基于临床效用的诊断生物标志物切割点选择方法的开发和评估:基于临床诊断数据应用的测试结果的总体水平参数分布的分析。

IF 3.4 3区 医学 Q1 HEALTH CARE SCIENCES & SERVICES
Mojtaba Hassanzad, Karimollah Hajian-Tilaki, Zinatossadat Bouzari
{"title":"基于临床效用的诊断生物标志物切割点选择方法的开发和评估:基于临床诊断数据应用的测试结果的总体水平参数分布的分析。","authors":"Mojtaba Hassanzad, Karimollah Hajian-Tilaki, Zinatossadat Bouzari","doi":"10.1186/s12874-025-02656-5","DOIUrl":null,"url":null,"abstract":"<p><strong>Introduction: </strong>The cut-point selection of biomarkers based on clinical benefit of test results rather than accuracy-based is of interest for decision makers. We adapted the four methods of cut-point selection based on clinical utility of test results including Youden, Product, Union and the absolute difference of total utility with 2 times of AUC.</p><p><strong>Methods: </strong>The population-based parametric pairs of distributions of test results comprising homoscedastic binormal model, non-homoscedastic binormal, bigamma and biexponential included in the study. For each pair of distributions for diseased and non-diseased the utility-based metrics of cut-point were calculated under different degrees of AUC and prevalence. The prevalence was varied from 0.01 to 0.05, 0.10, 0.30, and 0.50.</p><p><strong>Results: </strong>For a low prevalence as low as 0.01, the two methods of Product, and Union that maximize and minimize the related metrics respectively yield rather similar a true value of cut-point but the Youden-based utility metrics suggest rather similarly the true value of for an optimal cut-point. In opposition, the Youden-based utility metric and the absolute difference of total utility with 2 times of AUC produce extremely high value for optimal cut-point because of their s-shaped metrics over various cut-off values. As prevalence increases to 10% or more, the metric of Youden -based utility becomes concave and its cut-point becomes closer to other methods. The four proposed methods yield roughly identical cut-point at prevalence of 10% or more for high accuracy of 0.90. The greater discrepancy of optimal cut-point was shown in skew distributions of bigamma and biexponential with low prevalence and low AUC. For prevalence < 10%, the utility-based produces larger cut-point than accuracy-based methods in our clinical data for CRP. The methods of utility-based cut-point selection were explained by CRP in predicting preeclampsia, and other clinical data.</p><p><strong>Conclusion: </strong>The inconsistency of optimal cut-points is possible by different methods of utility-based criteria depending on the prevalence and degree of AUC. For high AUC, and prevalence > 10%, the four proposed methods yield rather identical optimal cut-points. Further studies of simulation are needed to evaluate the bias and sampling variability of utility-based of cut-point selection.</p>","PeriodicalId":9114,"journal":{"name":"BMC Medical Research Methodology","volume":"25 1","pages":"223"},"PeriodicalIF":3.4000,"publicationDate":"2025-09-30","publicationTypes":"Journal Article","fieldsOfStudy":null,"isOpenAccess":false,"openAccessPdf":"https://www.ncbi.nlm.nih.gov/pmc/articles/PMC12482875/pdf/","citationCount":"0","resultStr":"{\"title\":\"Development and evaluation of methods of clinical utility-based cut-point selection of diagnostic biomarkers: an analysis based on population-level parametric distributions of test results with application of clinical diagnostic data.