阿尔及利亚蜂胶的比较分子特征和生物活性分析:抗氧化、抗菌活性和NRF2-KEAP1通路的硅调控。

IF 3 3区 生物学 Q3 BIOCHEMISTRY & MOLECULAR BIOLOGY
Amel Reguig, Ahmed Messai, Ibtissam Kahina Bedaida, Diana C G A Pinto, Chawki Bensouici, Abdelmoneim Tarek Ouamane, Artur M S Silva, Jean-Philippe Roy
{"title":"阿尔及利亚蜂胶的比较分子特征和生物活性分析:抗氧化、抗菌活性和NRF2-KEAP1通路的硅调控。","authors":"Amel Reguig, Ahmed Messai, Ibtissam Kahina Bedaida, Diana C G A Pinto, Chawki Bensouici, Abdelmoneim Tarek Ouamane, Artur M S Silva, Jean-Philippe Roy","doi":"10.3390/cimb47090761","DOIUrl":null,"url":null,"abstract":"<p><p>Propolis, a natural bee-derived product rich in diverse phytochemicals with potential therapeutic benefits, remains underexplored in Algeria. This study investigated the molecular profile, antioxidant capacity, and antibacterial activity of propolis sourced from two bioclimatically distinct Algerian regions (humid subtropical Batna and hot desert Biskra) using electrospray ionization mass spectrometry, ultra-high-performance liquid chromatography with diode array detection, and gas chromatography-mass spectrometry. Significant regional variations were observed, with propolis extract 2 (PE2) exhibiting a higher bioactive content, including a constituent not previously reported in propolis. Antioxidant assays (2,2-diphenyl-1-picrylhydrazyl, 2,2'-azino-bis (3-ethylbenzothiazoline-6-sulfonic acid), ferric reducing antioxidant power, and phenanthroline) demonstrated that PE2 consistently outperformed propolis extract 1 and the reference standards (DPPH IC<sub>50</sub>: 27.74 µg/mL; FRAP: 5.16 µg/mL). Antibacterial testing demonstrated potent bactericidal effects, particularly for PE2, with minimum inhibitory concentration values equivalent to the minimum bactericidal concentrations required against <i>Staphylococcus aureus</i> ATCC 25923 (18.75 µg/mL) and <i>Escherichia coli</i> ATCC 25922 (133 µg/mL). Molecular docking identified nine bioactive compounds with high KEAP1 binding affinity, with 1,3-<i>O</i>-caffeoyl-dihydrocaffeoylglycerol (first time reported in propolis) showing the strongest binding affinity (-11.02 Kcal/mol). In silico pharmacokinetic predictions further verified its drug-like properties. These findings suggest the tested Algerian propolis samples, as a source of natural alternative antioxidants and antimicrobials, provide a basis for future research in drug discovery and development.</p>","PeriodicalId":10839,"journal":{"name":"Current Issues in Molecular Biology","volume":"47 9","pages":""},"PeriodicalIF":3.0000,"publicationDate":"2025-09-15","publicationTypes":"Journal Article","fieldsOfStudy":null,"isOpenAccess":false,"openAccessPdf":"https://www.ncbi.nlm.nih.gov/pmc/articles/PMC12468889/pdf/","citationCount":"0","resultStr":"{\"title\":\"Comparative Molecular Profiling and Bioactivity Analysis of Algerian Propolis: Antioxidant, Antibacterial Activities, and In Silico NRF2-KEAP1 Pathway Modulation.\",\"authors\":\"Amel Reguig, Ahmed Messai, Ibtissam Kahina Bedaida, Diana C G A Pinto, Chawki Bensouici, Abdelmoneim Tarek Ouamane, Artur M S Silva, Jean-Philippe Roy\",\"doi\":\"10.3390/cimb47090761\",\"DOIUrl\":null,\"url\":null,\"abstract\":\"<p><p>Propolis, a natural bee-derived product rich in diverse phytochemicals with potential therapeutic benefits, remains underexplored in Algeria. This study investigated the molecular profile, antioxidant capacity, and antibacterial activity of propolis sourced from two bioclimatically distinct Algerian regions (humid subtropical Batna and hot desert Biskra) using electrospray ionization mass spectrometry, ultra-high-performance liquid chromatography with diode array detection, and gas chromatography-mass spectrometry. Significant regional variations were observed, with propolis extract 2 (PE2) exhibiting a higher bioactive content, including a constituent not previously reported in propolis. Antioxidant assays (2,2-diphenyl-1-picrylhydrazyl, 2,2'-azino-bis (3-ethylbenzothiazoline-6-sulfonic acid), ferric reducing antioxidant power, and phenanthroline) demonstrated that PE2 consistently outperformed propolis extract 1 and the reference standards (DPPH IC<sub>50</sub>: 27.74 µg/mL; FRAP: 5.16 µg/mL). Antibacterial testing demonstrated potent bactericidal effects, particularly for PE2, with minimum inhibitory concentration values equivalent to the minimum bactericidal concentrations required against <i>Staphylococcus aureus</i> ATCC 25923 (18.75 µg/mL) and <i>Escherichia coli</i> ATCC 25922 (133 µg/mL). Molecular docking identified nine bioactive compounds with high KEAP1 binding affinity, with 1,3-<i>O</i>-caffeoyl-dihydrocaffeoylglycerol (first time reported in propolis) showing the strongest binding affinity (-11.02 Kcal/mol). In silico pharmacokinetic predictions further verified its drug-like properties. These findings suggest the tested Algerian propolis samples, as a source of natural alternative antioxidants and antimicrobials, provide a basis for future research in drug discovery and development.</p>\",\"PeriodicalId\":10839,\"journal\":{\"name\":\"Current Issues in Molecular Biology\",\"volume\":\"47 9\",\"pages\":\"\"},\"PeriodicalIF\":3.0000,\"publicationDate\":\"2025-09-15\",\"publicationTypes\":\"Journal Article\",\"fieldsOfStudy\":null,\"isOpenAccess\":false,\"openAccessPdf\":\"https://www.ncbi.nlm.nih.gov/pmc/articles/PMC12468889/pdf/\",\"citationCount\":\"0\",\"resultStr\":null,\"platform\":\"Semanticscholar\",\"paperid\":null,\"PeriodicalName\":\"Current Issues in Molecular Biology\",\"FirstCategoryId\":\"99\",\"ListUrlMain\":\"https://doi.org/10.3390/cimb47090761\",\"RegionNum\":3,\"RegionCategory\":\"生物学\",\"ArticlePicture\":[],\"TitleCN\":null,\"AbstractTextCN\":null,\"PMCID\":null,\"EPubDate\":\"\",\"PubModel\":\"\",\"JCR\":\"Q3\",\"JCRName\":\"BIOCHEMISTRY & MOLECULAR BIOLOGY\",\"Score\":null,\"Total\":0}","platform":"Semanticscholar","paperid":null,"PeriodicalName":"Current Issues in Molecular Biology","FirstCategoryId":"99","ListUrlMain":"https://doi.org/10.3390/cimb47090761","RegionNum":3,"RegionCategory":"生物学","ArticlePicture":[],"TitleCN":null,"AbstractTextCN":null,"PMCID":null,"EPubDate":"","PubModel":"","JCR":"Q3","JCRName":"BIOCHEMISTRY & MOLECULAR BIOLOGY","Score":null,"Total":0}
引用次数: 0

