在神经原纤维缠结为主的死者中,微梗死与认知障碍有关:来自NACC尸检队列的证据。

IF 7.6 1区 医学 Q1 CLINICAL NEUROLOGY
Nicko Martinez, Krishna L Bharani, Saadia Hasan, Cellas A Hayes
{"title":"在神经原纤维缠结为主的死者中,微梗死与认知障碍有关:来自NACC尸检队列的证据。","authors":"Nicko Martinez, Krishna L Bharani, Saadia Hasan, Cellas A Hayes","doi":"10.1186/s13195-025-01863-y","DOIUrl":null,"url":null,"abstract":"<p><strong>Background: </strong>A subset of older adults develops high neurofibrillary tangle burden with minimal amyloid, a biomarker profile consistent with suspected non-Alzheimer's pathophysiology or primary age-related tauopathy. Yet its cognitive correlates are unclear, particularly when vascular neuropathologies coexist. We examined whether vascular neuropathologies are linked to cognitive impairment proximate to death and pre-mortem cognitive decline among decedents with intermediate-to-high Braak stage (III-VI) and absent/low neuritic plaques.</p><p><strong>Methods: </strong>In 579 autopsied participants from the National Alzheimer's Coordinating Center cohort (Braak III-VI; CERAD C0-C1), we evaluated arteriolosclerosis, atherosclerosis of the circle of Willis, cerebral amyloid angiopathy, gross infarcts/lacunes, and microinfarcts effect on harmonized memory, executive function, and language z-scores proximate to death using multivariable linear regression (adjusted for age, sex, education, APOE ε4 status). Linear mixed-effects models assessed interactions between each vascular neuropathology and years-to-death on pre-mortem longitudinal decline.</p><p><strong>Results: </strong>At the last assessment, microinfarcts were associated with lower memory (β=-0.28, 95% CI - 0.51 - - 0.05; p = 0.02), executive function (β=-0.24, 95% CI - 0.44 - - 0.04; p = 0.02), and language (β=-0.21, 95% CI - 0.38 - - 0.04; p = 0.02). These associations remained after controlling for cardiovascular risk, neuritic plaques and Braak stage, last assessment and death interval, and co-existing vascular neuropathologies. Microinfarcts were not associated with the rates of pre-mortem cognitive decline.</p><p><strong>Conclusions: </strong>Microinfarcts are contributors to domain-specific cognitive deficits in tangle-predominant, low-amyloid older adults. These findings underscore a vascular-neurodegenerative pathway distinct from classic Alzheimer's disease. Thus, targeting microvascular injury may mitigate impairment in this underrecognized phenotype.</p>","PeriodicalId":7516,"journal":{"name":"Alzheimer's Research & Therapy","volume":"17 1","pages":"216"},"PeriodicalIF":7.6000,"publicationDate":"2025-10-01","publicationTypes":"Journal Article","fieldsOfStudy":null,"isOpenAccess":false,"openAccessPdf":"https://www.ncbi.nlm.nih.gov/pmc/articles/PMC12486553/pdf/","citationCount":"0","resultStr":"{\"title\":\"Micro infarcts are associated with cognitive impairment in neurofibrillary tangle predominant decedents: evidence from the NACC autopsy cohort.\",\"authors\":\"Nicko Martinez, Krishna L Bharani, Saadia Hasan, Cellas A Hayes\",\"doi\":\"10.1186/s13195-025-01863-y\",\"DOIUrl\":null,\"url\":null,\"abstract\":\"<p><strong>Background: </strong>A subset of older adults develops high neurofibrillary tangle burden with minimal amyloid, a biomarker profile consistent with suspected non-Alzheimer's pathophysiology or primary age-related tauopathy. Yet its cognitive correlates are unclear, particularly when vascular neuropathologies coexist. We examined whether vascular neuropathologies are linked to cognitive impairment proximate to death and pre-mortem cognitive decline among decedents with intermediate-to-high Braak stage (III-VI) and absent/low neuritic plaques.</p><p><strong>Methods: </strong>In 579 autopsied participants from the National Alzheimer's Coordinating Center cohort (Braak III-VI; CERAD C0-C1), we evaluated arteriolosclerosis, atherosclerosis of the circle of Willis, cerebral amyloid angiopathy, gross infarcts/lacunes, and microinfarcts effect on harmonized memory, executive function, and language z-scores proximate to death using multivariable linear regression (adjusted for age, sex, education, APOE ε4 status). Linear mixed-effects models assessed interactions between each vascular neuropathology and years-to-death on pre-mortem longitudinal decline.</p><p><strong>Results: </strong>At the last assessment, microinfarcts were associated with lower memory (β=-0.28, 95% CI - 0.51 - - 0.05; p = 0.02), executive function (β=-0.24, 95% CI - 0.44 - - 0.04; p = 0.02), and language (β=-0.21, 95% CI - 0.38 - - 0.04; p = 0.02). These associations remained after controlling for cardiovascular risk, neuritic plaques and Braak stage, last assessment and death interval, and co-existing vascular neuropathologies. Microinfarcts were not associated with the rates of pre-mortem cognitive decline.</p><p><strong>Conclusions: </strong>Microinfarcts are contributors to domain-specific cognitive deficits in tangle-predominant, low-amyloid older adults. These findings underscore a vascular-neurodegenerative pathway distinct from classic Alzheimer's disease. Thus, targeting microvascular injury may mitigate impairment in this underrecognized phenotype.</p>\",\"PeriodicalId\":7516,\"journal\":{\"name\":\"Alzheimer's Research & Therapy\",\"volume\":\"17 1\",\"pages\":\"216\"},\"PeriodicalIF\":7.6000,\"publicationDate\":\"2025-10-01\",\"publicationTypes\":\"Journal Article\",\"fieldsOfStudy\":null,\"isOpenAccess\":false,\"openAccessPdf\":\"https://www.ncbi.nlm.nih.gov/pmc/articles/PMC12486553/pdf/\",\"citationCount\":\"0\",\"resultStr\":null,\"platform\":\"Semanticscholar\",\"paperid\":null,\"PeriodicalName\":\"Alzheimer's Research & Therapy\",\"FirstCategoryId\":\"3\",\"ListUrlMain\":\"https://doi.org/10.1186/s13195-025-01863-y\",\"RegionNum\":1,\"RegionCategory\":\"医学\",\"ArticlePicture\":[],\"TitleCN\":null,\"AbstractTextCN\":null,\"PMCID\":null,\"EPubDate\":\"\",\"PubModel\":\"\",\"JCR\":\"Q1\",\"JCRName\":\"CLINICAL NEUROLOGY\",\"Score\":null,\"Total\":0}","platform":"Semanticscholar","paperid":null,"PeriodicalName":"Alzheimer's Research & Therapy","FirstCategoryId":"3","ListUrlMain":"https://doi.org/10.1186/s13195-025-01863-y","RegionNum":1,"RegionCategory":"医学","ArticlePicture":[],"TitleCN":null,"AbstractTextCN":null,"PMCID":null,"EPubDate":"","PubModel":"","JCR":"Q1","JCRName":"CLINICAL NEUROLOGY","Score":null,"Total":0}
引用次数: 0