\",\"authors\":\"Mojtaba Hassanzad, Karimollah Hajian-Tilaki, Zinatossadat Bouzari\",\"doi\":\"10.1186/s12874-025-02656-5\",\"DOIUrl\":null,\"url\":null,\"abstract\":\"<p><strong>Introduction: </strong>The cut-point selection of biomarkers based on clinical benefit of test results rather than accuracy-based is of interest for decision makers. We adapted the four methods of cut-point selection based on clinical utility of test results including Youden, Product, Union and the absolute difference of total utility with 2 times of AUC.</p><p><strong>Methods: </strong>The population-based parametric pairs of distributions of test results comprising homoscedastic binormal model, non-homoscedastic binormal, bigamma and biexponential included in the study. For each pair of distributions for diseased and non-diseased the utility-based metrics of cut-point were calculated under different degrees of AUC and prevalence. The prevalence was varied from 0.01 to 0.05, 0.10, 0.30, and 0.50.</p><p><strong>Results: </strong>For a low prevalence as low as 0.01, the two methods of Product, and Union that maximize and minimize the related metrics respectively yield rather similar a true value of cut-point but the Youden-based utility metrics suggest rather similarly the true value of for an optimal cut-point. In opposition, the Youden-based utility metric and the absolute difference of total utility with 2 times of AUC produce extremely high value for optimal cut-point because of their s-shaped metrics over various cut-off values. As prevalence increases to 10% or more, the metric of Youden -based utility becomes concave and its cut-point becomes closer to other methods. The four proposed methods yield roughly identical cut-point at prevalence of 10% or more for high accuracy of 0.90. The greater discrepancy of optimal cut-point was shown in skew distributions of bigamma and biexponential with low prevalence and low AUC. For prevalence < 10%, the utility-based produces larger cut-point than accuracy-based methods in our clinical data for CRP. The methods of utility-based cut-point selection were explained by CRP in predicting preeclampsia, and other clinical data.</p><p><strong>Conclusion: </strong>The inconsistency of optimal cut-points is possible by different methods of utility-based criteria depending on the prevalence and degree of AUC. For high AUC, and prevalence > 10%, the four proposed methods yield rather identical optimal cut-points. Further studies of simulation are needed to evaluate the bias and sampling variability of utility-based of cut-point selection.</p>\",\"PeriodicalId\":9114,\"journal\":{\"name\":\"BMC Medical Research Methodology\",\"volume\":\"25 1\",\"pages\":\"223\"},\"PeriodicalIF\":3.4000,\"publicationDate\":\"2025-09-30\",\"publicationTypes\":\"Journal Article\",\"fieldsOfStudy\":null,\"isOpenAccess\":false,\"openAccessPdf\":\"https://www.ncbi.nlm.nih.gov/pmc/articles/PMC12482875/pdf/\",\"citationCount\":\"0\",\"resultStr\":null,\"platform\":\"Semanticscholar\",\"paperid\":null,\"PeriodicalName\":\"BMC Medical Research Methodology\",\"FirstCategoryId\":\"3\",\"ListUrlMain\":\"https://doi.org/10.1186/s12874-025-02656-5\",\"RegionNum\":3,\"RegionCategory\":\"医学\",\"ArticlePicture\":[],\"TitleCN\":null,\"AbstractTextCN\":null,\"PMCID\":null,\"EPubDate\":\"\",\"PubModel\":\"\",\"JCR\":\"Q1\",\"JCRName\":\"HEALTH CARE SCIENCES & SERVICES\",\"Score\":null,\"Total\":0}","platform":"Semanticscholar","paperid":null,"PeriodicalName":"BMC Medical Research Methodology","FirstCategoryId":"3","ListUrlMain":"https://doi.org/10.1186/s12874-025-02656-5","RegionNum":3,"RegionCategory":"医学","ArticlePicture":[],"TitleCN":null,"AbstractTextCN":null,"PMCID":null,"EPubDate":"","PubModel":"","JCR":"Q1","JCRName":"HEALTH CARE SCIENCES & SERVICES","Score":null,"Total":0}
引用次数: 0

