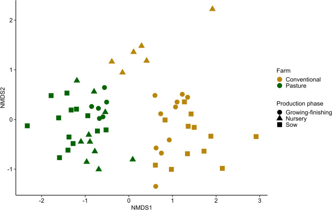
肠道微生物群是动物健康的一个重要因素,并可能受到年龄、饮食、压力、环境条件和耕作方式等因素的影响。许多物种肠道微生物群的细菌群落已经被广泛研究,但对真菌微生物群的研究仍然有限,在文献中代表性不足。本研究的目的是表征在两种不同生产系统下饲养的猪的粪便真菌群:室外牧场系统或传统室内系统。收集了两种养殖系统的苗圃猪、生长肥育猪和母猪的粪便样本,利用PCR扩增和通用真菌内部转录间隔区1 (ITS1)区域测序对真菌菌群进行了分析。在常规饲养和放牧猪之间,以及在所有三个生产阶段,真菌群落结构都存在显著差异。卡拉节菌(Arthrographis kalrai)、绿肠霉(Enterocarpus grenotii)、古斯特假杆菌(Pseudallescheria angusta)和少孢子Sagenomella oligspora) 4种菌种在两个猪场之间的丰度存在差异,在放牧猪中均具有较高的相对丰度。此外,放牧猪的胃肠道真菌群落更多样化,物种丰富度更高。综上所述,养殖方式和猪龄对猪粪便真菌菌群有影响。
本文章由计算机程序翻译,如有差异,请以英文原文为准。

Production Systems and Age Influence Fecal Mycobiota Diversity and Composition in Swine.

Production Systems and Age Influence Fecal Mycobiota Diversity and Composition in Swine.

Production Systems and Age Influence Fecal Mycobiota Diversity and Composition in Swine.

Production Systems and Age Influence Fecal Mycobiota Diversity and Composition in Swine.

The gut microbiome is an important factor in animal health and can be influenced by factors such as age, diet, stress, environmental conditions, and farming practices. Bacterial communities of the gut microbiome in many species have been extensively studied, but research on the fungal microbiota remains limited and underrepresented in the literature. The objective of this study was to characterize the fecal mycobiota of swine raised under two different production systems: outdoor pasture-based or conventional indoor systems. Fecal samples from nursery, growing-finishing, and sow pigs from both farming systems were collected, and the mycobiota was profiled using PCR amplification and sequencing of the universal fungal internal transcribed spacer 1 (ITS1) region. A significant difference in fungal community structure was observed between the conventionally raised and pasture-raised pigs, as well as among all three production phases. Four species, Arthrographis kalrae, Enterocarpus grenotii, Pseudallescheria angusta, and Sagenomella oligospora, were differentially abundant between the two farms, all of which had higher relative abundance in the pasture-raised pigs. Additionally, pasture-raised pigs hosted a more diverse fungal community with higher species richness in their gastrointestinal tract. In summary, farming practices and pig age influenced the pig fecal mycobiota.

求助全文
通过发布文献求助,成功后即可免费获取论文全文。 去求助
来源期刊
Microbial Ecology
Microbial Ecology 生物-海洋与淡水生物学
CiteScore
6.90
自引率
2.80%
发文量
212
审稿时长
3-8 weeks
期刊介绍: The journal Microbial Ecology was founded more than 50 years ago by Dr. Ralph Mitchell, Gordon McKay Professor of Applied Biology at Harvard University in Cambridge, MA. The journal has evolved to become a premier location for the presentation of manuscripts that represent advances in the field of microbial ecology. The journal has become a dedicated international forum for the presentation of high-quality scientific investigations of how microorganisms interact with their environment, with each other and with their hosts. Microbial Ecology offers articles of original research in full paper and note formats, as well as brief reviews and topical position papers.
×
引用
GB/T 7714-2015
复制
MLA
复制
APA
复制
导出至
BibTeX EndNote RefMan NoteFirst NoteExpress
×
提示
您的信息不完整,为了账户安全,请先补充。
现在去补充
×
提示
您因"违规操作"
具体请查看互助需知
我知道了
×
提示
确定
请完成安全验证×
copy
已复制链接
快去分享给好友吧!
我知道了
右上角分享
点击右上角分享
0
联系我们:info@booksci.cn Book学术提供免费学术资源搜索服务,方便国内外学者检索中英文文献。致力于提供最便捷和优质的服务体验。 Copyright © 2023 布克学术 All rights reserved.
京ICP备2023020795号-1
ghs 京公网安备 11010802042870号
Book学术文献互助
Book学术文献互助群
群 号:604180095
Book学术官方微信