性别特异性基因对特发性肺纤维化易感性的影响。

IF 4 3区 医学 Q1 RESPIRATORY SYSTEM
ERJ Open Research Pub Date : 2025-09-29 eCollection Date: 2025-09-01 DOI:10.1183/23120541.00200-2025
Olivia C Leavy, Anne F Goemans, Tamara Hernandez-Beeftink, Amy D Stockwell, Richard J Allen, Beatriz Guillen-Guio, Ayodeji Adegunsoye, Helen L Booth, William A Fahy, Tasha E Fingerlin, Harvinder S Virk, Ian P Hall, Simon P Hart, Mike R Hill, Nik Hirani, Naftali Kaminski, Shwu-Fan Ma, Robin J McAnulty, X Rebecca Sheng, Ann B Millar, Maria Molina-Molina, Vidya Navaratnam, Margaret Neighbors, Helen Parfrey, Gauri Saini, Ian Sayers, Mary E Strek, Martin D Tobin, Moira K B Whyte, Yingze Zhang, Toby M Maher, Philip L Molyneaux, Justin M Oldham, Brian L Yaspan, Carlos Flores, Fernando Martinez, Carl J Reynolds, David A Schwartz, Imre Noth, R Gisli Jenkins, Louise V Wain
{"title":"性别特异性基因对特发性肺纤维化易感性的影响。","authors":"Olivia C Leavy, Anne F Goemans, Tamara Hernandez-Beeftink, Amy D Stockwell, Richard J Allen, Beatriz Guillen-Guio, Ayodeji Adegunsoye, Helen L Booth, William A Fahy, Tasha E Fingerlin, Harvinder S Virk, Ian P Hall, Simon P Hart, Mike R Hill, Nik Hirani, Naftali Kaminski, Shwu-Fan Ma, Robin J McAnulty, X Rebecca Sheng, Ann B Millar, Maria Molina-Molina, Vidya Navaratnam, Margaret Neighbors, Helen Parfrey, Gauri Saini, Ian Sayers, Mary E Strek, Martin D Tobin, Moira K B Whyte, Yingze Zhang, Toby M Maher, Philip L Molyneaux, Justin M Oldham, Brian L Yaspan, Carlos Flores, Fernando Martinez, Carl J Reynolds, David A Schwartz, Imre Noth, R Gisli Jenkins, Louise V Wain","doi":"10.1183/23120541.00200-2025","DOIUrl":null,"url":null,"abstract":"<p><strong>Background: </strong>Idiopathic pulmonary fibrosis (IPF) is a chronic lung condition that is more prevalent in males than females. The reasons for this are not fully understood; differing environmental exposures due to historically sex-biased occupations and diagnostic bias are possible explanations. To date, over 20 independent genetic association signals have been reported for IPF susceptibility, but these have been discovered when combining males and females. The objectives of the present study were to assess whether there is a need to consider sex-specific effects when evaluating genetic risk in clinical prediction models for IPF and to test for sex-specific associations with IPF susceptibility.</p><p><strong>Methods: </strong>We performed a genome-wide single nucleotide polymorphism (SNP)-by-sex interaction study meta-analysis of IPF risk in six independent case-control studies comprising 4561 cases (1280 females, 3281 males) and 22 888 controls (8360 females, 14 528 males) of European genetic ancestry. We used polygenic risk scores (PRSs) comprising common (minor allele frequency >1%) autosomal variants to assess differences in genetic risk prediction between males and females.</p><p><strong>Results: </strong>The predictive accuracy of the PRSs were similar between males and females, regardless of whether using combined or sex-specific association results. Three new independent genetic association signals were identified (p<1×10<sup>-6</sup>).</p><p><strong>Conclusions: </strong>The predictive accuracy of common autosomal SNP-based PRSs did not vary significantly between males and females. We prioritised three genetic variants whose effect on IPF risk may be modified by sex. These findings would not account for the differences in prevalence between males and females. Future studies should ensure adequate representation of both sexes.</p>","PeriodicalId":11739,"journal":{"name":"ERJ Open Research","volume":"11 5","pages":""},"PeriodicalIF":4.0000,"publicationDate":"2025-09-29","publicationTypes":"Journal Article","fieldsOfStudy":null,"isOpenAccess":false,"openAccessPdf":"https://www.ncbi.nlm.nih.gov/pmc/articles/PMC12477485/pdf/","citationCount":"0","resultStr":"{\"title\":\"Sex-specific genetic effects on susceptibility to idiopathic pulmonary fibrosis.