三种国产贝伐珠单抗生物仿制药和原贝伐珠单抗治疗中国非鳞状非小细胞肺癌的经济评价:成本-效果分析

IF 2.5 4区 医学 Q3 HEALTH POLICY & SERVICES
Yu Zhang, Tianqi Zhou, Nan Wu, Zhaoshi Bai, Jifu Wei, Ning Cai, Silu Xu
{"title":"三种国产贝伐珠单抗生物仿制药和原贝伐珠单抗治疗中国非鳞状非小细胞肺癌的经济评价:成本-效果分析","authors":"Yu Zhang, Tianqi Zhou, Nan Wu, Zhaoshi Bai, Jifu Wei, Ning Cai, Silu Xu","doi":"10.1186/s12962-025-00653-5","DOIUrl":null,"url":null,"abstract":"<p><strong>Objective: </strong>This study assessed the cost-effectiveness of three domestic bevacizumab biosimilars (IBI305, LY01008, and QL1101) and an originator (Avastin) as first-line treatments for nonsquamous NSCLC in China.</p><p><strong>Methods: </strong>A network meta-analysis (NMA) using the fractional polynomial (FP) method was used to determine hazard ratios (HRs) for overall survival (OS) and progression-free survival (PFS) without relying on the proportional hazards (PH) assumption. Adjusted OS and PFS curves were used to compare effects. A partitioned survival model was used to evaluate the cost-effectiveness of the biosimilars plus chemotherapy versus the originator plus chemotherapy. The model included cost, utility parameters, scale, and shape determined from previous studies. Probabilistic sensitivity analysis (PSA) and one-way deterministic sensitivity analysis (DSA) were used to assess uncertainty.</p><p><strong>Results: </strong>In a baseline study, LY01008 + chemotherapy, QL1101 + chemotherapy, and bevacizumab + chemotherapy were less effective than IBI305 + chemotherapy. Treatment with LY01008 achieved an additional 0.23 quality-adjusted life-years (QALYs), with a higher cost of $817, leading to an incremental cost-effectiveness ratio (ICER) of $3,552/QALY when compared with that of QL1101. All three biosimilars showed better cost-effectiveness than the originator. The DSA results revealed that the HR-related parameters from the NMA and drug price were the primary sources of uncertainty surrounding incremental net monetary benefits (INMBs). PSA showed that the IBI305 was most likely to be cost-effective when the WTP was 1-3 times the per capita GDP of China in 2022. Sensitivity and scenario analysis confirmed the reliability of the fundamental analysis results.</p><p><strong>Conclusions: </strong>Domestic bevacizumab biosimilars are cost-effective alternatives to first-line treatment for nonsquamous NSCLC in China. IBI305 exhibited the most significant cost-effective advantage among the domestic biosimilars.</p>","PeriodicalId":47054,"journal":{"name":"Cost Effectiveness and Resource Allocation","volume":"23 1","pages":"47"},"PeriodicalIF":2.5000,"publicationDate":"2025-09-26","publicationTypes":"Journal Article","fieldsOfStudy":null,"isOpenAccess":false,"openAccessPdf":"https://www.ncbi.nlm.nih.gov/pmc/articles/PMC12465822/pdf/","citationCount":"0","resultStr":"{\"title\":\"Economic evaluation of three domestic bevacizumab biosimilars and the original bevacizumab for treating nonsquamous non-small cell lung cancer in china: a cost-effectiveness analysis.\",\"authors\":\"Yu Zhang, Tianqi Zhou, Nan Wu, Zhaoshi Bai, Jifu Wei, Ning Cai, Silu Xu\",\"doi\":\"10.1186/s12962-025-00653-5\",\"DOIUrl\":null,\"url\":null,\"abstract\":\"<p><strong>Objective: </strong>This study assessed the cost-effectiveness of three domestic bevacizumab biosimilars (IBI305, LY01008, and QL1101) and an originator (Avastin) as first-line treatments for nonsquamous NSCLC in China.</p><p><strong>Methods: </strong>A network meta-analysis (NMA) using the fractional polynomial (FP) method was used to determine hazard ratios (HRs) for overall survival (OS) and progression-free survival (PFS) without relying on the proportional hazards (PH) assumption. Adjusted OS and PFS curves were used to compare effects. A partitioned survival model was used to evaluate the cost-effectiveness of the biosimilars plus chemotherapy versus the originator plus chemotherapy. The model included cost, utility parameters, scale, and shape determined from previous studies. Probabilistic sensitivity analysis (PSA) and one-way deterministic sensitivity analysis (DSA) were used to assess uncertainty.</p><p><strong>Results: </strong>In a baseline study, LY01008 + chemotherapy, QL1101 + chemotherapy, and bevacizumab + chemotherapy were less effective than IBI305 + chemotherapy. Treatment with LY01008 achieved an additional 0.23 quality-adjusted life-years (QALYs), with a higher cost of $817, leading to an incremental cost-effectiveness ratio (ICER) of $3,552/QALY when compared with that of QL1101. All three biosimilars showed better cost-effectiveness than the originator. The DSA results revealed that the HR-related parameters from the NMA and drug price were the primary sources of uncertainty surrounding incremental net monetary benefits (INMBs). PSA showed that the IBI305 was most likely to be cost-effective when the WTP was 1-3 times the per capita GDP of China in 2022. Sensitivity and scenario analysis confirmed the reliability of the fundamental analysis results.</p><p><strong>Conclusions: </strong>Domestic bevacizumab biosimilars are cost-effective alternatives to first-line treatment for nonsquamous NSCLC in China. IBI305 exhibited the most significant cost-effective advantage among the domestic biosimilars.</p>\",\"PeriodicalId\":47054,\"journal\":{\"name\":\"Cost Effectiveness and Resource Allocation\",\"volume\":\"23 1\",\"pages\":\"47\"},\"PeriodicalIF\":2.5000,\"publicationDate\":\"2025-09-26\",\"publicationTypes\":\"Journal Article\",\"fieldsOfStudy\":null,\"isOpenAccess\":false,\"openAccessPdf\":\"https://www.ncbi.nlm.nih.gov/pmc/articles/PMC12465822/pdf/\",\"citationCount\":\"0\",\"resultStr\":null,\"platform\":\"Semanticscholar\",\"paperid\":null,\"PeriodicalName\":\"Cost Effectiveness and Resource Allocation\",\"FirstCategoryId\":\"3\",\"ListUrlMain\":\"https://doi.org/10.1186/s12962-025-00653-5\",\"RegionNum\":4,\"RegionCategory\":\"医学\",\"ArticlePicture\":[],\"TitleCN\":null,\"AbstractTextCN\":null,\"PMCID\":null,\"EPubDate\":\"\",\"PubModel\":\"\",\"JCR\":\"Q3\",\"JCRName\":\"HEALTH POLICY & SERVICES\",\"Score\":null,\"Total\":0}","platform":"Semanticscholar","paperid":null,"PeriodicalName":"Cost Effectiveness and Resource Allocation","FirstCategoryId":"3","ListUrlMain":"https://doi.org/10.1186/s12962-025-00653-5","RegionNum":4,"RegionCategory":"医学","ArticlePicture":[],"TitleCN":null,"AbstractTextCN":null,"PMCID":null,"EPubDate":"","PubModel":"","JCR":"Q3","JCRName":"HEALTH POLICY & SERVICES","Score":null,"Total":0}
引用次数: 0

