精神分裂症经验性阴性症状的数字治疗的可行性:一项探索性研究的结果。

IF 4.1 Q2 PSYCHIATRY
Haig Goenjian, Abhishek Pratap, Cassandra Snipes, Brendan D Hare, Joshua T Kantrowitz, Tshekedi Dennis, Wakelin McNeel, Eehwa Ung, Olya Besedina, Alankar Gupta, Tim Campellone, Mariya Petrova, Sergio Perocco, Uma Vaidyanathan, Shaheen E Lakhan, Cornelia Dorner-Ciossek
{"title":"精神分裂症经验性阴性症状的数字治疗的可行性:一项探索性研究的结果。","authors":"Haig Goenjian, Abhishek Pratap, Cassandra Snipes, Brendan D Hare, Joshua T Kantrowitz, Tshekedi Dennis, Wakelin McNeel, Eehwa Ung, Olya Besedina, Alankar Gupta, Tim Campellone, Mariya Petrova, Sergio Perocco, Uma Vaidyanathan, Shaheen E Lakhan, Cornelia Dorner-Ciossek","doi":"10.1038/s41537-025-00659-1","DOIUrl":null,"url":null,"abstract":"<p><p>Experiential negative symptoms (ENS) of schizophrenia, such as asociality, anhedonia, and avolition, are associated with poor outcomes, yet no FDA-approved pharmacotherapies currently exist specifically to target these symptoms. With the increasing use of smartphones, evidence-based digital interventions delivered by prescription digital therapeutics (DTx) may present an opportunity to address the unmet therapeutic need for ENS of schizophrenia. CT‑155/BI 3972080 (CT-155) is being developed as a smartphone-based prescription DTx for the treatment of ENS. A multicenter, 7-week, single-arm, open-label, exploratory study (NCT05486312) evaluated the engagement, adherence, potential effectiveness, acceptability, user experience, and safety of an abbreviated version of CT-155 (CT‑155 beta). Engagement and adherence with CT-155 beta were measured passively throughout the study using the study app. Change in ENS severity was assessed using the clinically administered clinical assessment interview for negative symptoms, motivation, and pleasure subscale (CAINS-MAP). Acceptability and user experience were assessed using the validated Mobile App Rating Scale (MARS) along with an episodic user experience survey, respectively. Fifty participants with a clinically confirmed schizophrenia diagnosis were enrolled; 80% were male, 58% were Black or African American, and the median (range) age was 53.5 (23-64) years. At baseline, participants' mean (SD) CAINS-MAP total score was 20.5 (8.3). Most participants (n = 43; 86%) completed the 7-week study. Participants readily engaged with CT-155 beta. Kaplan-Meier retention analysis showed that 84% of participants (N = 42/50) engaged with CT-155 beta (i.e., last app open) until the end of the study period. Daily app check-ins were completed on a median (IQR) of 43.0 (19-47) days of the 49 possible days (88%). The median (IQR) duration of engagement was 11.6 (8.1-16.1) min per session. Additionally, adherence with CT-155 was high, with participants completing a median of 18 (IQR 13-20) of the 21 therapeutic lessons available. After 7 weeks of CT-155 beta usage, the mean change in within-subject CAINS-MAP score was 3.6 points from baseline (95% CI 1.3, 5.8; p = 0.0026; baseline: 20.4 (8.6) Week 7: 16.8 (7.7)). Most participants (91%; n = 39/43) rated CT-155 beta functionality using MARS assessment as acceptable or higher, with an overall mean MARS functionality subscale score of 4.2 points out of 5 points, with 5 corresponding to \"excellent\" at Week 7. The end of study participant feedback survey showed that 95% (n = 42/44) of participants would recommend using CT-155 beta. No app-related adverse events nor severe adverse events leading to discontinuation of the study were reported. Overall, the study demonstrated the feasibility of CT-155 beta in participants with ENS of schizophrenia. Results from this feasibility study show the potential of evidence-based DTx approaches to address ENS of schizophrenia.</p>","PeriodicalId":74758,"journal":{"name":"Schizophrenia (Heidelberg, Germany)","volume":"11 1","pages":"120"},"PeriodicalIF":4.1000,"publicationDate":"2025-09-26","publicationTypes":"Journal Article","fieldsOfStudy":null,"isOpenAccess":false,"openAccessPdf":"https://www.ncbi.nlm.nih.gov/pmc/articles/PMC12475125/pdf/","citationCount":"0","resultStr":"{\"title\":\"Feasibility of a digital therapeutic for experiential negative symptoms of schizophrenia: results from an exploratory study.