摘要

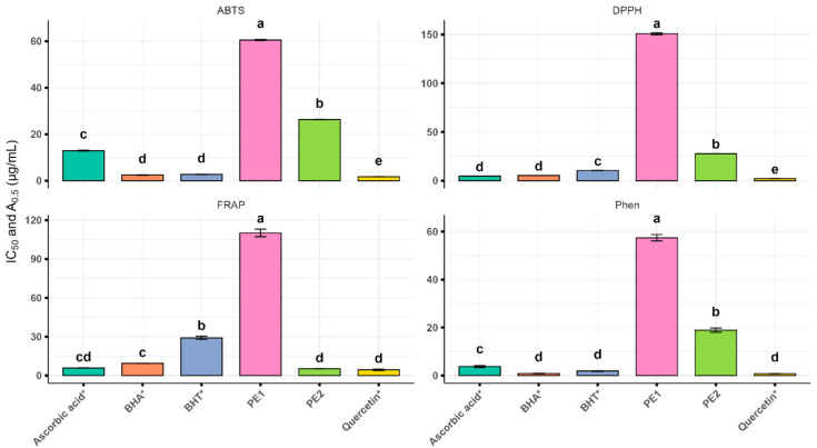
蜂胶是一种富含多种植物化学物质的天然蜜蜂衍生产品,具有潜在的治疗效益,在阿尔及利亚仍未得到充分开发。本研究利用电喷雾电离质谱法、二极管阵列检测的超高效液相色谱法和气相色谱-质谱法研究了产自阿尔及利亚两个生物气候不同地区(湿润亚热带Batna和炎热沙漠Biskra)的蜂胶的分子特征、抗氧化能力和抗菌活性。观察到显著的区域差异,蜂胶提取物2 (PE2)显示出更高的生物活性含量,包括以前未在蜂胶中报道的成分。抗氧化实验(2,2-二苯基-1-吡啶肼、2,2'-氮基-二(3-乙基苯并噻唑-6-磺酸)、铁还原抗氧化能力和菲罗啉)表明,PE2的抗氧化能力始终优于蜂胶提取物1和参考标准(DPPH IC50: 27.74µg/mL; FRAP: 5.16µg/mL)。抑菌试验证明了其有效的杀菌效果,特别是对PE2,其最低抑菌浓度值相当于对金黄色葡萄球菌ATCC 25923(18.75µg/mL)和大肠杆菌ATCC 25922(133µg/mL)所需的最低杀菌浓度。分子对接鉴定出9个具有较高KEAP1结合亲和力的生物活性化合物,其中1,3- o -咖啡酰二氢咖啡酰甘油(首次在蜂胶中报道)结合亲和力最强(-11.02 Kcal/mol)。计算机药代动力学预测进一步证实了其类药物特性。这些发现表明,阿尔及利亚蜂胶样品作为天然替代抗氧化剂和抗菌剂的来源,为未来的药物发现和开发研究提供了基础。
本文章由计算机程序翻译,如有差异,请以英文原文为准。

