直接口服抗凝剂治疗高龄和高出血风险心房颤动患者,经常被排除在口服抗凝治疗之外:一项基于全国人群的队列研究

IF 7.4 1区 医学 Q1 CARDIAC & CARDIOVASCULAR SYSTEMS
Europace Pub Date : 2025-10-07 DOI:10.1093/europace/euaf230
Young-Hae Go, So-Ryoung Lee, Eue-Keun Choi, Hyo-Jeong Ahn, Kyung-Do Han, Seil Oh, Gregory Y H Lip
{"title":"直接口服抗凝剂治疗高龄和高出血风险心房颤动患者,经常被排除在口服抗凝治疗之外:一项基于全国人群的队列研究","authors":"Young-Hae Go, So-Ryoung Lee, Eue-Keun Choi, Hyo-Jeong Ahn, Kyung-Do Han, Seil Oh, Gregory Y H Lip","doi":"10.1093/europace/euaf230","DOIUrl":null,"url":null,"abstract":"<p><strong>Aims: </strong>In the Edoxaban Low-Dose for Elder Care Atrial Fibrillation Patients (ELDERCARE-AF) trial, very low-dose edoxaban (15 mg once daily) showed better efficacy and positive net clinical benefit compared with placebo in very elderly, high-bleeding-risk patients with atrial fibrillation (AF). However, there are limited data to generalize these results into daily practice. We aimed to investigate the optimal oral anticoagulant (OAC) strategy for the best net clinical benefit in ELDERCARE-AF-like patients.</p><p><strong>Methods and results: </strong>We used the Korean nationwide claims database to identify AF patients aged ≥80 years from 2014 to 2017 who had one or more ELDERCARE-AF trial inclusion criteria. The risks of ischaemic stroke, major bleeding, all-cause death, and net clinical outcome were evaluated. Primarily, we compared patients without OAC therapy (non-OAC group) to patients with direct OAC (DOAC) therapy (DOAC group), using a propensity score weighting method. A total of 23 858 patients were included (no OAC: 16 575; warfarin: 2390; DOAC: 4893). Among the DOAC group, 69% used low dose, and 9% used very low dose. Compared with the non-OAC group, the DOAC group showed lower risks of ischaemic stroke (hazard ratio, 95% confidence interval: 0.81, 0.68-0.96) and all-cause death (0.91, 0.86-0.96) and a higher risk of major bleeding (1.44, 1.21-1.70). The DOAC group was associated with a lower risk of net clinical outcome compared with the non-OAC group (0.93, 0.88-0.98).</p><p><strong>Conclusion: </strong>In very elderly, high-bleeding-risk patients with AF, DOACs that were prescribed in usual clinical practice showed better effectiveness and positive net clinical benefit compared with no OAC treatment.</p>","PeriodicalId":11981,"journal":{"name":"Europace","volume":" ","pages":""},"PeriodicalIF":7.4000,"publicationDate":"2025-10-07","publicationTypes":"Journal Article","fieldsOfStudy":null,"isOpenAccess":false,"openAccessPdf":"https://www.ncbi.nlm.nih.gov/pmc/articles/PMC12510312/pdf/","citationCount":"0","resultStr":"{\"title\":\"Direct oral anticoagulants in very elderly and high-bleeding-risk patients with atrial fibrillation often excluded from oral anticoagulation therapy: a nationwide population-based cohort study.\",\"authors\":\"Young-Hae Go, So-Ryoung Lee, Eue-Keun Choi, Hyo-Jeong Ahn, Kyung-Do Han, Seil Oh, Gregory Y H Lip\",\"doi\":\"10.1093/europace/euaf230\",\"DOIUrl\":null,\"url\":null,\"abstract\":\"<p><strong>Aims: </strong>In the Edoxaban Low-Dose for Elder Care Atrial Fibrillation Patients (ELDERCARE-AF) trial, very low-dose edoxaban (15 mg once daily) showed better efficacy and positive net clinical benefit compared with placebo in very elderly, high-bleeding-risk patients with atrial fibrillation (AF). However, there are limited data to generalize these results into daily practice. We aimed to investigate the optimal oral anticoagulant (OAC) strategy for the best net clinical benefit in ELDERCARE-AF-like patients.</p><p><strong>Methods and results: </strong>We used the Korean nationwide claims database to identify AF patients aged ≥80 years from 2014 to 2017 who had one or more ELDERCARE-AF trial inclusion criteria. The risks of ischaemic stroke, major bleeding, all-cause death, and net clinical outcome were evaluated. Primarily, we compared patients without OAC therapy (non-OAC group) to patients with direct OAC (DOAC) therapy (DOAC group), using a propensity score weighting method. A total of 23 858 patients were included (no OAC: 16 575; warfarin: 2390; DOAC: 4893). Among the DOAC group, 69% used low dose, and 9% used very low dose. Compared with the non-OAC group, the DOAC group showed lower risks of ischaemic stroke (hazard ratio, 95% confidence interval: 0.81, 0.68-0.96) and all-cause death (0.91, 0.86-0.96) and a higher risk of major bleeding (1.44, 1.21-1.70). The DOAC group was associated with a lower risk of net clinical outcome compared with the non-OAC group (0.93, 0.88-0.98).</p><p><strong>Conclusion: </strong>In very elderly, high-bleeding-risk patients with AF, DOACs that were prescribed in usual clinical practice showed better effectiveness and positive net clinical benefit compared with no OAC treatment.</p>\",\"PeriodicalId\":11981,\"journal\":{\"name\":\"Europace\",\"volume\":\" \",\"pages\":\"\"},\"PeriodicalIF\":7.4000,\"publicationDate\":\"2025-10-07\",\"publicationTypes\":\"Journal Article\",\"fieldsOfStudy\":null,\"isOpenAccess\":false,\"openAccessPdf\":\"https://www.ncbi.nlm.nih.gov/pmc/articles/PMC12510312/pdf/\",\"citationCount\":\"0\",\"resultStr\":null,\"platform\":\"Semanticscholar\",\"paperid\":null,\"PeriodicalName\":\"Europace\",\"FirstCategoryId\":\"3\",\"ListUrlMain\":\"https://doi.org/10.1093/europace/euaf230\",\"RegionNum\":1,\"RegionCategory\":\"医学\",\"ArticlePicture\":[],\"TitleCN\":null,\"AbstractTextCN\":null,\"PMCID\":null,\"EPubDate\":\"\",\"PubModel\":\"\",\"JCR\":\"Q1\",\"JCRName\":\"CARDIAC & CARDIOVASCULAR SYSTEMS\",\"Score\":null,\"Total\":0}","platform":"Semanticscholar","paperid":null,"PeriodicalName":"Europace","FirstCategoryId":"3","ListUrlMain":"https://doi.org/10.1093/europace/euaf230","RegionNum":1,"RegionCategory":"医学","ArticlePicture":[],"TitleCN":null,"AbstractTextCN":null,"PMCID":null,"EPubDate":"","PubModel":"","JCR":"Q1","JCRName":"CARDIAC & CARDIOVASCULAR SYSTEMS","Score":null,"Total":0}
引用次数: 0