摘要

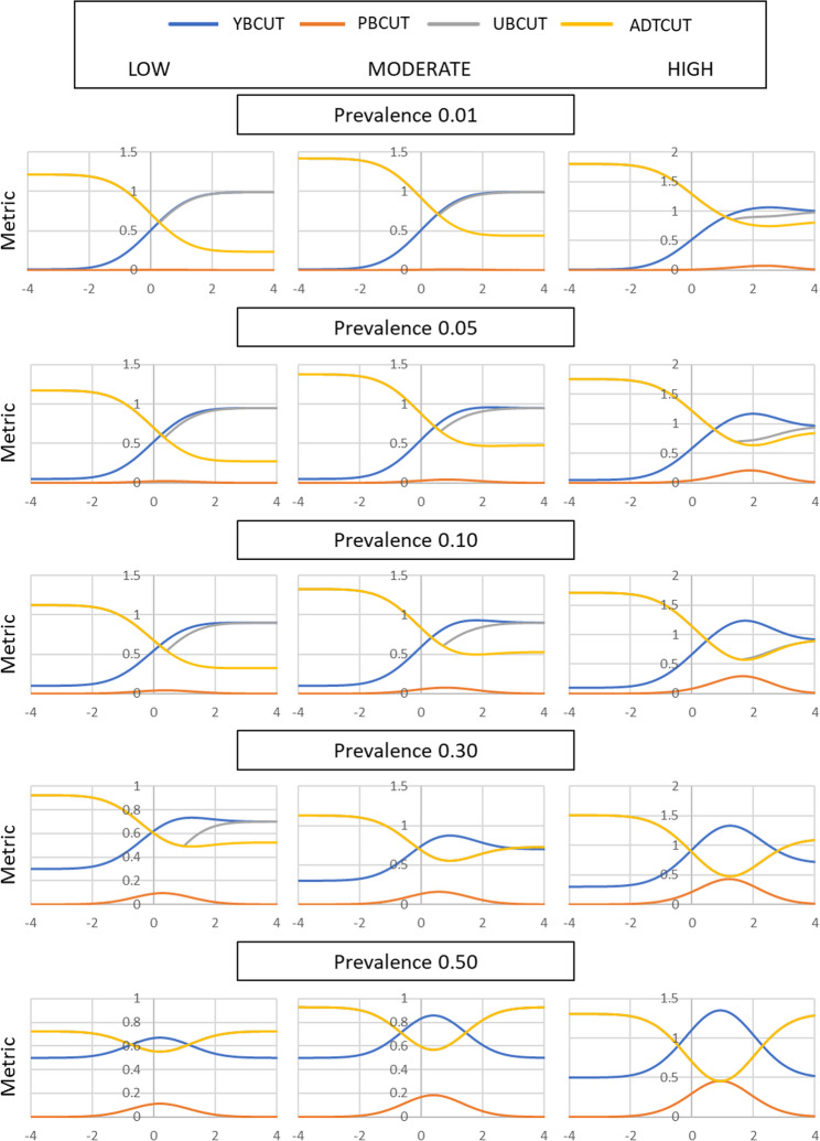
生物标志物的切入点选择是基于测试结果的临床效益,而不是基于准确性,这是决策者感兴趣的。我们根据检测结果的临床效用采用了Youden、Product、Union四种切点选择方法以及总效用与2倍AUC的绝对差值。方法:采用基于总体的检验结果参数对分布,包括均方差二正态模型、非均方差二正态模型、重方差和双指数模型。对于患病和非患病的每对分布,在不同程度的AUC和患病率下计算基于效用的切点指标。患病率分别为0.01 ~ 0.05、0.10、0.30和0.50。结果:对于低至0.01的低患病率,Product和Union的两种方法分别最大化和最小化相关指标,得出了相当相似的临界值,但基于约登的效用指标给出了相当相似的最佳临界值。相反,基于youden的效用度量和总效用与2倍AUC的绝对差值产生了极高的最佳切点值,因为它们的s形度量高于各种截止值。当患病率增加到10%或更高时,基于约登的效用度量变得凹,其切点更接近其他方法。四种建议的方法产生大致相同的切割点,在10%或更高的患病率为0.90的高精度。在低患病率和低AUC的双指数和双指数的偏态分布中,最佳截断点的差异较大。结论:根据AUC的患病率和程度,不同效用标准的最佳切点可能不一致。对于高AUC和患病率低于10%的情况,四种方法产生的最佳切割点相当相同。需要进一步的模拟研究来评估基于效用的切点选择的偏差和抽样可变性。
本文章由计算机程序翻译,如有差异,请以英文原文为准。

Development and evaluation of methods of clinical utility-based cut-point selection of diagnostic biomarkers: an analysis based on population-level parametric distributions of test results with application of clinical diagnostic data.