摘要

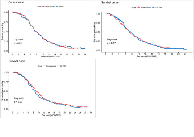
目的:本研究评估了三种国产贝伐单抗生物类似药(IBI305、LY01008和QL1101)和一种原研药(Avastin)作为中国非鳞状NSCLC一线治疗的成本-效果。方法:采用分数多项式(FP)方法进行网络meta分析(NMA),在不依赖比例风险(PH)假设的情况下确定总生存期(OS)和无进展生存期(PFS)的风险比(hr)。调整后的OS和PFS曲线用于比较效果。使用分区生存模型来评估生物仿制药加化疗与原药加化疗的成本效益。该模型包括成本、效用参数、规模和形状。采用概率敏感性分析(PSA)和单向确定性敏感性分析(DSA)评估不确定性。结果:在一项基线研究中,LY01008 +化疗、QL1101 +化疗和贝伐单抗+化疗的疗效低于IBI305 +化疗。LY01008治疗获得了额外的0.23质量调整生命年(QALY),与QL1101相比,成本更高,为817美元,导致增量成本-效果比(ICER)为3552美元/QALY。这三种生物仿制药的成本效益均优于原研药。DSA结果显示,来自NMA和药品价格的hr相关参数是增量净货币效益(inmb)不确定性的主要来源。PSA显示,当WTP在2022年达到中国人均GDP的1-3倍时,IBI305最有可能具有成本效益。敏感性和情景分析证实了基本分析结果的可靠性。结论:国产贝伐单抗生物仿制药在中国是非鳞状非小细胞肺癌一线治疗方案中具有成本效益。国产生物仿制药中,IBI305具有最显著的成本效益优势。
本文章由计算机程序翻译,如有差异,请以英文原文为准。

Economic evaluation of three domestic bevacizumab biosimilars and the original bevacizumab for treating nonsquamous non-small cell lung cancer in china: a cost-effectiveness analysis.

