胆囊切除术对代谢功能障碍相关脂肪变性肝病和代谢综合征的影响:一项为期6个月的前瞻性队列研究

IF 2.5 3区 医学 Q2 GASTROENTEROLOGY & HEPATOLOGY
Mohammad Hadi Bahri, Susan Navabian, Homa Akbari, Javad Zebarjadi Bagherpour, Ramin Bozorgmehr, Mahdi Mohammaditabar
{"title":"胆囊切除术对代谢功能障碍相关脂肪变性肝病和代谢综合征的影响:一项为期6个月的前瞻性队列研究","authors":"Mohammad Hadi Bahri, Susan Navabian, Homa Akbari, Javad Zebarjadi Bagherpour, Ramin Bozorgmehr, Mahdi Mohammaditabar","doi":"10.1186/s12876-025-04269-0","DOIUrl":null,"url":null,"abstract":"<p><strong>Background: </strong>Cholecystectomy, a common surgery, may cause metabolic changes linked to bile acid metabolism. Early studies suggest a possible link between cholecystectomy and Metabolic dysfunction-Associated Steatotic Liver Disease (MASLD) and metabolic syndrome, but findings are inconclusive. This 6-month study aimed to assess how elective cholecystectomy affects metabolic syndrome development and MASLD progression in a Middle Eastern population.</p><p><strong>Methods: </strong>Participants included 51 patients undergoing elective cholecystectomy and 49 matched controls. MASLD grade and metabolic syndrome status were assessed at baseline and six months post-intervention using ultrasonography and standard clinical criteria.</p><p><strong>Results: </strong>A total of 100 patients were included in the present study, with 51 assigned to the cholecystectomy group and 49 to the control group. Over a six-month follow-up period, individuals in the cholecystectomy group experienced a significant decrease in body mass index (BMI) (p < 0.05) and fasting blood sugar (FBS) levels (p < 0.05). However, this group also exhibited a significant increase in systolic blood pressure (SBP) and diastolic blood pressure (DBP) (p < 0.05). In contrast, the control group showed significant improvements in FBS (p < 0.05) and HDL cholesterol levels (p < 0.05). Logistic regression analysis revealed that undergoing cholecystectomy was linked to a higher likelihood of developing metabolic syndrome (OR = 9.63, p < 0.05).</p><p><strong>Conclusions: </strong>Our findings highlight the potential metabolic implications of cholecystectomy. Cholecystectomy was associated with reduced BMI and improved fasting glucose but significantly increased blood pressure over 6 months. Highlighting the need for careful metabolic monitoring post-surgery.</p>","PeriodicalId":9129,"journal":{"name":"BMC Gastroenterology","volume":"25 1","pages":"671"},"PeriodicalIF":2.5000,"publicationDate":"2025-09-29","publicationTypes":"Journal Article","fieldsOfStudy":null,"isOpenAccess":false,"openAccessPdf":"https://www.ncbi.nlm.nih.gov/pmc/articles/PMC12482017/pdf/","citationCount":"0","resultStr":"{\"title\":\"Impact of cholecystectomy on Metabolic dysfunction-Associated Steatotic Liver Disease and metabolic syndrome: a 6-month prospective cohort study.