\",\"authors\":\"Haig Goenjian, Abhishek Pratap, Cassandra Snipes, Brendan D Hare, Joshua T Kantrowitz, Tshekedi Dennis, Wakelin McNeel, Eehwa Ung, Olya Besedina, Alankar Gupta, Tim Campellone, Mariya Petrova, Sergio Perocco, Uma Vaidyanathan, Shaheen E Lakhan, Cornelia Dorner-Ciossek\",\"doi\":\"10.1038/s41537-025-00659-1\",\"DOIUrl\":null,\"url\":null,\"abstract\":\"<p><p>Experiential negative symptoms (ENS) of schizophrenia, such as asociality, anhedonia, and avolition, are associated with poor outcomes, yet no FDA-approved pharmacotherapies currently exist specifically to target these symptoms. With the increasing use of smartphones, evidence-based digital interventions delivered by prescription digital therapeutics (DTx) may present an opportunity to address the unmet therapeutic need for ENS of schizophrenia. CT‑155/BI 3972080 (CT-155) is being developed as a smartphone-based prescription DTx for the treatment of ENS. A multicenter, 7-week, single-arm, open-label, exploratory study (NCT05486312) evaluated the engagement, adherence, potential effectiveness, acceptability, user experience, and safety of an abbreviated version of CT-155 (CT‑155 beta). Engagement and adherence with CT-155 beta were measured passively throughout the study using the study app. Change in ENS severity was assessed using the clinically administered clinical assessment interview for negative symptoms, motivation, and pleasure subscale (CAINS-MAP). Acceptability and user experience were assessed using the validated Mobile App Rating Scale (MARS) along with an episodic user experience survey, respectively. Fifty participants with a clinically confirmed schizophrenia diagnosis were enrolled; 80% were male, 58% were Black or African American, and the median (range) age was 53.5 (23-64) years. At baseline, participants' mean (SD) CAINS-MAP total score was 20.5 (8.3). Most participants (n = 43; 86%) completed the 7-week study. Participants readily engaged with CT-155 beta. Kaplan-Meier retention analysis showed that 84% of participants (N = 42/50) engaged with CT-155 beta (i.e., last app open) until the end of the study period. Daily app check-ins were completed on a median (IQR) of 43.0 (19-47) days of the 49 possible days (88%). The median (IQR) duration of engagement was 11.6 (8.1-16.1) min per session. Additionally, adherence with CT-155 was high, with participants completing a median of 18 (IQR 13-20) of the 21 therapeutic lessons available. After 7 weeks of CT-155 beta usage, the mean change in within-subject CAINS-MAP score was 3.6 points from baseline (95% CI 1.3, 5.8; p = 0.0026; baseline: 20.4 (8.6) Week 7: 16.8 (7.7)). Most participants (91%; n = 39/43) rated CT-155 beta functionality using MARS assessment as acceptable or higher, with an overall mean MARS functionality subscale score of 4.2 points out of 5 points, with 5 corresponding to \\\"excellent\\\" at Week 7. The end of study participant feedback survey showed that 95% (n = 42/44) of participants would recommend using CT-155 beta. No app-related adverse events nor severe adverse events leading to discontinuation of the study were reported. Overall, the study demonstrated the feasibility of CT-155 beta in participants with ENS of schizophrenia. Results from this feasibility study show the potential of evidence-based DTx approaches to address ENS of schizophrenia.</p>\",\"PeriodicalId\":74758,\"journal\":{\"name\":\"Schizophrenia (Heidelberg, Germany)\",\"volume\":\"11 1\",\"pages\":\"120\"},\"PeriodicalIF\":4.1000,\"publicationDate\":\"2025-09-26\",\"publicationTypes\":\"Journal Article\",\"fieldsOfStudy\":null,\"isOpenAccess\":false,\"openAccessPdf\":\"https://www.ncbi.nlm.nih.gov/pmc/articles/PMC12475125/pdf/\",\"citationCount\":\"0\",\"resultStr\":null,\"platform\":\"Semanticscholar\",\"paperid\":null,\"PeriodicalName\":\"Schizophrenia (Heidelberg, Germany)\",\"FirstCategoryId\":\"1085\",\"ListUrlMain\":\"https://doi.org/10.1038/s41537-025-00659-1\",\"RegionNum\":0,\"RegionCategory\":null,\"ArticlePicture\":[],\"TitleCN\":null,\"AbstractTextCN\":null,\"PMCID\":null,\"EPubDate\":\"\",\"PubModel\":\"\",\"JCR\":\"Q2\",\"JCRName\":\"PSYCHIATRY\",\"Score\":null,\"Total\":0}","platform":"Semanticscholar","paperid":null,"PeriodicalName":"Schizophrenia (Heidelberg, Germany)","FirstCategoryId":"1085","ListUrlMain":"https://doi.org/10.1038/s41537-025-00659-1","RegionNum":0,"RegionCategory":null,"ArticlePicture":[],"TitleCN":null,"AbstractTextCN":null,"PMCID":null,"EPubDate":"","PubModel":"","JCR":"Q2","JCRName":"PSYCHIATRY","Score":null,"Total":0}
引用次数: 0

