胆囊癌术前血清肿瘤标志物的预后价值。

IF 2.5 3区 医学 Q2 GASTROENTEROLOGY & HEPATOLOGY
Qianhui Duan, Jie Zhong, Yinghui Song, Sicheng Zhang, Weimin Yi, Chuang Peng, Sulai Liu, Jianping Wu, Lianhong Zou
{"title":"胆囊癌术前血清肿瘤标志物的预后价值。","authors":"Qianhui Duan, Jie Zhong, Yinghui Song, Sicheng Zhang, Weimin Yi, Chuang Peng, Sulai Liu, Jianping Wu, Lianhong Zou","doi":"10.1186/s12876-025-04270-7","DOIUrl":null,"url":null,"abstract":"<p><strong>Objective: </strong>To investigate the clinical factors related to poor prognosis of gallbladder cancer (GBC) patients, and to develop a prognostic model which may provide the guidance for clinical decision-making.</p><p><strong>Methods: </strong>The clinical and pathological data of 136 patients with GBC admitted and treated in the Hunan Provincial People's Hospital from January 2018 to July 2023 were retrospectively analyzed. All patients were followed up periodically by telephone, with the final follow-up on July 15, 2024. The Kaplan-Meier method was employed for univariate survival analysis. The log-rank test was utilized to assess differences in survival curves. A Cox regression model was applied for multivariate analysis to identify independent prognostic factors for GBC. Independent prognostic factors identified through Cox modeling were integrated into a nomogram. Finally, receiver operating characteristic (ROC) curves and calibration curves were plotted for 1-, 2-, and 3-year survival predictions.</p><p><strong>Results: </strong>GBC patients were predominantly female and elderly. GBC patients with diabetes, jaundice and Child-Pugh B/C classification of liver function had poorer overall survival (OS) outcomes. Elevated serum tumor biomarkers CA19-9, CA125, CEA, CA724 and CYFRA21-1 were associated with unfavorable OS in GBC patients. Additionally, the differentiation grade, Lymphovascular invasion (LVI), perineural invasion (PNI), clinical staging and TNM staging were also related to the OS of GBC patients. For GBC patients who underwent surgical treatment, OS was significantly improved, with the most notable improvement observed in those who received radical surgery. GBC patients treated with chemotherapy-based drug treatment experienced an improvement in OS. Multivariate Cox regression analysis revealed that diabetes, elevated CA125, and advanced TNM stage were independent risk factors for GBC prognosis, while chemo-immunotherapy/targeted therapy was an independent protective factor.</p><p><strong>Conclusion: </strong>Diabetes, elevated CA125 levels, TNM stage, and chemo-immunotherapy/targeted therapy are independent prognostic factors for GBC patients, which could be used to develop a nomogram model and contribute to provide the guidance for clinical treatment.</p>","PeriodicalId":9129,"journal":{"name":"BMC Gastroenterology","volume":"25 1","pages":"678"},"PeriodicalIF":2.5000,"publicationDate":"2025-09-29","publicationTypes":"Journal Article","fieldsOfStudy":null,"isOpenAccess":false,"openAccessPdf":"https://www.ncbi.nlm.nih.gov/pmc/articles/PMC12482541/pdf/","citationCount":"0","resultStr":"{\"title\":\"Prognostic value of preoperative serum tumor markers in gallbladder cancer.\",\"authors\":\"Qianhui Duan, Jie Zhong, Yinghui Song, Sicheng Zhang, Weimin Yi, Chuang Peng, Sulai Liu, Jianping Wu, Lianhong Zou\",\"doi\":\"10.1186/s12876-025-04270-7\",\"DOIUrl\":null,\"url\":null,\"abstract\":\"<p><strong>Objective: </strong>To investigate the clinical factors related to poor prognosis of gallbladder cancer (GBC) patients, and to develop a prognostic model which may provide the guidance for clinical decision-making.</p><p><strong>Methods: </strong>The clinical and pathological data of 136 patients with GBC admitted and treated in the Hunan Provincial People's Hospital from January 2018 to July 2023 were retrospectively analyzed. All patients were followed up periodically by telephone, with the final follow-up on July 15, 2024. The Kaplan-Meier method was employed for univariate survival analysis. The log-rank test was utilized to assess differences in survival curves. A Cox regression model was applied for multivariate analysis to identify independent prognostic factors for GBC. Independent prognostic factors identified through Cox modeling were integrated into a nomogram. Finally, receiver operating characteristic (ROC) curves and calibration curves were plotted for 1-, 2-, and 3-year survival predictions.</p><p><strong>Results: </strong>GBC patients were predominantly female and elderly. GBC patients with diabetes, jaundice and Child-Pugh B/C classification of liver function had poorer overall survival (OS) outcomes. Elevated serum tumor biomarkers CA19-9, CA125, CEA, CA724 and CYFRA21-1 were associated with unfavorable OS in GBC patients. Additionally, the differentiation grade, Lymphovascular invasion (LVI), perineural invasion (PNI), clinical staging and TNM staging were also related to the OS of GBC patients. For GBC patients who underwent surgical treatment, OS was significantly improved, with the most notable improvement observed in those who received radical surgery. GBC patients treated with chemotherapy-based drug treatment experienced an improvement in OS. Multivariate Cox regression analysis revealed that diabetes, elevated CA125, and advanced TNM stage were independent risk factors for GBC prognosis, while chemo-immunotherapy/targeted therapy was an independent protective factor.</p><p><strong>Conclusion: </strong>Diabetes, elevated CA125 levels, TNM stage, and chemo-immunotherapy/targeted therapy are independent prognostic factors for GBC patients, which could be used to develop a nomogram model and contribute to provide the guidance for clinical treatment.</p>\",\"PeriodicalId\":9129,\"journal\":{\"name\":\"BMC Gastroenterology\",\"volume\":\"25 1\",\"pages\":\"678\"},\"PeriodicalIF\":2.5000,\"publicationDate\":\"2025-09-29\",\"publicationTypes\":\"Journal Article\",\"fieldsOfStudy\":null,\"isOpenAccess\":false,\"openAccessPdf\":\"https://www.ncbi.nlm.nih.gov/pmc/articles/PMC12482541/pdf/\",\"citationCount\":\"0\",\"resultStr\":null,\"platform\":\"Semanticscholar\",\"paperid\":null,\"PeriodicalName\":\"BMC Gastroenterology\",\"FirstCategoryId\":\"3\",\"ListUrlMain\":\"https://doi.org/10.1186/s12876-025-04270-7\",\"RegionNum\":3,\"RegionCategory\":\"医学\",\"ArticlePicture\":[],\"TitleCN\":null,\"AbstractTextCN\":null,\"PMCID\":null,\"EPubDate\":\"\",\"PubModel\":\"\",\"JCR\":\"Q2\",\"JCRName\":\"GASTROENTEROLOGY & HEPATOLOGY\",\"Score\":null,\"Total\":0}","platform":"Semanticscholar","paperid":null,"PeriodicalName":"BMC Gastroenterology","FirstCategoryId":"3","ListUrlMain":"https://doi.org/10.1186/s12876-025-04270-7","RegionNum":3,"RegionCategory":"医学","ArticlePicture":[],"TitleCN":null,"AbstractTextCN":null,"PMCID":null,"EPubDate":"","PubModel":"","JCR":"Q2","JCRName":"GASTROENTEROLOGY & HEPATOLOGY","Score":null,"Total":0}
引用次数: 0

