估计暴露混合物的因果效应:一种广义倾向评分法。

IF 3.4 3区 医学 Q1 HEALTH CARE SCIENCES & SERVICES
Qian Gao, Ting Li, Guiming Zhu, Juping Wang, Kexin Qiu, Liangpo Liu, Xiujuan Yang, Tong Wang
{"title":"估计暴露混合物的因果效应:一种广义倾向评分法。","authors":"Qian Gao, Ting Li, Guiming Zhu, Juping Wang, Kexin Qiu, Liangpo Liu, Xiujuan Yang, Tong Wang","doi":"10.1186/s12874-025-02673-4","DOIUrl":null,"url":null,"abstract":"<p><strong>Background: </strong>In environmental epidemiology and many other fields, estimating the causal effects of multiple concurrent exposures holds great promise for driving public health interventions and policy changes. Given the predominant reliance on observational data, confounding remains a key consideration, and generalized propensity score (GPS) methods are widely used as causal models to control measured confounders. However, current GPS methods for multiple continuous exposures remain scarce.</p><p><strong>Methods: </strong>We proposed a novel causal model for exposure mixtures, called nonparametric multivariate covariate balancing generalized propensity score (npmvCBGPS). A simulation study examined whether npmvCBGPS, an existing multivariate GPS (mvGPS) method, and a linear regression model for the outcome can accurately and precisely estimate the effects of exposure mixtures in a variety of common scenarios. An application study illustrated the analysis of the causal role of per- and polyfluoroalkyl substances (PFASs) on BMI.</p><p><strong>Results: </strong>The npmvCBGPS achieved acceptable covariate balance in all scenarios. The estimates were close to the true value as long as either the exposure or the outcome model was correctly specified, and the results were less impacted by correlations among mixture components. The accuracy and precision of mvGPS and the linear regression model relied on the correctly specified exposure model and outcome model, respectively. The npmvCBGPS outperformed mvGPS in all scenarios. The npmvCBGPS achieved better covariate balance than mvGPS and provided an overall inverse trend between the PFAS mixtures with BMI.</p><p><strong>Conclusions: </strong>In this study, we proposed npmvCBGPS to accurately estimate the causal effects of multiple exposure mixtures on health outcomes. Our approach is applicable across various domains, with a particular emphasis on environmental epidemiology.</p>","PeriodicalId":9114,"journal":{"name":"BMC Medical Research Methodology","volume":"25 1","pages":"221"},"PeriodicalIF":3.4000,"publicationDate":"2025-09-29","publicationTypes":"Journal Article","fieldsOfStudy":null,"isOpenAccess":false,"openAccessPdf":"https://www.ncbi.nlm.nih.gov/pmc/articles/PMC12482879/pdf/","citationCount":"0","resultStr":"{\"title\":\"Estimating the causal effects of exposure mixtures: a generalized propensity score method.\",\"authors\":\"Qian Gao, Ting Li, Guiming Zhu, Juping Wang, Kexin Qiu, Liangpo Liu, Xiujuan Yang, Tong Wang\",\"doi\":\"10.1186/s12874-025-02673-4\",\"DOIUrl\":null,\"url\":null,\"abstract\":\"<p><strong>Background: </strong>In environmental epidemiology and many other fields, estimating the causal effects of multiple concurrent exposures holds great promise for driving public health interventions and policy changes. Given the predominant reliance on observational data, confounding remains a key consideration, and generalized propensity score (GPS) methods are widely used as causal models to control measured confounders. However, current GPS methods for multiple continuous exposures remain scarce.</p><p><strong>Methods: </strong>We proposed a novel causal model for exposure mixtures, called nonparametric multivariate covariate balancing generalized propensity score (npmvCBGPS). A simulation study examined whether npmvCBGPS, an existing multivariate GPS (mvGPS) method, and a linear regression model for the outcome can accurately and precisely estimate the effects of exposure mixtures in a variety of common scenarios. An application study illustrated the analysis of the causal role of per- and polyfluoroalkyl substances (PFASs) on BMI.</p><p><strong>Results: </strong>The npmvCBGPS achieved acceptable covariate balance in all scenarios. The estimates were close to the true value as long as either the exposure or the outcome model was correctly specified, and the results were less impacted by correlations among mixture components. The accuracy and precision of mvGPS and the linear regression model relied on the correctly specified exposure model and outcome model, respectively. The npmvCBGPS outperformed mvGPS in all scenarios. The npmvCBGPS achieved better covariate balance than mvGPS and provided an overall inverse trend between the PFAS mixtures with BMI.</p><p><strong>Conclusions: </strong>In this study, we proposed npmvCBGPS to accurately estimate the causal effects of multiple exposure mixtures on health outcomes. Our approach is applicable across various domains, with a particular emphasis on environmental epidemiology.</p>\",\"PeriodicalId\":9114,\"journal\":{\"name\":\"BMC Medical Research Methodology\",\"volume\":\"25 1\",\"pages\":\"221\"},\"PeriodicalIF\":3.4000,\"publicationDate\":\"2025-09-29\",\"publicationTypes\":\"Journal Article\",\"fieldsOfStudy\":null,\"isOpenAccess\":false,\"openAccessPdf\":\"https://www.ncbi.nlm.nih.gov/pmc/articles/PMC12482879/pdf/\",\"citationCount\":\"0\",\"resultStr\":null,\"platform\":\"Semanticscholar\",\"paperid\":null,\"PeriodicalName\":\"BMC Medical Research Methodology\",\"FirstCategoryId\":\"3\",\"ListUrlMain\":\"https://doi.org/10.1186/s12874-025-02673-4\",\"RegionNum\":3,\"RegionCategory\":\"医学\",\"ArticlePicture\":[],\"TitleCN\":null,\"AbstractTextCN\":null,\"PMCID\":null,\"EPubDate\":\"\",\"PubModel\":\"\",\"JCR\":\"Q1\",\"JCRName\":\"HEALTH CARE SCIENCES & SERVICES\",\"Score\":null,\"Total\":0}","platform":"Semanticscholar","paperid":null,"PeriodicalName":"BMC Medical Research Methodology","FirstCategoryId":"3","ListUrlMain":"https://doi.org/10.1186/s12874-025-02673-4","RegionNum":3,"RegionCategory":"医学","ArticlePicture":[],"TitleCN":null,"AbstractTextCN":null,"PMCID":null,"EPubDate":"","PubModel":"","JCR":"Q1","JCRName":"HEALTH CARE SCIENCES & SERVICES","Score":null,"Total":0}
引用次数: 0