摘要

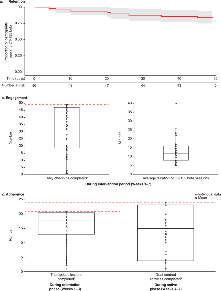
精神分裂症的经验性阴性症状(ENS),如社会性、快感缺乏症和自发性,与不良预后相关,但目前还没有fda批准的药物治疗专门针对这些症状。随着智能手机的使用越来越多,处方数字疗法(DTx)提供的循证数字干预可能为解决精神分裂症ENS未满足的治疗需求提供了机会。CT-155 /BI 3972080 (CT-155)是一种基于智能手机的处方DTx,用于治疗ens。一项多中心、7周、单臂、开放标签、探索性研究(NCT05486312)评估了一种缩写版CT-155 (CT-155 beta)的参与、依从性、潜在有效性、可接受性、用户体验和安全性。在整个研究过程中,使用研究应用程序被动地测量CT-155 β的参与和依从性。使用临床管理的阴性症状、动机和愉悦子量表(CAINS-MAP)临床评估访谈来评估ENS严重程度的变化。可接受性和用户体验分别使用经过验证的移动应用评级量表(MARS)和情景用户体验调查进行评估。50名临床确诊为精神分裂症的参与者被纳入研究;80%为男性,58%为黑人或非裔美国人,年龄中位数(范围)为53.5岁(23-64岁)。基线时,参与者的平均(SD) CAINS-MAP总分为20.5分(8.3分)。大多数参与者(n = 43, 86%)完成了为期7周的研究。参与者乐于参与CT-155 beta测试。Kaplan-Meier留存率分析显示,84%的参与者(N = 42/50)在研究结束前一直在玩CT-155测试版(即最后一个打开的应用)。在49天(88%)中,每日应用签到的中位数(IQR)为43.0(19-47)天。参与时间的中位数(IQR)为11.6(8.1-16.1)分钟。此外,CT-155的依从性很高,参与者完成21个治疗课程的中位数为18 (IQR 13-20)。使用CT-155 beta 7周后,受试者内CAINS-MAP评分的平均变化比基线为3.6分(95% CI 1.3, 5.8; p = 0.0026;基线:20.4(8.6);第7周:16.8(7.7))。大多数参与者(91%;n = 39/43)使用MARS评估将CT-155的beta功能评为可接受或更高,MARS功能子量表总体平均得分为4.2分(满分5分),其中5分对应于第7周的“优秀”。研究结束时参与者反馈调查显示95% (n = 42/44)的参与者推荐使用CT-155 beta。未见应用相关不良事件或严重不良事件导致研究终止的报告。总的来说,该研究证明了CT-155 β在精神分裂症ENS患者中的可行性。这项可行性研究的结果显示了基于证据的DTx方法解决精神分裂症ENS的潜力。
本文章由计算机程序翻译,如有差异,请以英文原文为准。

Feasibility of a digital therapeutic for experiential negative symptoms of schizophrenia: results from an exploratory study.

