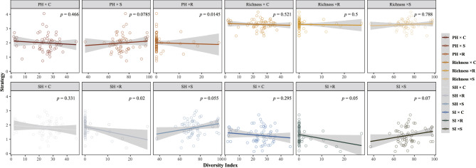
亚热带森林叶圈病原菌多样性和叶功能性状在局地尺度上是共同变化的。

IF 2.6 Q2 ECOLOGY
Lei Xie, Huipeng Yang, Xiao Zheng, Hui Ding, Yanming Fang
{"title":"亚热带森林叶圈病原菌多样性和叶功能性状在局地尺度上是共同变化的。","authors":"Lei Xie, Huipeng Yang, Xiao Zheng, Hui Ding, Yanming Fang","doi":"10.1186/s12862-025-02434-3","DOIUrl":null,"url":null,"abstract":"","PeriodicalId":93910,"journal":{"name":"BMC ecology and evolution","volume":"25 1","pages":"96"},"PeriodicalIF":2.6000,"publicationDate":"2025-09-25","publicationTypes":"Journal Article","fieldsOfStudy":null,"isOpenAccess":false,"openAccessPdf":"https://www.ncbi.nlm.nih.gov/pmc/articles/PMC12482022/pdf/","citationCount":"0","resultStr":"{\"title\":\"Phyllosphere pathogen diversity and leaf functional traits covary at a local scale in subtropical forests.\",\"authors\":\"Lei Xie, Huipeng Yang, Xiao Zheng, Hui Ding, Yanming Fang\",\"doi\":\"10.1186/s12862-025-02434-3\",\"DOIUrl\":null,\"url\":null,\"abstract\":\"\",\"PeriodicalId\":93910,\"journal\":{\"name\":\"BMC ecology and evolution\",\"volume\":\"25 1\",\"pages\":\"96\"},\"PeriodicalIF\":2.6000,\"publicationDate\":\"2025-09-25\",\"publicationTypes\":\"Journal Article\",\"fieldsOfStudy\":null,\"isOpenAccess\":false,\"openAccessPdf\":\"https://www.ncbi.nlm.nih.gov/pmc/articles/PMC12482022/pdf/\",\"citationCount\":\"0\",\"resultStr\":null,\"platform\":\"Semanticscholar\",\"paperid\":null,\"PeriodicalName\":\"BMC ecology and evolution\",\"FirstCategoryId\":\"1085\",\"ListUrlMain\":\"https://doi.org/10.1186/s12862-025-02434-3\",\"RegionNum\":0,\"RegionCategory\":null,\"ArticlePicture\":[],\"TitleCN\":null,\"AbstractTextCN\":null,\"PMCID\":null,\"EPubDate\":\"\",\"PubModel\":\"\",\"JCR\":\"Q2\",\"JCRName\":\"ECOLOGY\",\"Score\":null,\"Total\":0}","platform":"Semanticscholar","paperid":null,"PeriodicalName":"BMC ecology and evolution","FirstCategoryId":"1085","ListUrlMain":"https://doi.org/10.1186/s12862-025-02434-3","RegionNum":0,"RegionCategory":null,"ArticlePicture":[],"TitleCN":null,"AbstractTextCN":null,"PMCID":null,"EPubDate":"","PubModel":"","JCR":"Q2","JCRName":"ECOLOGY","Score":null,"Total":0}
引用次数: 0

摘要

本文章由计算机程序翻译,如有差异,请以英文原文为准。

Phyllosphere pathogen diversity and leaf functional traits covary at a local scale in subtropical forests.

Phyllosphere pathogen diversity and leaf functional traits covary at a local scale in subtropical forests.

Phyllosphere pathogen diversity and leaf functional traits covary at a local scale in subtropical forests.

Phyllosphere pathogen diversity and leaf functional traits covary at a local scale in subtropical forests.
求助全文
通过发布文献求助,成功后即可免费获取论文全文。 去求助
来源期刊
自引率
0.00%
发文量
0
×
引用
GB/T 7714-2015
复制
MLA
复制
APA
复制
导出至
BibTeX EndNote RefMan NoteFirst NoteExpress
×
提示
您的信息不完整,为了账户安全,请先补充。
现在去补充
×
提示
您因"违规操作"
具体请查看互助需知
我知道了
×
提示
确定
请完成安全验证×
copy
已复制链接
快去分享给好友吧!
我知道了
右上角分享
点击右上角分享
0
联系我们:info@booksci.cn Book学术提供免费学术资源搜索服务,方便国内外学者检索中英文文献。致力于提供最便捷和优质的服务体验。 Copyright © 2023 布克学术 All rights reserved.
京ICP备2023020795号-1
ghs 京公网安备 11010802042870号
Book学术文献互助
Book学术文献互助群
群 号:604180095
Book学术官方微信