\",\"authors\":\"Mohammad Hadi Bahri, Susan Navabian, Homa Akbari, Javad Zebarjadi Bagherpour, Ramin Bozorgmehr, Mahdi Mohammaditabar\",\"doi\":\"10.1186/s12876-025-04269-0\",\"DOIUrl\":null,\"url\":null,\"abstract\":\"<p><strong>Background: </strong>Cholecystectomy, a common surgery, may cause metabolic changes linked to bile acid metabolism. Early studies suggest a possible link between cholecystectomy and Metabolic dysfunction-Associated Steatotic Liver Disease (MASLD) and metabolic syndrome, but findings are inconclusive. This 6-month study aimed to assess how elective cholecystectomy affects metabolic syndrome development and MASLD progression in a Middle Eastern population.</p><p><strong>Methods: </strong>Participants included 51 patients undergoing elective cholecystectomy and 49 matched controls. MASLD grade and metabolic syndrome status were assessed at baseline and six months post-intervention using ultrasonography and standard clinical criteria.</p><p><strong>Results: </strong>A total of 100 patients were included in the present study, with 51 assigned to the cholecystectomy group and 49 to the control group. Over a six-month follow-up period, individuals in the cholecystectomy group experienced a significant decrease in body mass index (BMI) (p < 0.05) and fasting blood sugar (FBS) levels (p < 0.05). However, this group also exhibited a significant increase in systolic blood pressure (SBP) and diastolic blood pressure (DBP) (p < 0.05). In contrast, the control group showed significant improvements in FBS (p < 0.05) and HDL cholesterol levels (p < 0.05). Logistic regression analysis revealed that undergoing cholecystectomy was linked to a higher likelihood of developing metabolic syndrome (OR = 9.63, p < 0.05).</p><p><strong>Conclusions: </strong>Our findings highlight the potential metabolic implications of cholecystectomy. Cholecystectomy was associated with reduced BMI and improved fasting glucose but significantly increased blood pressure over 6 months. Highlighting the need for careful metabolic monitoring post-surgery.</p>\",\"PeriodicalId\":9129,\"journal\":{\"name\":\"BMC Gastroenterology\",\"volume\":\"25 1\",\"pages\":\"671\"},\"PeriodicalIF\":2.5000,\"publicationDate\":\"2025-09-29\",\"publicationTypes\":\"Journal Article\",\"fieldsOfStudy\":null,\"isOpenAccess\":false,\"openAccessPdf\":\"https://www.ncbi.nlm.nih.gov/pmc/articles/PMC12482017/pdf/\",\"citationCount\":\"0\",\"resultStr\":null,\"platform\":\"Semanticscholar\",\"paperid\":null,\"PeriodicalName\":\"BMC Gastroenterology\",\"FirstCategoryId\":\"3\",\"ListUrlMain\":\"https://doi.org/10.1186/s12876-025-04269-0\",\"RegionNum\":3,\"RegionCategory\":\"医学\",\"ArticlePicture\":[],\"TitleCN\":null,\"AbstractTextCN\":null,\"PMCID\":null,\"EPubDate\":\"\",\"PubModel\":\"\",\"JCR\":\"Q2\",\"JCRName\":\"GASTROENTEROLOGY & HEPATOLOGY\",\"Score\":null,\"Total\":0}","platform":"Semanticscholar","paperid":null,"PeriodicalName":"BMC Gastroenterology","FirstCategoryId":"3","ListUrlMain":"https://doi.org/10.1186/s12876-025-04269-0","RegionNum":3,"RegionCategory":"医学","ArticlePicture":[],"TitleCN":null,"AbstractTextCN":null,"PMCID":null,"EPubDate":"","PubModel":"","JCR":"Q2","JCRName":"GASTROENTEROLOGY & HEPATOLOGY","Score":null,"Total":0}
引用次数: 0

