抖音上登革热视频质量评价的横断面研究

IF 2.3 Q1 HEALTH CARE SCIENCES & SERVICES
JMIR infodemiology Pub Date : 2025-09-26 DOI:10.2196/76474
Youlian Zhou, Liang Yang, Li Luo, Lianghai Cao, Jun Qiu
{"title":"抖音上登革热视频质量评价的横断面研究","authors":"Youlian Zhou, Liang Yang, Li Luo, Lianghai Cao, Jun Qiu","doi":"10.2196/76474","DOIUrl":null,"url":null,"abstract":"<p><strong>Background: </strong>Dengue fever has evolved into a significant public health concern. In recent years, short-video platforms such as Douyin have emerged as prominent media for the dissemination of health education content. Nevertheless, there is a paucity of research investigating the quality of health education content on Douyin.</p><p><strong>Objective: </strong>This study aimed to evaluate the quality of dengue videos on Douyin.</p><p><strong>Methods: </strong>A comprehensive collection of short videos pertaining to dengue fever was retrieved from the popular social media platform, Douyin, at a designated point in time. A systematic analysis was then performed to extract the characteristics of these videos. To ensure a comprehensive evaluation, three distinct scoring tools were used: the DISCERN scoring tool, the JAMA benchmarking criteria, and the GQS method. Subsequently, an in-depth investigation was undertaken into the relationship between video features and quality.</p><p><strong>Results: </strong>A total of 156 videos were included in the analysis, 81 of which (51.9%) were posted by physicians, constituting the most active category of contributor. The selected videos pertaining to dengue fever received a total of 718,228 likes and 126,400 comments. The video sources were categorized into four distinct classifications: news agencies, organizations, physicians, and individuals. Individuals obtained the highest number of video likes, comments, and saves. However, the findings of the study demonstrated that physicians, organizations, and news agencies posted videos are of higher quality when compared with individuals. The integrity of the video content was analyzed, and the results showed a higher percentage of videos received a score of zero points for outcomes, management, and assessment, with 69 (45%), 57 (37%), and 41 (26%), respectively. The median Total DISCERN scores, JAMA, and GQS of the 156 dengue-related videos under consideration were 26 (out of a total of 80 points), 2 (out of a total of 4 points), and 3 (out of a total of 5 points), respectively. Spearman correlation analysis was conducted, revealing a positive correlation between video duration and video quality. Conversely, a negative correlation was observed between the following variables: video comments and video quality, and the number of days since posting and video quality.</p><p><strong>Conclusions: </strong>This study demonstrates that the quality of short dengue-related health information videos on Douyin is substandard. Videos uploaded by medical professionals were among the highest in terms of quality, yet their videos were not as popular. It is recommended that in future, physicians employ more accessible language incorporating visual elements to enhance the appeal and dissemination of their videos. Future research could explore how to achieve a balance between professionalism and entertainment to promote user acceptance of high-quality content. Moreover, platforms may consider employing algorithmic optimization or content recommendation mechanisms to encourage users to access and engage with more high-quality health science videos.</p>","PeriodicalId":73554,"journal":{"name":"JMIR infodemiology","volume":"5 ","pages":"e76474"},"PeriodicalIF":2.3000,"publicationDate":"2025-09-26","publicationTypes":"Journal Article","fieldsOfStudy":null,"isOpenAccess":false,"openAccessPdf":"https://www.ncbi.nlm.nih.gov/pmc/articles/PMC12466789/pdf/","citationCount":"0","resultStr":"{\"title\":\"Quality Assessment of Videos About Dengue Fever on Douyin: Cross-Sectional Study.\",\"authors\":\"Youlian Zhou, Liang Yang, Li Luo, Lianghai Cao, Jun Qiu\",\"doi\":\"10.2196/76474\",\"DOIUrl\":null,\"url\":null,\"abstract\":\"<p><strong>Background: </strong>Dengue fever has evolved into a significant public health concern. In recent years, short-video platforms such as Douyin have emerged as prominent media for the dissemination of health education content. Nevertheless, there is a paucity of research investigating the quality of health education content on Douyin.</p><p><strong>Objective: </strong>This study aimed to evaluate the quality of dengue videos on Douyin.</p><p><strong>Methods: </strong>A comprehensive collection of short videos pertaining to dengue fever was retrieved from the popular social media platform, Douyin, at a designated point in time. A systematic analysis was then performed to extract the characteristics of these videos. To ensure a comprehensive evaluation, three distinct scoring tools were used: the DISCERN scoring tool, the JAMA benchmarking criteria, and the GQS method. Subsequently, an in-depth investigation was undertaken into the relationship between video features and quality.</p><p><strong>Results: </strong>A total of 156 videos were included in the analysis, 81 of which (51.9%) were posted by physicians, constituting the most active category of contributor. The selected videos pertaining to dengue fever received a total of 718,228 likes and 126,400 comments. The video sources were categorized into four distinct classifications: news agencies, organizations, physicians, and individuals. Individuals obtained the highest number of video likes, comments, and saves. However, the findings of the study demonstrated that physicians, organizations, and news agencies posted videos are of higher quality when compared with individuals. The integrity of the video content was analyzed, and the results showed a higher percentage of videos received a score of zero points for outcomes, management, and assessment, with 69 (45%), 57 (37%), and 41 (26%), respectively. The median Total DISCERN scores, JAMA, and GQS of the 156 dengue-related videos under consideration were 26 (out of a total of 80 points), 2 (out of a total of 4 points), and 3 (out of a total of 5 points), respectively. Spearman correlation analysis was conducted, revealing a positive correlation between video duration and video quality. Conversely, a negative correlation was observed between the following variables: video comments and video quality, and the number of days since posting and video quality.</p><p><strong>Conclusions: </strong>This study demonstrates that the quality of short dengue-related health information videos on Douyin is substandard. Videos uploaded by medical professionals were among the highest in terms of quality, yet their videos were not as popular. It is recommended that in future, physicians employ more accessible language incorporating visual elements to enhance the appeal and dissemination of their videos. Future research could explore how to achieve a balance between professionalism and entertainment to promote user acceptance of high-quality content. Moreover, platforms may consider employing algorithmic optimization or content recommendation mechanisms to encourage users to access and engage with more high-quality health science videos.</p>\",\"PeriodicalId\":73554,\"journal\":{\"name\":\"JMIR infodemiology\",\"volume\":\"5 \",\"pages\":\"e76474\"},\"PeriodicalIF\":2.3000,\"publicationDate\":\"2025-09-26\",\"publicationTypes\":\"Journal Article\",\"fieldsOfStudy\":null,\"isOpenAccess\":false,\"openAccessPdf\":\"https://www.ncbi.nlm.nih.gov/pmc/articles/PMC12466789/pdf/\",\"citationCount\":\"0\",\"resultStr\":null,\"platform\":\"Semanticscholar\",\"paperid\":null,\"PeriodicalName\":\"JMIR infodemiology\",\"FirstCategoryId\":\"1085\",\"ListUrlMain\":\"https://doi.org/10.2196/76474\",\"RegionNum\":0,\"RegionCategory\":null,\"ArticlePicture\":[],\"TitleCN\":null,\"AbstractTextCN\":null,\"PMCID\":null,\"EPubDate\":\"\",\"PubModel\":\"\",\"JCR\":\"Q1\",\"JCRName\":\"HEALTH CARE SCIENCES & SERVICES\",\"Score\":null,\"Total\":0}","platform":"Semanticscholar","paperid":null,"PeriodicalName":"JMIR infodemiology","FirstCategoryId":"1085","ListUrlMain":"https://doi.org/10.2196/76474","RegionNum":0,"RegionCategory":null,"ArticlePicture":[],"TitleCN":null,"AbstractTextCN":null,"PMCID":null,"EPubDate":"","PubModel":"","JCR":"Q1","JCRName":"HEALTH CARE SCIENCES & SERVICES","Score":null,"Total":0}
引用次数: 0