Feasibility of a digital therapeutic for experiential negative symptoms of schizophrenia: results from an exploratory study.

Feasibility of a digital therapeutic for experiential negative symptoms of schizophrenia: results from an exploratory study.

Feasibility of a digital therapeutic for experiential negative symptoms of schizophrenia: results from an exploratory study.

Experiential negative symptoms (ENS) of schizophrenia, such as asociality, anhedonia, and avolition, are associated with poor outcomes, yet no FDA-approved pharmacotherapies currently exist specifically to target these symptoms. With the increasing use of smartphones, evidence-based digital interventions delivered by prescription digital therapeutics (DTx) may present an opportunity to address the unmet therapeutic need for ENS of schizophrenia. CT‑155/BI 3972080 (CT-155) is being developed as a smartphone-based prescription DTx for the treatment of ENS. A multicenter, 7-week, single-arm, open-label, exploratory study (NCT05486312) evaluated the engagement, adherence, potential effectiveness, acceptability, user experience, and safety of an abbreviated version of CT-155 (CT‑155 beta). Engagement and adherence with CT-155 beta were measured passively throughout the study using the study app. Change in ENS severity was assessed using the clinically administered clinical assessment interview for negative symptoms, motivation, and pleasure subscale (CAINS-MAP). Acceptability and user experience were assessed using the validated Mobile App Rating Scale (MARS) along with an episodic user experience survey, respectively. Fifty participants with a clinically confirmed schizophrenia diagnosis were enrolled; 80% were male, 58% were Black or African American, and the median (range) age was 53.5 (23-64) years. At baseline, participants' mean (SD) CAINS-MAP total score was 20.5 (8.3). Most participants (n = 43; 86%) completed the 7-week study. Participants readily engaged with CT-155 beta. Kaplan-Meier retention analysis showed that 84% of participants (N = 42/50) engaged with CT-155 beta (i.e., last app open) until the end of the study period. Daily app check-ins were completed on a median (IQR) of 43.0 (19-47) days of the 49 possible days (88%). The median (IQR) duration of engagement was 11.6 (8.1-16.1) min per session. Additionally, adherence with CT-155 was high, with participants completing a median of 18 (IQR 13-20) of the 21 therapeutic lessons available. After 7 weeks of CT-155 beta usage, the mean change in within-subject CAINS-MAP score was 3.6 points from baseline (95% CI 1.3, 5.8; p = 0.0026; baseline: 20.4 (8.6) Week 7: 16.8 (7.7)). Most participants (91%; n = 39/43) rated CT-155 beta functionality using MARS assessment as acceptable or higher, with an overall mean MARS functionality subscale score of 4.2 points out of 5 points, with 5 corresponding to "excellent" at Week 7. The end of study participant feedback survey showed that 95% (n = 42/44) of participants would recommend using CT-155 beta. No app-related adverse events nor severe adverse events leading to discontinuation of the study were reported. Overall, the study demonstrated the feasibility of CT-155 beta in participants with ENS of schizophrenia. Results from this feasibility study show the potential of evidence-based DTx approaches to address ENS of schizophrenia.

求助全文
通过发布文献求助,成功后即可免费获取论文全文。 去求助
来源期刊
自引率
0.00%
发文量
0
×
引用
GB/T 7714-2015
复制
MLA
复制
APA
复制
导出至
BibTeX EndNote RefMan NoteFirst NoteExpress
×
提示
您的信息不完整,为了账户安全,请先补充。
现在去补充
×
提示
您因"违规操作"
具体请查看互助需知
我知道了
×
提示
确定
请完成安全验证×
copy
已复制链接
快去分享给好友吧!
我知道了
右上角分享
点击右上角分享
0
联系我们:info@booksci.cn Book学术提供免费学术资源搜索服务,方便国内外学者检索中英文文献。致力于提供最便捷和优质的服务体验。 Copyright © 2023 布克学术 All rights reserved.
京ICP备2023020795号-1
ghs 京公网安备 11010802042870号
Book学术文献互助
Book学术文献互助群
群 号:604180095
Book学术官方微信