利用酶介导双指数扩增技术对板栗疫病病原菌进行田间部署检测。

IF 3 3区 生物学 Q3 BIOCHEMISTRY & MOLECULAR BIOLOGY
Shuai Wang, Zhongwei Feng, Yiming Liu, Changyun Tang, Kai Guo, Jiafu Hu
{"title":"利用酶介导双指数扩增技术对板栗疫病病原菌进行田间部署检测。","authors":"Shuai Wang, Zhongwei Feng, Yiming Liu, Changyun Tang, Kai Guo, Jiafu Hu","doi":"10.3390/cimb47090762","DOIUrl":null,"url":null,"abstract":"<p><p>Chestnut blight caused by <i>Cryphonectria parasitica</i> poses a major threat to chestnut plantations worldwide. Rapid, field-deployable diagnostic tools are essential for effective disease surveillance and management. Here, we developed and validated an enzyme-mediated duplex exponential amplification (EmDEA) assay for the specific and sensitive detection of <i>C. parasitica</i>. The assay successfully distinguished <i>C. parasitica</i> from non-target fungal species with a detection limit of 10 pg of genomic DNA per reaction. Application to naturally infected bark samples yielded results consistent with those of conventional qPCR. The complete workflow, including crude DNA extraction and fluorescence-based detection under isothermal conditions, was completed within 35 min. Our findings demonstrate that the EmDEA assay is a sensitive, robust, and field-adaptable tool that can be used for the early detection of chestnut blight, with significant potential for deployment in resource-limited environments.</p>","PeriodicalId":10839,"journal":{"name":"Current Issues in Molecular Biology","volume":"47 9","pages":""},"PeriodicalIF":3.0000,"publicationDate":"2025-09-15","publicationTypes":"Journal Article","fieldsOfStudy":null,"isOpenAccess":false,"openAccessPdf":"https://www.ncbi.nlm.nih.gov/pmc/articles/PMC12468968/pdf/","citationCount":"0","resultStr":"{\"title\":\"Field-Deployable Detection of Chestnut Blight Pathogen <i>Cryphonectria parasitica</i> Using Enzyme-Mediated Duplex Exponential Amplification.\",\"authors\":\"Shuai Wang, Zhongwei Feng, Yiming Liu, Changyun Tang, Kai Guo, Jiafu Hu\",\"doi\":\"10.3390/cimb47090762\",\"DOIUrl\":null,\"url\":null,\"abstract\":\"<p><p>Chestnut blight caused by <i>Cryphonectria parasitica</i> poses a major threat to chestnut plantations worldwide. Rapid, field-deployable diagnostic tools are essential for effective disease surveillance and management. Here, we developed and validated an enzyme-mediated duplex exponential amplification (EmDEA) assay for the specific and sensitive detection of <i>C. parasitica</i>. The assay successfully distinguished <i>C. parasitica</i> from non-target fungal species with a detection limit of 10 pg of genomic DNA per reaction. Application to naturally infected bark samples yielded results consistent with those of conventional qPCR. The complete workflow, including crude DNA extraction and fluorescence-based detection under isothermal conditions, was completed within 35 min. Our findings demonstrate that the EmDEA assay is a sensitive, robust, and field-adaptable tool that can be used for the early detection of chestnut blight, with significant potential for deployment in resource-limited environments.</p>\",\"PeriodicalId\":10839,\"journal\":{\"name\":\"Current Issues in Molecular Biology\",\"volume\":\"47 9\",\"pages\":\"\"},\"PeriodicalIF\":3.0000,\"publicationDate\":\"2025-09-15\",\"publicationTypes\":\"Journal Article\",\"fieldsOfStudy\":null,\"isOpenAccess\":false,\"openAccessPdf\":\"https://www.ncbi.nlm.nih.gov/pmc/articles/PMC12468968/pdf/\",\"citationCount\":\"0\",\"resultStr\":null,\"platform\":\"Semanticscholar\",\"paperid\":null,\"PeriodicalName\":\"Current Issues in Molecular Biology\",\"FirstCategoryId\":\"99\",\"ListUrlMain\":\"https://doi.org/10.3390/cimb47090762\",\"RegionNum\":3,\"RegionCategory\":\"生物学\",\"ArticlePicture\":[],\"TitleCN\":null,\"AbstractTextCN\":null,\"PMCID\":null,\"EPubDate\":\"\",\"PubModel\":\"\",\"JCR\":\"Q3\",\"JCRName\":\"BIOCHEMISTRY & MOLECULAR BIOLOGY\",\"Score\":null,\"Total\":0}","platform":"Semanticscholar","paperid":null,"PeriodicalName":"Current Issues in Molecular Biology","FirstCategoryId":"99","ListUrlMain":"https://doi.org/10.3390/cimb47090762","RegionNum":3,"RegionCategory":"生物学","ArticlePicture":[],"TitleCN":null,"AbstractTextCN":null,"PMCID":null,"EPubDate":"","PubModel":"","JCR":"Q3","JCRName":"BIOCHEMISTRY & MOLECULAR BIOLOGY","Score":null,"Total":0}
引用次数: 0

