超越序列:预测DNA突变的物理信息机器学习框架。

IF 4.1 2区 生物学 Q2 BIOCHEMISTRY & MOLECULAR BIOLOGY
Computational and structural biotechnology journal Pub Date : 2025-09-10 eCollection Date: 2025-01-01 DOI:10.1016/j.csbj.2025.08.033
M Suárez-Villagrán, N Mitsakos, J H Miller
{"title":"超越序列:预测DNA突变的物理信息机器学习框架。","authors":"M Suárez-Villagrán, N Mitsakos, J H Miller","doi":"10.1016/j.csbj.2025.08.033","DOIUrl":null,"url":null,"abstract":"<p><p>This paper investigates how incorporating information from a quantum tight-binding model can enhance the predictive capability of machine learning models for identifying mutation-prone sites in mitochondrial DNA (mtDNA). We employ quantum Hamiltonian techniques and machine learning to explore mutations in mitochondrial DNA's hypervariable segment 1 (HVR1). This region is recognized for its high variability and is frequently used in genealogical DNA testing and research. Our approach considers the local energy associated with each base pair, as well as the interactions among electrons within the DNA chain. For this study, we analyze data from the Mitomap database. Our findings suggest that both the local ionization energies and the context-dependent nature of the base pairs significantly influence the locations of mutations within DNA. Specifically, our machine learning model can extract valuable insights when examining homopolymeric runs-regions where a single base pair repeats multiple times within a sequence.</p>","PeriodicalId":10715,"journal":{"name":"Computational and structural biotechnology journal","volume":"27 ","pages":"3985-3992"},"PeriodicalIF":4.1000,"publicationDate":"2025-09-10","publicationTypes":"Journal Article","fieldsOfStudy":null,"isOpenAccess":false,"openAccessPdf":"https://www.ncbi.nlm.nih.gov/pmc/articles/PMC12465030/pdf/","citationCount":"0","resultStr":"{\"title\":\"Beyond sequence: A physics-informed machine learning framework for predicting DNA mutations.\",\"authors\":\"M Suárez-Villagrán, N Mitsakos, J H Miller\",\"doi\":\"10.1016/j.csbj.2025.08.033\",\"DOIUrl\":null,\"url\":null,\"abstract\":\"<p><p>This paper investigates how incorporating information from a quantum tight-binding model can enhance the predictive capability of machine learning models for identifying mutation-prone sites in mitochondrial DNA (mtDNA). We employ quantum Hamiltonian techniques and machine learning to explore mutations in mitochondrial DNA's hypervariable segment 1 (HVR1). This region is recognized for its high variability and is frequently used in genealogical DNA testing and research. Our approach considers the local energy associated with each base pair, as well as the interactions among electrons within the DNA chain. For this study, we analyze data from the Mitomap database. Our findings suggest that both the local ionization energies and the context-dependent nature of the base pairs significantly influence the locations of mutations within DNA. Specifically, our machine learning model can extract valuable insights when examining homopolymeric runs-regions where a single base pair repeats multiple times within a sequence.</p>\",\"PeriodicalId\":10715,\"journal\":{\"name\":\"Computational and structural biotechnology journal\",\"volume\":\"27 \",\"pages\":\"3985-3992\"},\"PeriodicalIF\":4.1000,\"publicationDate\":\"2025-09-10\",\"publicationTypes\":\"Journal Article\",\"fieldsOfStudy\":null,\"isOpenAccess\":false,\"openAccessPdf\":\"https://www.ncbi.nlm.nih.gov/pmc/articles/PMC12465030/pdf/\",\"citationCount\":\"0\",\"resultStr\":null,\"platform\":\"Semanticscholar\",\"paperid\":null,\"PeriodicalName\":\"Computational and structural biotechnology journal\",\"FirstCategoryId\":\"99\",\"ListUrlMain\":\"https://doi.org/10.1016/j.csbj.2025.08.033\",\"RegionNum\":2,\"RegionCategory\":\"生物学\",\"ArticlePicture\":[],\"TitleCN\":null,\"AbstractTextCN\":null,\"PMCID\":null,\"EPubDate\":\"2025/1/1 0:00:00\",\"PubModel\":\"eCollection\",\"JCR\":\"Q2\",\"JCRName\":\"BIOCHEMISTRY & MOLECULAR BIOLOGY\",\"Score\":null,\"Total\":0}","platform":"Semanticscholar","paperid":null,"PeriodicalName":"Computational and structural biotechnology journal","FirstCategoryId":"99","ListUrlMain":"https://doi.org/10.1016/j.csbj.2025.08.033","RegionNum":2,"RegionCategory":"生物学","ArticlePicture":[],"TitleCN":null,"AbstractTextCN":null,"PMCID":null,"EPubDate":"2025/1/1 0:00:00","PubModel":"eCollection","JCR":"Q2","JCRName":"BIOCHEMISTRY & MOLECULAR BIOLOGY","Score":null,"Total":0}
引用次数: 0