摘要

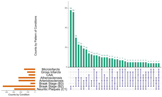
背景:一部分老年人出现高神经原纤维缠结负担,淀粉样蛋白极少,这一生物标志物特征与疑似非阿尔茨海默病病理生理或原发性年龄相关的牛头病一致。然而,其认知相关性尚不清楚,特别是当血管神经病变共存时。我们研究了血管神经病变是否与中高Braak期(III-VI期)和缺失/低神经斑块的死者死前认知障碍和死前认知能力下降有关。方法:在来自国家阿尔茨海默病协调中心队列(Braak III-VI; CERAD C0-C1)的579名尸检参与者中,我们使用多变量线性回归(调整年龄、性别、教育程度、APOE ε4状态)评估小动脉硬化、威氏圈动脉粥样硬化、脑淀粉样血管病、严重梗死/腔隙和微梗死对协调记忆、执行功能和接近死亡的语言z分数的影响。线性混合效应模型评估了每种血管神经病理与死亡前纵向衰退之间的相互作用。结果:在最后一次评估时,微梗死与较低的记忆力(β=-0.28, 95% CI - 0.51 - 0.05; p = 0.02)、执行功能(β=-0.24, 95% CI - 0.44 - 0.04; p = 0.02)和语言(β=-0.21, 95% CI - 0.38 - 0.04; p = 0.02)相关。在控制心血管风险、神经斑块和Braak分期、最后评估和死亡间隔以及共存的血管神经病变后,这些关联仍然存在。微梗死与死前认知能力下降率无关。结论:微梗死是结缠为主的低淀粉样蛋白老年人脑区特异性认知缺陷的原因。这些发现强调了不同于经典阿尔茨海默病的血管-神经退行性途径。因此,靶向微血管损伤可能减轻这种未被认识的表型的损害。
本文章由计算机程序翻译,如有差异,请以英文原文为准。

Micro infarcts are associated with cognitive impairment in neurofibrillary tangle predominant decedents: evidence from the NACC autopsy cohort.