摘要

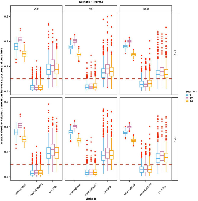
背景:在环境流行病学和许多其他领域,估计多重同时暴露的因果效应对推动公共卫生干预和政策变化具有很大的希望。由于主要依赖于观测数据,混淆仍然是一个关键的考虑因素,广义倾向评分(GPS)方法被广泛用作控制测量混杂因素的因果模型。然而,目前用于多次连续曝光的GPS方法仍然很少。方法:我们提出了一种新的暴露混合物因果模型,称为非参数多元协变量平衡广义倾向评分(npmvCBGPS)。一项模拟研究检验了npmvCBGPS、现有的多变量GPS (mvGPS)方法和结果的线性回归模型是否能够准确和精确地估计各种常见情景下暴露混合物的影响。应用研究分析了全氟烷基和多氟烷基物质(PFASs)对BMI的因果作用。结果:npmvCBGPS在所有情况下均达到了可接受的协变量平衡。只要暴露量或结果模型被正确指定,估计值就接近真实值,并且结果受混合成分之间相关性的影响较小。mvGPS和线性回归模型的准确度和精度分别依赖于正确指定的暴露模型和结局模型。npmvCBGPS在所有场景下都优于mvGPS。npmvCBGPS比mvGPS实现了更好的协变量平衡,并提供了PFAS混合物与BMI之间的总体反向趋势。结论:在本研究中,我们提出了npmvCBGPS来准确估计多重暴露混合物对健康结果的因果影响。我们的方法适用于各个领域,特别强调环境流行病学。
本文章由计算机程序翻译,如有差异,请以英文原文为准。

Estimating the causal effects of exposure mixtures: a generalized propensity score method.