\",\"authors\":\"Olivia C Leavy, Anne F Goemans, Tamara Hernandez-Beeftink, Amy D Stockwell, Richard J Allen, Beatriz Guillen-Guio, Ayodeji Adegunsoye, Helen L Booth, William A Fahy, Tasha E Fingerlin, Harvinder S Virk, Ian P Hall, Simon P Hart, Mike R Hill, Nik Hirani, Naftali Kaminski, Shwu-Fan Ma, Robin J McAnulty, X Rebecca Sheng, Ann B Millar, Maria Molina-Molina, Vidya Navaratnam, Margaret Neighbors, Helen Parfrey, Gauri Saini, Ian Sayers, Mary E Strek, Martin D Tobin, Moira K B Whyte, Yingze Zhang, Toby M Maher, Philip L Molyneaux, Justin M Oldham, Brian L Yaspan, Carlos Flores, Fernando Martinez, Carl J Reynolds, David A Schwartz, Imre Noth, R Gisli Jenkins, Louise V Wain\",\"doi\":\"10.1183/23120541.00200-2025\",\"DOIUrl\":null,\"url\":null,\"abstract\":\"<p><strong>Background: </strong>Idiopathic pulmonary fibrosis (IPF) is a chronic lung condition that is more prevalent in males than females. The reasons for this are not fully understood; differing environmental exposures due to historically sex-biased occupations and diagnostic bias are possible explanations. To date, over 20 independent genetic association signals have been reported for IPF susceptibility, but these have been discovered when combining males and females. The objectives of the present study were to assess whether there is a need to consider sex-specific effects when evaluating genetic risk in clinical prediction models for IPF and to test for sex-specific associations with IPF susceptibility.</p><p><strong>Methods: </strong>We performed a genome-wide single nucleotide polymorphism (SNP)-by-sex interaction study meta-analysis of IPF risk in six independent case-control studies comprising 4561 cases (1280 females, 3281 males) and 22 888 controls (8360 females, 14 528 males) of European genetic ancestry. We used polygenic risk scores (PRSs) comprising common (minor allele frequency >1%) autosomal variants to assess differences in genetic risk prediction between males and females.</p><p><strong>Results: </strong>The predictive accuracy of the PRSs were similar between males and females, regardless of whether using combined or sex-specific association results. Three new independent genetic association signals were identified (p<1×10<sup>-6</sup>).</p><p><strong>Conclusions: </strong>The predictive accuracy of common autosomal SNP-based PRSs did not vary significantly between males and females. We prioritised three genetic variants whose effect on IPF risk may be modified by sex. These findings would not account for the differences in prevalence between males and females. Future studies should ensure adequate representation of both sexes.</p>\",\"PeriodicalId\":11739,\"journal\":{\"name\":\"ERJ Open Research\",\"volume\":\"11 5\",\"pages\":\"\"},\"PeriodicalIF\":4.0000,\"publicationDate\":\"2025-09-29\",\"publicationTypes\":\"Journal Article\",\"fieldsOfStudy\":null,\"isOpenAccess\":false,\"openAccessPdf\":\"https://www.ncbi.nlm.nih.gov/pmc/articles/PMC12477485/pdf/\",\"citationCount\":\"0\",\"resultStr\":null,\"platform\":\"Semanticscholar\",\"paperid\":null,\"PeriodicalName\":\"ERJ Open Research\",\"FirstCategoryId\":\"3\",\"ListUrlMain\":\"https://doi.org/10.1183/23120541.00200-2025\",\"RegionNum\":3,\"RegionCategory\":\"医学\",\"ArticlePicture\":[],\"TitleCN\":null,\"AbstractTextCN\":null,\"PMCID\":null,\"EPubDate\":\"2025/9/1 0:00:00\",\"PubModel\":\"eCollection\",\"JCR\":\"Q1\",\"JCRName\":\"RESPIRATORY SYSTEM\",\"Score\":null,\"Total\":0}","platform":"Semanticscholar","paperid":null,"PeriodicalName":"ERJ Open Research","FirstCategoryId":"3","ListUrlMain":"https://doi.org/10.1183/23120541.00200-2025","RegionNum":3,"RegionCategory":"医学","ArticlePicture":[],"TitleCN":null,"AbstractTextCN":null,"PMCID":null,"EPubDate":"2025/9/1 0:00:00","PubModel":"eCollection","JCR":"Q1","JCRName":"RESPIRATORY SYSTEM","Score":null,"Total":0}
引用次数: 0