摘要

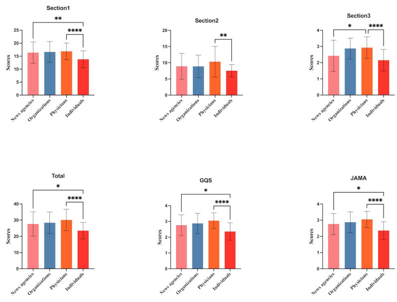
背景:登革热已演变为一个重大的公共卫生问题。近年来,抖音等短视频平台成为健康教育内容传播的突出媒介。然而,对抖音健康教育内容质量的调查研究却很少。目的:评价抖音上登革热视频的质量。方法:在指定的时间点从流行的社交媒体平台抖音上检索与登革热有关的短视频。然后进行系统分析,提取这些视频的特征。为了确保全面的评估,使用了三种不同的评分工具:DISCERN评分工具、JAMA基准标准和GQS方法。随后,对视频特征与质量之间的关系进行了深入调查。结果:共有156个视频被纳入分析,其中81个(51.9%)是由医生发布的,是贡献者最活跃的类别。被选中的与登革热有关的视频共收到718228个赞和12.64万条评论。视频来源被分为四个不同的类别:新闻机构、组织、医生和个人。个人获得了最多的视频点赞、评论和保存。然而,研究结果表明,与个人相比,医生、组织和新闻机构发布的视频质量更高。对视频内容的完整性进行了分析,结果显示,在结果、管理和评估方面获得零分的视频比例较高,分别为69(45%)、57(37%)和41(26%)。在156个与登革热相关的视频中,Total DISCERN评分、JAMA评分和GQS评分的中位数分别为26分(总分80分)、2分(总分4分)和3分(总分5分)。Spearman相关分析显示视频时长与视频质量呈正相关。相反,在以下变量之间观察到负相关:视频评论和视频质量,发布后的天数和视频质量。结论:本研究表明抖音上的登革热相关健康信息短视频质量不达标。医疗专业人员上传的视频质量最高,但他们的视频不那么受欢迎。建议医生在未来使用更容易理解的语言,包括视觉元素,以提高其视频的吸引力和传播。未来的研究可以探索如何在专业性和娱乐性之间取得平衡,以促进用户对高质量内容的接受。此外,平台可以考虑采用算法优化或内容推荐机制,鼓励用户访问和参与更多高质量的健康科学视频。
本文章由计算机程序翻译,如有差异,请以英文原文为准。