摘要

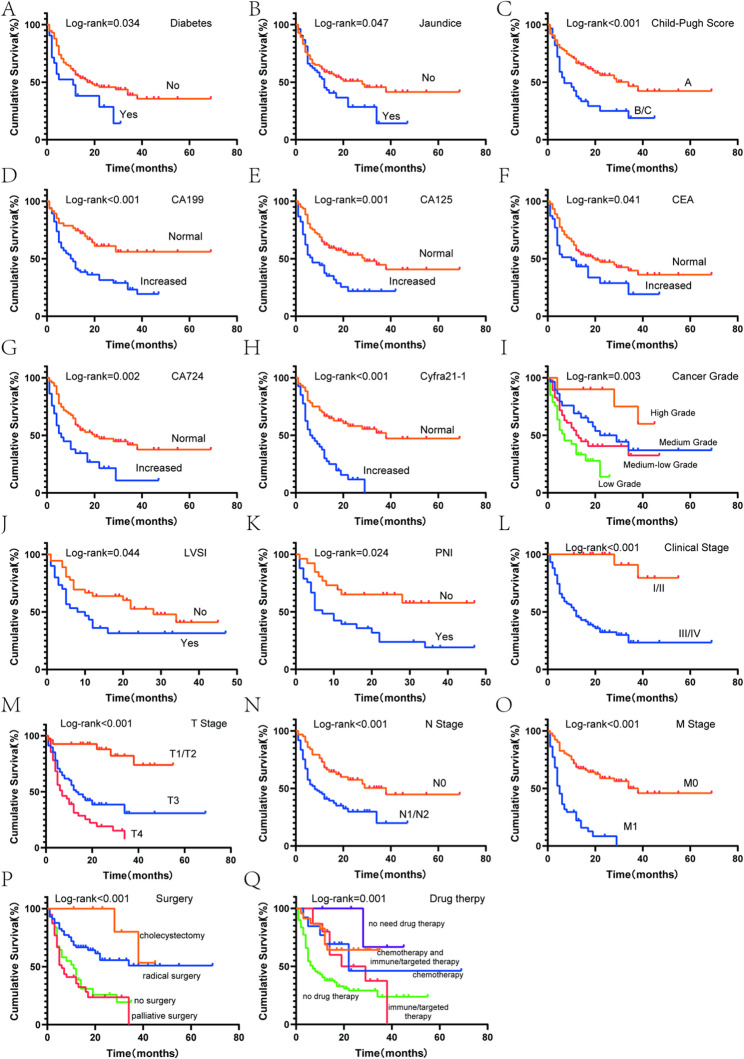
目的:探讨胆囊癌(GBC)患者预后不良的相关临床因素,建立预后模型,为临床决策提供指导。方法:回顾性分析2018年1月至2023年7月湖南省人民医院收治的136例GBC患者的临床和病理资料。所有患者定期电话随访,最后随访时间为2024年7月15日。单因素生存分析采用Kaplan-Meier法。采用log-rank检验评估生存曲线的差异。采用Cox回归模型进行多因素分析,以确定GBC的独立预后因素。通过Cox模型确定的独立预后因素被整合到nomogram中。最后,绘制1年、2年和3年生存预测的受试者工作特征(ROC)曲线和校准曲线。结果:GBC患者以女性和老年人为主。伴有糖尿病、黄疸和Child-Pugh B/C肝功能分级的GBC患者总生存期(OS)较差。血清肿瘤生物标志物CA19-9、CA125、CEA、CA724和CYFRA21-1升高与GBC患者不良OS相关。此外,分化分级、淋巴血管侵袭(LVI)、神经周围侵袭(PNI)、临床分期和TNM分期也与GBC患者的OS有关。对于接受手术治疗的GBC患者,OS明显改善,其中接受根治性手术的改善最为显著。接受以化疗为基础的药物治疗的GBC患者的OS有所改善。多因素Cox回归分析显示,糖尿病、CA125升高、TNM分期是影响GBC预后的独立危险因素,而化疗-免疫治疗/靶向治疗是独立保护因素。结论:糖尿病、CA125水平升高、TNM分期、化疗免疫治疗/靶向治疗是GBC患者预后的独立影响因素,可用于建立nomogram模型,为临床治疗提供指导。
本文章由计算机程序翻译,如有差异,请以英文原文为准。