摘要

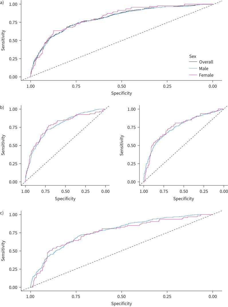
背景:特发性肺纤维化(IPF)是一种慢性肺部疾病,男性比女性更普遍。造成这种情况的原因尚不完全清楚;不同的环境暴露由于历史上的性别偏见职业和诊断偏见是可能的解释。迄今为止,已经报道了20多个独立的IPF易感性遗传关联信号,但这些信号是在雄性和雌性结合时发现的。本研究的目的是评估在IPF临床预测模型中评估遗传风险时是否需要考虑性别特异性影响,并测试性别特异性与IPF易感性的关联。方法:我们对6项独立病例对照研究进行了IPF风险的全基因组单核苷酸多态性(SNP)-性别相互作用研究荟萃分析,这些研究包括4561例欧洲遗传血统的病例(1280例女性,3281例男性)和22 888例对照(8360例女性,14 528例男性)。我们使用多基因风险评分(PRSs)来评估男性和女性之间遗传风险预测的差异,该评分包括常见(小等位基因频率bb0.1 %)常染色体变异。结果:无论使用联合关联结果还是性别特异性关联结果,PRSs在男性和女性之间的预测准确性相似。鉴定出三个新的独立的遗传关联信号(p-6)。结论:基于常见常染色体snp的prs的预测准确性在男性和女性之间没有显著差异。我们优先考虑了三种基因变异,它们对IPF风险的影响可能会因性别而改变。这些发现并不能解释男性和女性之间患病率的差异。今后的研究应确保男女都有充分的代表性。
本文章由计算机程序翻译,如有差异,请以英文原文为准。

Sex-specific genetic effects on susceptibility to idiopathic pulmonary fibrosis.

Sex-specific genetic effects on susceptibility to idiopathic pulmonary fibrosis.

Sex-specific genetic effects on susceptibility to idiopathic pulmonary fibrosis.

Sex-specific genetic effects on susceptibility to idiopathic pulmonary fibrosis.

Background: Idiopathic pulmonary fibrosis (IPF) is a chronic lung condition that is more prevalent in males than females. The reasons for this are not fully understood; differing environmental exposures due to historically sex-biased occupations and diagnostic bias are possible explanations. To date, over 20 independent genetic association signals have been reported for IPF susceptibility, but these have been discovered when combining males and females. The objectives of the present study were to assess whether there is a need to consider sex-specific effects when evaluating genetic risk in clinical prediction models for IPF and to test for sex-specific associations with IPF susceptibility.

Methods: We performed a genome-wide single nucleotide polymorphism (SNP)-by-sex interaction study meta-analysis of IPF risk in six independent case-control studies comprising 4561 cases (1280 females, 3281 males) and 22 888 controls (8360 females, 14 528 males) of European genetic ancestry. We used polygenic risk scores (PRSs) comprising common (minor allele frequency >1%) autosomal variants to assess differences in genetic risk prediction between males and females.

Results: The predictive accuracy of the PRSs were similar between males and females, regardless of whether using combined or sex-specific association results. Three new independent genetic association signals were identified (p<1×10-6).

Conclusions: The predictive accuracy of common autosomal SNP-based PRSs did not vary significantly between males and females. We prioritised three genetic variants whose effect on IPF risk may be modified by sex. These findings would not account for the differences in prevalence between males and females. Future studies should ensure adequate representation of both sexes.

求助全文
通过发布文献求助,成功后即可免费获取论文全文。 去求助
来源期刊
ERJ Open Research
ERJ Open Research Medicine-Pulmonary and Respiratory Medicine
CiteScore
6.20
自引率
4.30%
发文量
273
审稿时长
8 weeks
期刊介绍: ERJ Open Research is a fully open access original research journal, published online by the European Respiratory Society. The journal aims to publish high-quality work in all fields of respiratory science and medicine, covering basic science, clinical translational science and clinical medicine. The journal was created to help fulfil the ERS objective to disseminate scientific and educational material to its members and to the medical community, but also to provide researchers with an affordable open access specialty journal in which to publish their work.
×
引用
GB/T 7714-2015
复制
MLA
复制
APA
复制
导出至
BibTeX EndNote RefMan NoteFirst NoteExpress
×
提示
您的信息不完整,为了账户安全,请先补充。
现在去补充
×
提示
您因"违规操作"
具体请查看互助需知
我知道了
×
提示
确定
请完成安全验证×
copy
已复制链接
快去分享给好友吧!
我知道了
右上角分享
点击右上角分享
0
联系我们:info@booksci.cn Book学术提供免费学术资源搜索服务,方便国内外学者检索中英文文献。致力于提供最便捷和优质的服务体验。 Copyright © 2023 布克学术 All rights reserved.
京ICP备2023020795号-1
ghs 京公网安备 11010802042870号
Book学术文献互助
Book学术文献互助群
群 号:604180095
Book学术官方微信