Micro infarcts are associated with cognitive impairment in neurofibrillary tangle predominant decedents: evidence from the NACC autopsy cohort.

Micro infarcts are associated with cognitive impairment in neurofibrillary tangle predominant decedents: evidence from the NACC autopsy cohort.

Micro infarcts are associated with cognitive impairment in neurofibrillary tangle predominant decedents: evidence from the NACC autopsy cohort.

Background: A subset of older adults develops high neurofibrillary tangle burden with minimal amyloid, a biomarker profile consistent with suspected non-Alzheimer's pathophysiology or primary age-related tauopathy. Yet its cognitive correlates are unclear, particularly when vascular neuropathologies coexist. We examined whether vascular neuropathologies are linked to cognitive impairment proximate to death and pre-mortem cognitive decline among decedents with intermediate-to-high Braak stage (III-VI) and absent/low neuritic plaques.

Methods: In 579 autopsied participants from the National Alzheimer's Coordinating Center cohort (Braak III-VI; CERAD C0-C1), we evaluated arteriolosclerosis, atherosclerosis of the circle of Willis, cerebral amyloid angiopathy, gross infarcts/lacunes, and microinfarcts effect on harmonized memory, executive function, and language z-scores proximate to death using multivariable linear regression (adjusted for age, sex, education, APOE ε4 status). Linear mixed-effects models assessed interactions between each vascular neuropathology and years-to-death on pre-mortem longitudinal decline.

Results: At the last assessment, microinfarcts were associated with lower memory (β=-0.28, 95% CI - 0.51 - - 0.05; p = 0.02), executive function (β=-0.24, 95% CI - 0.44 - - 0.04; p = 0.02), and language (β=-0.21, 95% CI - 0.38 - - 0.04; p = 0.02). These associations remained after controlling for cardiovascular risk, neuritic plaques and Braak stage, last assessment and death interval, and co-existing vascular neuropathologies. Microinfarcts were not associated with the rates of pre-mortem cognitive decline.

Conclusions: Microinfarcts are contributors to domain-specific cognitive deficits in tangle-predominant, low-amyloid older adults. These findings underscore a vascular-neurodegenerative pathway distinct from classic Alzheimer's disease. Thus, targeting microvascular injury may mitigate impairment in this underrecognized phenotype.

求助全文
通过发布文献求助,成功后即可免费获取论文全文。 去求助
来源期刊
Alzheimer's Research & Therapy
Alzheimer's Research & Therapy 医学-神经病学
CiteScore
13.10
自引率
3.30%
发文量
172
审稿时长
>12 weeks
期刊介绍: Alzheimer's Research & Therapy is an international peer-reviewed journal that focuses on translational research into Alzheimer's disease and other neurodegenerative diseases. It publishes open-access basic research, clinical trials, drug discovery and development studies, and epidemiologic studies. The journal also includes reviews, viewpoints, commentaries, debates, and reports. All articles published in Alzheimer's Research & Therapy are included in several reputable databases such as CAS, Current contents, DOAJ, Embase, Journal Citation Reports/Science Edition, MEDLINE, PubMed, PubMed Central, Science Citation Index Expanded (Web of Science) and Scopus.
×
引用
GB/T 7714-2015
复制
MLA
复制
APA
复制
导出至
BibTeX EndNote RefMan NoteFirst NoteExpress
×
提示
您的信息不完整,为了账户安全,请先补充。
现在去补充
×
提示
您因"违规操作"
具体请查看互助需知
我知道了
×
提示
确定
请完成安全验证×
copy
已复制链接
快去分享给好友吧!
我知道了
右上角分享
点击右上角分享
0
联系我们:info@booksci.cn Book学术提供免费学术资源搜索服务,方便国内外学者检索中英文文献。致力于提供最便捷和优质的服务体验。 Copyright © 2023 布克学术 All rights reserved.
京ICP备2023020795号-1
ghs 京公网安备 11010802042870号
Book学术文献互助
Book学术文献互助群
群 号:604180095
Book学术官方微信