摘要

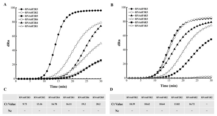
板栗疫病是世界范围内板栗种植园的一大威胁。快速、可在现场部署的诊断工具对于有效的疾病监测和管理至关重要。在此,我们建立并验证了一种酶介导双指数扩增(EmDEA)方法,该方法具有特异性和敏感性。该实验成功地将寄生线虫与非目标真菌区分开来,每次反应的基因组DNA检测限为10 pg。应用于自然感染树皮样品产生的结果与传统的qPCR一致。整个工作流程,包括粗DNA提取和等温条件下的荧光检测,在35分钟内完成。我们的研究结果表明,EmDEA检测是一种敏感、稳健、具有现场适应性的工具,可用于板栗疫病的早期检测,在资源有限的环境中具有巨大的应用潜力。
本文章由计算机程序翻译,如有差异,请以英文原文为准。

Field-Deployable Detection of Chestnut Blight Pathogen <i>Cryphonectria parasitica</i> Using Enzyme-Mediated Duplex Exponential Amplification.

Field-Deployable Detection of Chestnut Blight Pathogen <i>Cryphonectria parasitica</i> Using Enzyme-Mediated Duplex Exponential Amplification.

Field-Deployable Detection of Chestnut Blight Pathogen <i>Cryphonectria parasitica</i> Using Enzyme-Mediated Duplex Exponential Amplification.

Field-Deployable Detection of Chestnut Blight Pathogen Cryphonectria parasitica Using Enzyme-Mediated Duplex Exponential Amplification.

Chestnut blight caused by Cryphonectria parasitica poses a major threat to chestnut plantations worldwide. Rapid, field-deployable diagnostic tools are essential for effective disease surveillance and management. Here, we developed and validated an enzyme-mediated duplex exponential amplification (EmDEA) assay for the specific and sensitive detection of C. parasitica. The assay successfully distinguished C. parasitica from non-target fungal species with a detection limit of 10 pg of genomic DNA per reaction. Application to naturally infected bark samples yielded results consistent with those of conventional qPCR. The complete workflow, including crude DNA extraction and fluorescence-based detection under isothermal conditions, was completed within 35 min. Our findings demonstrate that the EmDEA assay is a sensitive, robust, and field-adaptable tool that can be used for the early detection of chestnut blight, with significant potential for deployment in resource-limited environments.

求助全文
通过发布文献求助,成功后即可免费获取论文全文。 去求助
来源期刊
Current Issues in Molecular Biology
Current Issues in Molecular Biology 生物-生化研究方法
CiteScore
2.90
自引率
3.20%
发文量
380
审稿时长
>12 weeks
期刊介绍: Current Issues in Molecular Biology (CIMB) is a peer-reviewed journal publishing review articles and minireviews in all areas of molecular biology and microbiology. Submitted articles are subject to an Article Processing Charge (APC) and are open access immediately upon publication. All manuscripts undergo a peer-review process.
×
引用
GB/T 7714-2015
复制
MLA
复制
APA
复制
导出至
BibTeX EndNote RefMan NoteFirst NoteExpress
×
提示
您的信息不完整,为了账户安全,请先补充。
现在去补充
×
提示
您因"违规操作"
具体请查看互助需知
我知道了
×
提示
确定
请完成安全验证×
copy
已复制链接
快去分享给好友吧!
我知道了
右上角分享
点击右上角分享
0
联系我们:info@booksci.cn Book学术提供免费学术资源搜索服务,方便国内外学者检索中英文文献。致力于提供最便捷和优质的服务体验。 Copyright © 2023 布克学术 All rights reserved.
京ICP备2023020795号-1
ghs 京公网安备 11010802042870号
Book学术文献互助
Book学术文献互助群
群 号:604180095
Book学术官方微信