Development and evaluation of methods of clinical utility-based cut-point selection of diagnostic biomarkers: an analysis based on population-level parametric distributions of test results with application of clinical diagnostic data.

Development and evaluation of methods of clinical utility-based cut-point selection of diagnostic biomarkers: an analysis based on population-level parametric distributions of test results with application of clinical diagnostic data.

Development and evaluation of methods of clinical utility-based cut-point selection of diagnostic biomarkers: an analysis based on population-level parametric distributions of test results with application of clinical diagnostic data.

Introduction: The cut-point selection of biomarkers based on clinical benefit of test results rather than accuracy-based is of interest for decision makers. We adapted the four methods of cut-point selection based on clinical utility of test results including Youden, Product, Union and the absolute difference of total utility with 2 times of AUC.

Methods: The population-based parametric pairs of distributions of test results comprising homoscedastic binormal model, non-homoscedastic binormal, bigamma and biexponential included in the study. For each pair of distributions for diseased and non-diseased the utility-based metrics of cut-point were calculated under different degrees of AUC and prevalence. The prevalence was varied from 0.01 to 0.05, 0.10, 0.30, and 0.50.

Results: For a low prevalence as low as 0.01, the two methods of Product, and Union that maximize and minimize the related metrics respectively yield rather similar a true value of cut-point but the Youden-based utility metrics suggest rather similarly the true value of for an optimal cut-point. In opposition, the Youden-based utility metric and the absolute difference of total utility with 2 times of AUC produce extremely high value for optimal cut-point because of their s-shaped metrics over various cut-off values. As prevalence increases to 10% or more, the metric of Youden -based utility becomes concave and its cut-point becomes closer to other methods. The four proposed methods yield roughly identical cut-point at prevalence of 10% or more for high accuracy of 0.90. The greater discrepancy of optimal cut-point was shown in skew distributions of bigamma and biexponential with low prevalence and low AUC. For prevalence < 10%, the utility-based produces larger cut-point than accuracy-based methods in our clinical data for CRP. The methods of utility-based cut-point selection were explained by CRP in predicting preeclampsia, and other clinical data.

Conclusion: The inconsistency of optimal cut-points is possible by different methods of utility-based criteria depending on the prevalence and degree of AUC. For high AUC, and prevalence > 10%, the four proposed methods yield rather identical optimal cut-points. Further studies of simulation are needed to evaluate the bias and sampling variability of utility-based of cut-point selection.

求助全文
通过发布文献求助,成功后即可免费获取论文全文。 去求助
来源期刊
BMC Medical Research Methodology
BMC Medical Research Methodology 医学-卫生保健
CiteScore
6.50
自引率
2.50%
发文量
298
审稿时长
3-8 weeks
期刊介绍: BMC Medical Research Methodology is an open access journal publishing original peer-reviewed research articles in methodological approaches to healthcare research. Articles on the methodology of epidemiological research, clinical trials and meta-analysis/systematic review are particularly encouraged, as are empirical studies of the associations between choice of methodology and study outcomes. BMC Medical Research Methodology does not aim to publish articles describing scientific methods or techniques: these should be directed to the BMC journal covering the relevant biomedical subject area.
×
引用
GB/T 7714-2015
复制
MLA
复制
APA
复制
导出至
BibTeX EndNote RefMan NoteFirst NoteExpress
×
提示
您的信息不完整,为了账户安全,请先补充。
现在去补充
×
提示
您因"违规操作"
具体请查看互助需知
我知道了
×
提示
确定
请完成安全验证×
copy
已复制链接
快去分享给好友吧!
我知道了
右上角分享
点击右上角分享
0
联系我们:info@booksci.cn Book学术提供免费学术资源搜索服务,方便国内外学者检索中英文文献。致力于提供最便捷和优质的服务体验。 Copyright © 2023 布克学术 All rights reserved.
京ICP备2023020795号-1
ghs 京公网安备 11010802042870号
Book学术文献互助
Book学术文献互助群
群 号:604180095
Book学术官方微信