Quality Assessment of Videos About Dengue Fever on Douyin: Cross-Sectional Study.

Quality Assessment of Videos About Dengue Fever on Douyin: Cross-Sectional Study.

Quality Assessment of Videos About Dengue Fever on Douyin: Cross-Sectional Study.

Background: Dengue fever has evolved into a significant public health concern. In recent years, short-video platforms such as Douyin have emerged as prominent media for the dissemination of health education content. Nevertheless, there is a paucity of research investigating the quality of health education content on Douyin.

Objective: This study aimed to evaluate the quality of dengue videos on Douyin.

Methods: A comprehensive collection of short videos pertaining to dengue fever was retrieved from the popular social media platform, Douyin, at a designated point in time. A systematic analysis was then performed to extract the characteristics of these videos. To ensure a comprehensive evaluation, three distinct scoring tools were used: the DISCERN scoring tool, the JAMA benchmarking criteria, and the GQS method. Subsequently, an in-depth investigation was undertaken into the relationship between video features and quality.

Results: A total of 156 videos were included in the analysis, 81 of which (51.9%) were posted by physicians, constituting the most active category of contributor. The selected videos pertaining to dengue fever received a total of 718,228 likes and 126,400 comments. The video sources were categorized into four distinct classifications: news agencies, organizations, physicians, and individuals. Individuals obtained the highest number of video likes, comments, and saves. However, the findings of the study demonstrated that physicians, organizations, and news agencies posted videos are of higher quality when compared with individuals. The integrity of the video content was analyzed, and the results showed a higher percentage of videos received a score of zero points for outcomes, management, and assessment, with 69 (45%), 57 (37%), and 41 (26%), respectively. The median Total DISCERN scores, JAMA, and GQS of the 156 dengue-related videos under consideration were 26 (out of a total of 80 points), 2 (out of a total of 4 points), and 3 (out of a total of 5 points), respectively. Spearman correlation analysis was conducted, revealing a positive correlation between video duration and video quality. Conversely, a negative correlation was observed between the following variables: video comments and video quality, and the number of days since posting and video quality.

Conclusions: This study demonstrates that the quality of short dengue-related health information videos on Douyin is substandard. Videos uploaded by medical professionals were among the highest in terms of quality, yet their videos were not as popular. It is recommended that in future, physicians employ more accessible language incorporating visual elements to enhance the appeal and dissemination of their videos. Future research could explore how to achieve a balance between professionalism and entertainment to promote user acceptance of high-quality content. Moreover, platforms may consider employing algorithmic optimization or content recommendation mechanisms to encourage users to access and engage with more high-quality health science videos.

求助全文
通过发布文献求助,成功后即可免费获取论文全文。 去求助
来源期刊
CiteScore
4.80
自引率
0.00%
发文量
0
×
引用
GB/T 7714-2015
复制
MLA
复制
APA
复制
导出至
BibTeX EndNote RefMan NoteFirst NoteExpress
×
提示
您的信息不完整,为了账户安全,请先补充。
现在去补充
×
提示
您因"违规操作"
具体请查看互助需知
我知道了
×
提示
确定
请完成安全验证×
copy
已复制链接
快去分享给好友吧!
我知道了
右上角分享
点击右上角分享
0
联系我们:info@booksci.cn Book学术提供免费学术资源搜索服务,方便国内外学者检索中英文文献。致力于提供最便捷和优质的服务体验。 Copyright © 2023 布克学术 All rights reserved.
京ICP备2023020795号-1
ghs 京公网安备 11010802042870号
Book学术文献互助
Book学术文献互助群
群 号:604180095
Book学术官方微信