胃肠和肝胆癌手术抢救失败的定义:国家队列研究。

IF 4.5 3区 医学 Q1 SURGERY
BJS Open Pub Date : 2025-09-08 DOI:10.1093/bjsopen/zraf116
Cameron I Wells, William Xu, Chris Varghese, Sameer Bhat, Wal Baraza, Chris Harmston, Greg O'Grady, Ian P Bissett
{"title":"胃肠和肝胆癌手术抢救失败的定义:国家队列研究。","authors":"Cameron I Wells, William Xu, Chris Varghese, Sameer Bhat, Wal Baraza, Chris Harmston, Greg O'Grady, Ian P Bissett","doi":"10.1093/bjsopen/zraf116","DOIUrl":null,"url":null,"abstract":"<p><strong>Background: </strong>Failure to rescue (FTR) is the mortality rate among patients with complications, and is a quality indicator for surgical care. FTR has been inconsistently defined in the literature, with potential impacts on reported rates and hospital benchmarking. This study examined the impact of differences in the FTR definition on hospital rankings.</p><p><strong>Methods: </strong>A retrospective population-based cohort study of patients undergoing gastrointestinal or hepatopancreatobiliary cancer resection from 2005 to 2020 was performed using linkage of the New Zealand Cancer Registry and National Minimum Dataset. FTR was defined as the mortality rate among patients with any of 19 postoperative complications. Five FTR definitions commonly used in the literature were adapted for comparison. Risk-adjusted rates were compared between hospitals using each definition, as well as for in-hospital and 90-day outcomes.</p><p><strong>Results: </strong>In total, 31 199 patients were included from 20 hospitals, with 1517 90-day deaths (4.9%). The 90-day FTR rate with all 19 complications included was 10.4% (1517 of 14 646). The FTR definition affected hospital rankings, with the Bland-Altman 95% limits of agreement ranging between 4 and 11 position differences. There were 847 in-hospital deaths, and the in-hospital FTR rate was 5.8% (847 of 14 516). Hospital rankings were affected by the timing of outcome measurement; 95% limits of agreement ranged from 5 to 8 position differences compared with 90-day outcomes.</p><p><strong>Conclusion: </strong>The definition and timing of FTR measurement affected hospital rankings. This may have important ramifications for FTR as a quality indicator when benchmarking institutional performance.</p>","PeriodicalId":9028,"journal":{"name":"BJS Open","volume":"9 5","pages":""},"PeriodicalIF":4.5000,"publicationDate":"2025-09-08","publicationTypes":"Journal Article","fieldsOfStudy":null,"isOpenAccess":false,"openAccessPdf":"https://www.ncbi.nlm.nih.gov/pmc/articles/PMC12481687/pdf/","citationCount":"0","resultStr":"{\"title\":\"Definition of failure to rescue in gastrointestinal and hepatobiliary cancer surgery: national cohort study.\",\"authors\":\"Cameron I Wells, William Xu, Chris Varghese, Sameer Bhat, Wal Baraza, Chris Harmston, Greg O'Grady, Ian P Bissett\",\"doi\":\"10.1093/bjsopen/zraf116\",\"DOIUrl\":null,\"url\":null,\"abstract\":\"<p><strong>Background: </strong>Failure to rescue (FTR) is the mortality rate among patients with complications, and is a quality indicator for surgical care. FTR has been inconsistently defined in the literature, with potential impacts on reported rates and hospital benchmarking. This study examined the impact of differences in the FTR definition on hospital rankings.</p><p><strong>Methods: </strong>A retrospective population-based cohort study of patients undergoing gastrointestinal or hepatopancreatobiliary cancer resection from 2005 to 2020 was performed using linkage of the New Zealand Cancer Registry and National Minimum Dataset. FTR was defined as the mortality rate among patients with any of 19 postoperative complications. Five FTR definitions commonly used in the literature were adapted for comparison. Risk-adjusted rates were compared between hospitals using each definition, as well as for in-hospital and 90-day outcomes.</p><p><strong>Results: </strong>In total, 31 199 patients were included from 20 hospitals, with 1517 90-day deaths (4.9%). The 90-day FTR rate with all 19 complications included was 10.4% (1517 of 14 646). The FTR definition affected hospital rankings, with the Bland-Altman 95% limits of agreement ranging between 4 and 11 position differences. There were 847 in-hospital deaths, and the in-hospital FTR rate was 5.8% (847 of 14 516). Hospital rankings were affected by the timing of outcome measurement; 95% limits of agreement ranged from 5 to 8 position differences compared with 90-day outcomes.</p><p><strong>Conclusion: </strong>The definition and timing of FTR measurement affected hospital rankings. This may have important ramifications for FTR as a quality indicator when benchmarking institutional performance.</p>\",\"PeriodicalId\":9028,\"journal\":{\"name\":\"BJS Open\",\"volume\":\"9 5\",\"pages\":\"\"},\"PeriodicalIF\":4.5000,\"publicationDate\":\"2025-09-08\",\"publicationTypes\":\"Journal Article\",\"fieldsOfStudy\":null,\"isOpenAccess\":false,\"openAccessPdf\":\"https://www.ncbi.nlm.nih.gov/pmc/articles/PMC12481687/pdf/\",\"citationCount\":\"0\",\"resultStr\":null,\"platform\":\"Semanticscholar\",\"paperid\":null,\"PeriodicalName\":\"BJS Open\",\"FirstCategoryId\":\"3\",\"ListUrlMain\":\"https://doi.org/10.1093/bjsopen/zraf116\",\"RegionNum\":3,\"RegionCategory\":\"医学\",\"ArticlePicture\":[],\"TitleCN\":null,\"AbstractTextCN\":null,\"PMCID\":null,\"EPubDate\":\"\",\"PubModel\":\"\",\"JCR\":\"Q1\",\"JCRName\":\"SURGERY\",\"Score\":null,\"Total\":0}","platform":"Semanticscholar","paperid":null,"PeriodicalName":"BJS Open","FirstCategoryId":"3","ListUrlMain":"https://doi.org/10.1093/bjsopen/zraf116","RegionNum":3,"RegionCategory":"医学","ArticlePicture":[],"TitleCN":null,"AbstractTextCN":null,"PMCID":null,"EPubDate":"","PubModel":"","JCR":"Q1","JCRName":"SURGERY","Score":null,"Total":0}
引用次数: 0