Prognostic value of preoperative serum tumor markers in gallbladder cancer.

Prognostic value of preoperative serum tumor markers in gallbladder cancer.

Prognostic value of preoperative serum tumor markers in gallbladder cancer.

Prognostic value of preoperative serum tumor markers in gallbladder cancer.

Objective: To investigate the clinical factors related to poor prognosis of gallbladder cancer (GBC) patients, and to develop a prognostic model which may provide the guidance for clinical decision-making.

Methods: The clinical and pathological data of 136 patients with GBC admitted and treated in the Hunan Provincial People's Hospital from January 2018 to July 2023 were retrospectively analyzed. All patients were followed up periodically by telephone, with the final follow-up on July 15, 2024. The Kaplan-Meier method was employed for univariate survival analysis. The log-rank test was utilized to assess differences in survival curves. A Cox regression model was applied for multivariate analysis to identify independent prognostic factors for GBC. Independent prognostic factors identified through Cox modeling were integrated into a nomogram. Finally, receiver operating characteristic (ROC) curves and calibration curves were plotted for 1-, 2-, and 3-year survival predictions.

Results: GBC patients were predominantly female and elderly. GBC patients with diabetes, jaundice and Child-Pugh B/C classification of liver function had poorer overall survival (OS) outcomes. Elevated serum tumor biomarkers CA19-9, CA125, CEA, CA724 and CYFRA21-1 were associated with unfavorable OS in GBC patients. Additionally, the differentiation grade, Lymphovascular invasion (LVI), perineural invasion (PNI), clinical staging and TNM staging were also related to the OS of GBC patients. For GBC patients who underwent surgical treatment, OS was significantly improved, with the most notable improvement observed in those who received radical surgery. GBC patients treated with chemotherapy-based drug treatment experienced an improvement in OS. Multivariate Cox regression analysis revealed that diabetes, elevated CA125, and advanced TNM stage were independent risk factors for GBC prognosis, while chemo-immunotherapy/targeted therapy was an independent protective factor.

Conclusion: Diabetes, elevated CA125 levels, TNM stage, and chemo-immunotherapy/targeted therapy are independent prognostic factors for GBC patients, which could be used to develop a nomogram model and contribute to provide the guidance for clinical treatment.

求助全文
通过发布文献求助,成功后即可免费获取论文全文。 去求助
来源期刊
BMC Gastroenterology
BMC Gastroenterology 医学-胃肠肝病学
CiteScore
4.20
自引率
0.00%
发文量
465
审稿时长
6 months
期刊介绍: BMC Gastroenterology is an open access, peer-reviewed journal that considers articles on all aspects of the prevention, diagnosis and management of gastrointestinal and hepatobiliary disorders, as well as related molecular genetics, pathophysiology, and epidemiology.
×
引用
GB/T 7714-2015
复制
MLA
复制
APA
复制
导出至
BibTeX EndNote RefMan NoteFirst NoteExpress
×
提示
您的信息不完整,为了账户安全,请先补充。
现在去补充
×
提示
您因"违规操作"
具体请查看互助需知
我知道了
×
提示
确定
请完成安全验证×
copy
已复制链接
快去分享给好友吧!
我知道了
右上角分享
点击右上角分享
0
联系我们:info@booksci.cn Book学术提供免费学术资源搜索服务,方便国内外学者检索中英文文献。致力于提供最便捷和优质的服务体验。 Copyright © 2023 布克学术 All rights reserved.
京ICP备2023020795号-1
ghs 京公网安备 11010802042870号
Book学术文献互助
Book学术文献互助群
群 号:604180095
Book学术官方微信