摘要

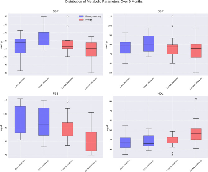
背景:胆囊切除术是一种常见的手术,可能引起与胆汁酸代谢相关的代谢改变。早期研究表明胆囊切除术与代谢功能障碍相关脂肪变性肝病(MASLD)和代谢综合征之间可能存在联系,但研究结果尚无定论。这项为期6个月的研究旨在评估选择性胆囊切除术如何影响中东人群代谢综合征的发展和MASLD的进展。方法:参与者包括51例择期胆囊切除术患者和49例对照组。在基线和干预后6个月通过超声检查和标准临床标准评估MASLD分级和代谢综合征状态。结果:本研究共纳入100例患者,其中51例为胆囊切除术组,49例为对照组。在六个月的随访期间,胆囊切除术组的个体体重指数(BMI)显著下降(p结论:我们的研究结果强调了胆囊切除术的潜在代谢影响。胆囊切除术与BMI降低和空腹血糖改善相关,但6个月后血压显著升高。强调术后需要仔细的代谢监测。
本文章由计算机程序翻译,如有差异,请以英文原文为准。

Impact of cholecystectomy on Metabolic dysfunction-Associated Steatotic Liver Disease and metabolic syndrome: a 6-month prospective cohort study.

Impact of cholecystectomy on Metabolic dysfunction-Associated Steatotic Liver Disease and metabolic syndrome: a 6-month prospective cohort study.

Impact of cholecystectomy on Metabolic dysfunction-Associated Steatotic Liver Disease and metabolic syndrome: a 6-month prospective cohort study.

Background: Cholecystectomy, a common surgery, may cause metabolic changes linked to bile acid metabolism. Early studies suggest a possible link between cholecystectomy and Metabolic dysfunction-Associated Steatotic Liver Disease (MASLD) and metabolic syndrome, but findings are inconclusive. This 6-month study aimed to assess how elective cholecystectomy affects metabolic syndrome development and MASLD progression in a Middle Eastern population.

Methods: Participants included 51 patients undergoing elective cholecystectomy and 49 matched controls. MASLD grade and metabolic syndrome status were assessed at baseline and six months post-intervention using ultrasonography and standard clinical criteria.

Results: A total of 100 patients were included in the present study, with 51 assigned to the cholecystectomy group and 49 to the control group. Over a six-month follow-up period, individuals in the cholecystectomy group experienced a significant decrease in body mass index (BMI) (p < 0.05) and fasting blood sugar (FBS) levels (p < 0.05). However, this group also exhibited a significant increase in systolic blood pressure (SBP) and diastolic blood pressure (DBP) (p < 0.05). In contrast, the control group showed significant improvements in FBS (p < 0.05) and HDL cholesterol levels (p < 0.05). Logistic regression analysis revealed that undergoing cholecystectomy was linked to a higher likelihood of developing metabolic syndrome (OR = 9.63, p < 0.05).

Conclusions: Our findings highlight the potential metabolic implications of cholecystectomy. Cholecystectomy was associated with reduced BMI and improved fasting glucose but significantly increased blood pressure over 6 months. Highlighting the need for careful metabolic monitoring post-surgery.

求助全文
通过发布文献求助,成功后即可免费获取论文全文。 去求助
来源期刊
BMC Gastroenterology
BMC Gastroenterology 医学-胃肠肝病学
CiteScore
4.20
自引率
0.00%
发文量
465
审稿时长
6 months
期刊介绍: BMC Gastroenterology is an open access, peer-reviewed journal that considers articles on all aspects of the prevention, diagnosis and management of gastrointestinal and hepatobiliary disorders, as well as related molecular genetics, pathophysiology, and epidemiology.
×
引用
GB/T 7714-2015
复制
MLA
复制
APA
复制
导出至
BibTeX EndNote RefMan NoteFirst NoteExpress
×
提示
您的信息不完整,为了账户安全,请先补充。
现在去补充
×
提示
您因"违规操作"
具体请查看互助需知
我知道了
×
提示
确定
请完成安全验证×
copy
已复制链接
快去分享给好友吧!
我知道了
右上角分享
点击右上角分享
0
联系我们:info@booksci.cn Book学术提供免费学术资源搜索服务,方便国内外学者检索中英文文献。致力于提供最便捷和优质的服务体验。 Copyright © 2023 布克学术 All rights reserved.
京ICP备2023020795号-1
ghs 京公网安备 11010802042870号
Book学术文献互助
Book学术文献互助群
群 号:604180095
Book学术官方微信