摘要

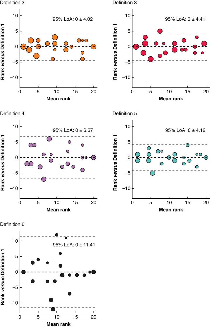
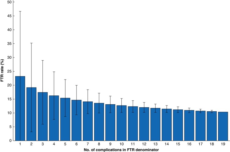
背景:抢救失败(FTR)是并发症患者的死亡率,是外科护理质量的一个指标。文献中对FTR的定义不一致,对报告的发生率和医院基准有潜在影响。本研究考察了FTR定义差异对医院排名的影响。方法:利用新西兰癌症登记处和国家最小数据集的链接,对2005年至2020年接受胃肠道或肝胆管癌切除术的患者进行回顾性人群队列研究。FTR定义为19种术后并发症中任何一种患者的死亡率。本文采用文献中常用的五种FTR定义进行比较。我们比较了使用每种定义的医院之间的风险调整率,以及住院和90天的结果。结果:20家医院共纳入31 199例患者,90天死亡1517例(4.9%)。包括所有19种并发症的90天FTR率为10.4%(14646例中的1517例)。FTR的定义影响了医院的排名,Bland-Altman 95%的一致性限制范围在4到11个位置差异之间。院内死亡847例,院内FTR率为5.8%(14516例中有847例)。结果测量时间对医院排名有影响;与90天的结果相比,95%的协议限制在5到8个立场差异之间。结论:FTR测量的定义和时间影响医院排名。这可能会对FTR作为衡量机构绩效的质量指标产生重要影响。
本文章由计算机程序翻译,如有差异,请以英文原文为准。

Definition of failure to rescue in gastrointestinal and hepatobiliary cancer surgery: national cohort study.

Definition of failure to rescue in gastrointestinal and hepatobiliary cancer surgery: national cohort study.

Definition of failure to rescue in gastrointestinal and hepatobiliary cancer surgery: national cohort study.

Definition of failure to rescue in gastrointestinal and hepatobiliary cancer surgery: national cohort study.

Background: Failure to rescue (FTR) is the mortality rate among patients with complications, and is a quality indicator for surgical care. FTR has been inconsistently defined in the literature, with potential impacts on reported rates and hospital benchmarking. This study examined the impact of differences in the FTR definition on hospital rankings.

Methods: A retrospective population-based cohort study of patients undergoing gastrointestinal or hepatopancreatobiliary cancer resection from 2005 to 2020 was performed using linkage of the New Zealand Cancer Registry and National Minimum Dataset. FTR was defined as the mortality rate among patients with any of 19 postoperative complications. Five FTR definitions commonly used in the literature were adapted for comparison. Risk-adjusted rates were compared between hospitals using each definition, as well as for in-hospital and 90-day outcomes.

Results: In total, 31 199 patients were included from 20 hospitals, with 1517 90-day deaths (4.9%). The 90-day FTR rate with all 19 complications included was 10.4% (1517 of 14 646). The FTR definition affected hospital rankings, with the Bland-Altman 95% limits of agreement ranging between 4 and 11 position differences. There were 847 in-hospital deaths, and the in-hospital FTR rate was 5.8% (847 of 14 516). Hospital rankings were affected by the timing of outcome measurement; 95% limits of agreement ranged from 5 to 8 position differences compared with 90-day outcomes.

Conclusion: The definition and timing of FTR measurement affected hospital rankings. This may have important ramifications for FTR as a quality indicator when benchmarking institutional performance.

求助全文
通过发布文献求助,成功后即可免费获取论文全文。 去求助
来源期刊
BJS Open
BJS Open SURGERY-
CiteScore
6.00
自引率
3.20%
发文量
144
×
引用
GB/T 7714-2015
复制
MLA
复制
APA
复制
导出至
BibTeX EndNote RefMan NoteFirst NoteExpress
×
提示
您的信息不完整,为了账户安全,请先补充。
现在去补充
×
提示
您因"违规操作"
具体请查看互助需知
我知道了
×
提示
确定
请完成安全验证×
copy
已复制链接
快去分享给好友吧!
我知道了
右上角分享
点击右上角分享
0
联系我们:info@booksci.cn Book学术提供免费学术资源搜索服务,方便国内外学者检索中英文文献。致力于提供最便捷和优质的服务体验。 Copyright © 2023 布克学术 All rights reserved.
京ICP备2023020795号-1
ghs 京公网安备 11010802042870号
Book学术文献互助
Book学术文献互助群
群 号:604180095
Book学术官方微信