摘要

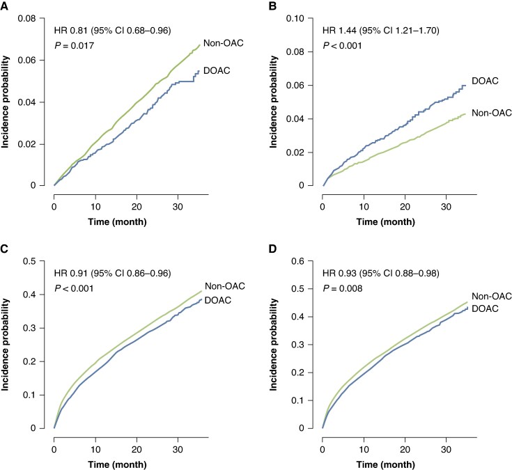
背景和目的:在低剂量依多沙班治疗老年房颤患者(ELDERCARE-AF)试验中,与安慰剂相比,极低剂量依多沙班(15 mg每日1次)在高龄、高出血风险房颤(AF)患者中表现出更好的疗效和正临床净获益。然而,将这些结果推广到日常实践中的数据有限。我们的目的是研究在eldercare - af样患者中获得最佳净临床效益的最佳OAC策略。方法:我们使用韩国全国索赔数据库来识别2014年至2017年年龄≥80岁的AF患者,这些患者具有一个或多个ELDERCARE-AF试验纳入标准。评估缺血性卒中、大出血、全因死亡和净临床结果的风险。首先,我们使用倾向评分加权法比较未接受OAC治疗的患者(非OAC组)和直接口服抗凝剂的患者(DOAC组)。结果:共纳入23,858例患者(无OAC: 16,575例;华法林:2,390例;DOAC: 4,893例)。DOAC组69%使用低剂量,9%使用极低剂量。与非oac组相比,DOAC组缺血性卒中风险(风险比,95%可信区间:0.81,0.68-0.96)和全因死亡风险(0.91,0.86-0.96)较低,大出血风险较高(1.44,1.21-1.70)。与非oac组相比,DOAC组的净临床结果风险较低(0.93,0.88-0.98)。结论:在高龄、出血风险高的房颤患者中,常规临床应用doac治疗比不应用OAC治疗具有更好的疗效和正临床净获益。
本文章由计算机程序翻译,如有差异,请以英文原文为准。