摘要

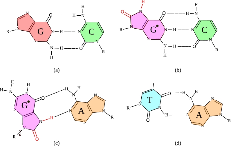
本文研究了如何结合量子紧密结合模型的信息来增强机器学习模型的预测能力,以识别线粒体DNA (mtDNA)中的突变易发位点。我们采用量子哈密顿技术和机器学习来探索线粒体DNA的高可变片段1 (HVR1)的突变。该区域因其高度可变性而被公认,并经常用于家谱DNA测试和研究。我们的方法考虑了与每个碱基对相关的局部能量,以及DNA链内电子之间的相互作用。在这项研究中,我们分析了来自Mitomap数据库的数据。我们的研究结果表明,局部电离能和碱基对的环境依赖性都显著影响DNA内突变的位置。具体来说,我们的机器学习模型可以在检查同聚体运行区域时提取有价值的见解,其中单个碱基对在序列中重复多次。
本文章由计算机程序翻译,如有差异,请以英文原文为准。

Beyond sequence: A physics-informed machine learning framework for predicting DNA mutations.

Beyond sequence: A physics-informed machine learning framework for predicting DNA mutations.

Beyond sequence: A physics-informed machine learning framework for predicting DNA mutations.

Beyond sequence: A physics-informed machine learning framework for predicting DNA mutations.

This paper investigates how incorporating information from a quantum tight-binding model can enhance the predictive capability of machine learning models for identifying mutation-prone sites in mitochondrial DNA (mtDNA). We employ quantum Hamiltonian techniques and machine learning to explore mutations in mitochondrial DNA's hypervariable segment 1 (HVR1). This region is recognized for its high variability and is frequently used in genealogical DNA testing and research. Our approach considers the local energy associated with each base pair, as well as the interactions among electrons within the DNA chain. For this study, we analyze data from the Mitomap database. Our findings suggest that both the local ionization energies and the context-dependent nature of the base pairs significantly influence the locations of mutations within DNA. Specifically, our machine learning model can extract valuable insights when examining homopolymeric runs-regions where a single base pair repeats multiple times within a sequence.

求助全文
通过发布文献求助,成功后即可免费获取论文全文。 去求助
来源期刊
Computational and structural biotechnology journal
Computational and structural biotechnology journal Biochemistry, Genetics and Molecular Biology-Biophysics
CiteScore
9.30
自引率
3.30%
发文量
540
审稿时长
6 weeks
期刊介绍: Computational and Structural Biotechnology Journal (CSBJ) is an online gold open access journal publishing research articles and reviews after full peer review. All articles are published, without barriers to access, immediately upon acceptance. The journal places a strong emphasis on functional and mechanistic understanding of how molecular components in a biological process work together through the application of computational methods. Structural data may provide such insights, but they are not a pre-requisite for publication in the journal. Specific areas of interest include, but are not limited to: Structure and function of proteins, nucleic acids and other macromolecules Structure and function of multi-component complexes Protein folding, processing and degradation Enzymology Computational and structural studies of plant systems Microbial Informatics Genomics Proteomics Metabolomics Algorithms and Hypothesis in Bioinformatics Mathematical and Theoretical Biology Computational Chemistry and Drug Discovery Microscopy and Molecular Imaging Nanotechnology Systems and Synthetic Biology
×
引用
GB/T 7714-2015
复制
MLA
复制
APA
复制
导出至
BibTeX EndNote RefMan NoteFirst NoteExpress
×
提示
您的信息不完整,为了账户安全,请先补充。
现在去补充
×
提示
您因"违规操作"
具体请查看互助需知
我知道了
×
提示
确定
请完成安全验证×
copy
已复制链接
快去分享给好友吧!
我知道了
右上角分享
点击右上角分享
0
联系我们:info@booksci.cn Book学术提供免费学术资源搜索服务,方便国内外学者检索中英文文献。致力于提供最便捷和优质的服务体验。 Copyright © 2023 布克学术 All rights reserved.
京ICP备2023020795号-1
ghs 京公网安备 11010802042870号
Book学术文献互助
Book学术文献互助群
群 号:604180095
Book学术官方微信