Estimating the causal effects of exposure mixtures: a generalized propensity score method.

Estimating the causal effects of exposure mixtures: a generalized propensity score method.

Estimating the causal effects of exposure mixtures: a generalized propensity score method.

Background: In environmental epidemiology and many other fields, estimating the causal effects of multiple concurrent exposures holds great promise for driving public health interventions and policy changes. Given the predominant reliance on observational data, confounding remains a key consideration, and generalized propensity score (GPS) methods are widely used as causal models to control measured confounders. However, current GPS methods for multiple continuous exposures remain scarce.

Methods: We proposed a novel causal model for exposure mixtures, called nonparametric multivariate covariate balancing generalized propensity score (npmvCBGPS). A simulation study examined whether npmvCBGPS, an existing multivariate GPS (mvGPS) method, and a linear regression model for the outcome can accurately and precisely estimate the effects of exposure mixtures in a variety of common scenarios. An application study illustrated the analysis of the causal role of per- and polyfluoroalkyl substances (PFASs) on BMI.

Results: The npmvCBGPS achieved acceptable covariate balance in all scenarios. The estimates were close to the true value as long as either the exposure or the outcome model was correctly specified, and the results were less impacted by correlations among mixture components. The accuracy and precision of mvGPS and the linear regression model relied on the correctly specified exposure model and outcome model, respectively. The npmvCBGPS outperformed mvGPS in all scenarios. The npmvCBGPS achieved better covariate balance than mvGPS and provided an overall inverse trend between the PFAS mixtures with BMI.

Conclusions: In this study, we proposed npmvCBGPS to accurately estimate the causal effects of multiple exposure mixtures on health outcomes. Our approach is applicable across various domains, with a particular emphasis on environmental epidemiology.

求助全文
通过发布文献求助,成功后即可免费获取论文全文。 去求助
来源期刊
BMC Medical Research Methodology
BMC Medical Research Methodology 医学-卫生保健
CiteScore
6.50
自引率
2.50%
发文量
298
审稿时长
3-8 weeks
期刊介绍: BMC Medical Research Methodology is an open access journal publishing original peer-reviewed research articles in methodological approaches to healthcare research. Articles on the methodology of epidemiological research, clinical trials and meta-analysis/systematic review are particularly encouraged, as are empirical studies of the associations between choice of methodology and study outcomes. BMC Medical Research Methodology does not aim to publish articles describing scientific methods or techniques: these should be directed to the BMC journal covering the relevant biomedical subject area.
×
引用
GB/T 7714-2015
复制
MLA
复制
APA
复制
导出至
BibTeX EndNote RefMan NoteFirst NoteExpress
×
提示
您的信息不完整,为了账户安全,请先补充。
现在去补充
×
提示
您因"违规操作"
具体请查看互助需知
我知道了
×
提示
确定
请完成安全验证×
copy
已复制链接
快去分享给好友吧!
我知道了
右上角分享
点击右上角分享
0
联系我们:info@booksci.cn Book学术提供免费学术资源搜索服务,方便国内外学者检索中英文文献。致力于提供最便捷和优质的服务体验。 Copyright © 2023 布克学术 All rights reserved.
京ICP备2023020795号-1
ghs 京公网安备 11010802042870号
Book学术文献互助
Book学术文献互助群
群 号:604180095
Book学术官方微信