Comparative Molecular Profiling and Bioactivity Analysis of Algerian Propolis: Antioxidant, Antibacterial Activities, and In Silico NRF2-KEAP1 Pathway Modulation.

Comparative Molecular Profiling and Bioactivity Analysis of Algerian Propolis: Antioxidant, Antibacterial Activities, and In Silico NRF2-KEAP1 Pathway Modulation.

Comparative Molecular Profiling and Bioactivity Analysis of Algerian Propolis: Antioxidant, Antibacterial Activities, and In Silico NRF2-KEAP1 Pathway Modulation.

Comparative Molecular Profiling and Bioactivity Analysis of Algerian Propolis: Antioxidant, Antibacterial Activities, and In Silico NRF2-KEAP1 Pathway Modulation.

Propolis, a natural bee-derived product rich in diverse phytochemicals with potential therapeutic benefits, remains underexplored in Algeria. This study investigated the molecular profile, antioxidant capacity, and antibacterial activity of propolis sourced from two bioclimatically distinct Algerian regions (humid subtropical Batna and hot desert Biskra) using electrospray ionization mass spectrometry, ultra-high-performance liquid chromatography with diode array detection, and gas chromatography-mass spectrometry. Significant regional variations were observed, with propolis extract 2 (PE2) exhibiting a higher bioactive content, including a constituent not previously reported in propolis. Antioxidant assays (2,2-diphenyl-1-picrylhydrazyl, 2,2'-azino-bis (3-ethylbenzothiazoline-6-sulfonic acid), ferric reducing antioxidant power, and phenanthroline) demonstrated that PE2 consistently outperformed propolis extract 1 and the reference standards (DPPH IC50: 27.74 µg/mL; FRAP: 5.16 µg/mL). Antibacterial testing demonstrated potent bactericidal effects, particularly for PE2, with minimum inhibitory concentration values equivalent to the minimum bactericidal concentrations required against Staphylococcus aureus ATCC 25923 (18.75 µg/mL) and Escherichia coli ATCC 25922 (133 µg/mL). Molecular docking identified nine bioactive compounds with high KEAP1 binding affinity, with 1,3-O-caffeoyl-dihydrocaffeoylglycerol (first time reported in propolis) showing the strongest binding affinity (-11.02 Kcal/mol). In silico pharmacokinetic predictions further verified its drug-like properties. These findings suggest the tested Algerian propolis samples, as a source of natural alternative antioxidants and antimicrobials, provide a basis for future research in drug discovery and development.

求助全文
通过发布文献求助,成功后即可免费获取论文全文。 去求助
来源期刊
Current Issues in Molecular Biology
Current Issues in Molecular Biology 生物-生化研究方法
CiteScore
2.90
自引率
3.20%
发文量
380
审稿时长
>12 weeks
期刊介绍: Current Issues in Molecular Biology (CIMB) is a peer-reviewed journal publishing review articles and minireviews in all areas of molecular biology and microbiology. Submitted articles are subject to an Article Processing Charge (APC) and are open access immediately upon publication. All manuscripts undergo a peer-review process.
×
引用
GB/T 7714-2015
复制
MLA
复制
APA
复制
导出至
BibTeX EndNote RefMan NoteFirst NoteExpress
×
提示
您的信息不完整,为了账户安全,请先补充。
现在去补充
×
提示
您因"违规操作"
具体请查看互助需知
我知道了
×
提示
确定
请完成安全验证×
copy
已复制链接
快去分享给好友吧!
我知道了
右上角分享
点击右上角分享
0
联系我们:info@booksci.cn Book学术提供免费学术资源搜索服务,方便国内外学者检索中英文文献。致力于提供最便捷和优质的服务体验。 Copyright © 2023 布克学术 All rights reserved.
京ICP备2023020795号-1
ghs 京公网安备 11010802042870号
Book学术文献互助
Book学术文献互助群
群 号:604180095
Book学术官方微信