Direct oral anticoagulants in very elderly and high-bleeding-risk patients with atrial fibrillation often excluded from oral anticoagulation therapy: a nationwide population-based cohort study.

Direct oral anticoagulants in very elderly and high-bleeding-risk patients with atrial fibrillation often excluded from oral anticoagulation therapy: a nationwide population-based cohort study.

Direct oral anticoagulants in very elderly and high-bleeding-risk patients with atrial fibrillation often excluded from oral anticoagulation therapy: a nationwide population-based cohort study.

Direct oral anticoagulants in very elderly and high-bleeding-risk patients with atrial fibrillation often excluded from oral anticoagulation therapy: a nationwide population-based cohort study.

Aims: In the Edoxaban Low-Dose for Elder Care Atrial Fibrillation Patients (ELDERCARE-AF) trial, very low-dose edoxaban (15 mg once daily) showed better efficacy and positive net clinical benefit compared with placebo in very elderly, high-bleeding-risk patients with atrial fibrillation (AF). However, there are limited data to generalize these results into daily practice. We aimed to investigate the optimal oral anticoagulant (OAC) strategy for the best net clinical benefit in ELDERCARE-AF-like patients.

Methods and results: We used the Korean nationwide claims database to identify AF patients aged ≥80 years from 2014 to 2017 who had one or more ELDERCARE-AF trial inclusion criteria. The risks of ischaemic stroke, major bleeding, all-cause death, and net clinical outcome were evaluated. Primarily, we compared patients without OAC therapy (non-OAC group) to patients with direct OAC (DOAC) therapy (DOAC group), using a propensity score weighting method. A total of 23 858 patients were included (no OAC: 16 575; warfarin: 2390; DOAC: 4893). Among the DOAC group, 69% used low dose, and 9% used very low dose. Compared with the non-OAC group, the DOAC group showed lower risks of ischaemic stroke (hazard ratio, 95% confidence interval: 0.81, 0.68-0.96) and all-cause death (0.91, 0.86-0.96) and a higher risk of major bleeding (1.44, 1.21-1.70). The DOAC group was associated with a lower risk of net clinical outcome compared with the non-OAC group (0.93, 0.88-0.98).

Conclusion: In very elderly, high-bleeding-risk patients with AF, DOACs that were prescribed in usual clinical practice showed better effectiveness and positive net clinical benefit compared with no OAC treatment.

求助全文
通过发布文献求助,成功后即可免费获取论文全文。 去求助
来源期刊
Europace
Europace 医学-心血管系统
CiteScore
10.30
自引率
8.20%
发文量
851
审稿时长
3-6 weeks
期刊介绍: EP - Europace - European Journal of Pacing, Arrhythmias and Cardiac Electrophysiology of the European Heart Rhythm Association of the European Society of Cardiology. The journal aims to provide an avenue of communication of top quality European and international original scientific work and reviews in the fields of Arrhythmias, Pacing and Cellular Electrophysiology. The Journal offers the reader a collection of contemporary original peer-reviewed papers, invited papers and editorial comments together with book reviews and correspondence.
×
引用
GB/T 7714-2015
复制
MLA
复制
APA
复制
导出至
BibTeX EndNote RefMan NoteFirst NoteExpress
×
提示
您的信息不完整,为了账户安全,请先补充。
现在去补充
×
提示
您因"违规操作"
具体请查看互助需知
我知道了
×
提示
确定
请完成安全验证×
copy
已复制链接
快去分享给好友吧!
我知道了
右上角分享
点击右上角分享
0
联系我们:info@booksci.cn Book学术提供免费学术资源搜索服务,方便国内外学者检索中英文文献。致力于提供最便捷和优质的服务体验。 Copyright © 2023 布克学术 All rights reserved.
京ICP备2023020795号-1
ghs 京公网安备 11010802042870号
Book学术文献互助
Book学术文献互助群
群 号:604180095
Book学术官方微信