Economic evaluation of three domestic bevacizumab biosimilars and the original bevacizumab for treating nonsquamous non-small cell lung cancer in china: a cost-effectiveness analysis.

Economic evaluation of three domestic bevacizumab biosimilars and the original bevacizumab for treating nonsquamous non-small cell lung cancer in china: a cost-effectiveness analysis.

Economic evaluation of three domestic bevacizumab biosimilars and the original bevacizumab for treating nonsquamous non-small cell lung cancer in china: a cost-effectiveness analysis.

Objective: This study assessed the cost-effectiveness of three domestic bevacizumab biosimilars (IBI305, LY01008, and QL1101) and an originator (Avastin) as first-line treatments for nonsquamous NSCLC in China.

Methods: A network meta-analysis (NMA) using the fractional polynomial (FP) method was used to determine hazard ratios (HRs) for overall survival (OS) and progression-free survival (PFS) without relying on the proportional hazards (PH) assumption. Adjusted OS and PFS curves were used to compare effects. A partitioned survival model was used to evaluate the cost-effectiveness of the biosimilars plus chemotherapy versus the originator plus chemotherapy. The model included cost, utility parameters, scale, and shape determined from previous studies. Probabilistic sensitivity analysis (PSA) and one-way deterministic sensitivity analysis (DSA) were used to assess uncertainty.

Results: In a baseline study, LY01008 + chemotherapy, QL1101 + chemotherapy, and bevacizumab + chemotherapy were less effective than IBI305 + chemotherapy. Treatment with LY01008 achieved an additional 0.23 quality-adjusted life-years (QALYs), with a higher cost of $817, leading to an incremental cost-effectiveness ratio (ICER) of $3,552/QALY when compared with that of QL1101. All three biosimilars showed better cost-effectiveness than the originator. The DSA results revealed that the HR-related parameters from the NMA and drug price were the primary sources of uncertainty surrounding incremental net monetary benefits (INMBs). PSA showed that the IBI305 was most likely to be cost-effective when the WTP was 1-3 times the per capita GDP of China in 2022. Sensitivity and scenario analysis confirmed the reliability of the fundamental analysis results.

Conclusions: Domestic bevacizumab biosimilars are cost-effective alternatives to first-line treatment for nonsquamous NSCLC in China. IBI305 exhibited the most significant cost-effective advantage among the domestic biosimilars.

求助全文
通过发布文献求助,成功后即可免费获取论文全文。 去求助
来源期刊
Cost Effectiveness and Resource Allocation
Cost Effectiveness and Resource Allocation HEALTH POLICY & SERVICES-
CiteScore
3.40
自引率
4.30%
发文量
59
审稿时长
34 weeks
期刊介绍: Cost Effectiveness and Resource Allocation is an Open Access, peer-reviewed, online journal that considers manuscripts on all aspects of cost-effectiveness analysis, including conceptual or methodological work, economic evaluations, and policy analysis related to resource allocation at a national or international level. Cost Effectiveness and Resource Allocation is aimed at health economists, health services researchers, and policy-makers with an interest in enhancing the flow and transfer of knowledge relating to efficiency in the health sector. Manuscripts are encouraged from researchers based in low- and middle-income countries, with a view to increasing the international economic evidence base for health.
×
引用
GB/T 7714-2015
复制
MLA
复制
APA
复制
导出至
BibTeX EndNote RefMan NoteFirst NoteExpress
×
提示
您的信息不完整,为了账户安全,请先补充。
现在去补充
×
提示
您因"违规操作"
具体请查看互助需知
我知道了
×
提示
确定
请完成安全验证×
copy
已复制链接
快去分享给好友吧!
我知道了
右上角分享
点击右上角分享
0
联系我们:info@booksci.cn Book学术提供免费学术资源搜索服务,方便国内外学者检索中英文文献。致力于提供最便捷和优质的服务体验。 Copyright © 2023 布克学术 All rights reserved.
京ICP备2023020795号-1
ghs 京公网安备 11010802042870号
Book学术文献互助
Book学术文献互助群
群 号:604180095
Book学术官方微信