对联合医疗保健提供者在多发性硬化症患者中规定运动的理论和经验培训计划的评估:一项共同设计的有效性-实施研究。

IF 2.9 3区 医学 Q1 MEDICINE, GENERAL & INTERNAL
Yvonne C Learmonth, Georgios Mavropalias, Kym Wansbrough
{"title":"对联合医疗保健提供者在多发性硬化症患者中规定运动的理论和经验培训计划的评估:一项共同设计的有效性-实施研究。","authors":"Yvonne C Learmonth, Georgios Mavropalias, Kym Wansbrough","doi":"10.3390/jcm14186625","DOIUrl":null,"url":null,"abstract":"<p><p><b>Background:</b> Multiple sclerosis (MS) is the most prevalent neurological disorder in young adults, characterised by physical, psychological and cognitive dysfunction. Exercise training is a safe management strategy. Healthcare providers (HCPs) acknowledge deficiencies in awareness, counselling strategies, and resources that prevent them from promoting and prescribing this effective treatment. We implemented an online evidence-based educational programme and evaluated the effect, acceptability, appropriateness, and feasibility of the programme in improving HCP confidence, knowledge, and attitudes towards remote exercise prescription to persons with MS. <b>Methods</b>: Physiotherapists and exercise physiologists were recruited and received the educational programme (online theory and 16-week experience of prescribing to persons with MS). Participants' confidence, knowledge and attitudes towards exercise prescription, as well as their professional quality of life, were our primary outcomes-baseline (T1), immediately post-online theoretical learning (T2), post-application with clients (T3; approximately 16 weeks after T2), and at 12-month follow-up (T4). We gathered participants' acceptability, appropriateness, and feasibility evaluation at T2, T3 and T4. We analysed the effect on primary outcomes using generalised linear mixed models, with secondary and evaluative outcomes analysed as counts and qualitative themes. <b>Results</b>: Of 40 participants who provided baseline data, 24 completed the theoretical programme, and 16 completed the experiential programme. Self-confidence improved significantly (|βs| ≥ 1.27, SEs ≤ 0.31, |zs| ≥ 5.28, ps < 0.001), with large effect sizes (percentage change: 256.8-479.4%). Some theoretical domains framework-based domains have improved, such as beliefs about skills to prescribe evidence-based principles. Participants expressed high satisfaction with the programme and showed increased delivery of implementation behaviour change strategies. <b>Conclusions</b>: An online evidence-based education programme for MS care improved HCPs' self-confidence, perceived skills and delivery of evidence-based exercise behaviour-based prescription.</p>","PeriodicalId":15533,"journal":{"name":"Journal of Clinical Medicine","volume":"14 18","pages":""},"PeriodicalIF":2.9000,"publicationDate":"2025-09-19","publicationTypes":"Journal Article","fieldsOfStudy":null,"isOpenAccess":false,"openAccessPdf":"https://www.ncbi.nlm.nih.gov/pmc/articles/PMC12470950/pdf/","citationCount":"0","resultStr":"{\"title\":\"Evaluation of a Theoretical and Experiential Training Programme for Allied Healthcare Providers to Prescribe Exercise Among Persons with Multiple Sclerosis: A Co-Designed Effectiveness-Implementation Study.\",\"authors\":\"Yvonne C Learmonth, Georgios Mavropalias, Kym Wansbrough\",\"doi\":\"10.3390/jcm14186625\",\"DOIUrl\":null,\"url\":null,\"abstract\":\"<p><p><b>Background:</b> Multiple sclerosis (MS) is the most prevalent neurological disorder in young adults, characterised by physical, psychological and cognitive dysfunction. Exercise training is a safe management strategy. Healthcare providers (HCPs) acknowledge deficiencies in awareness, counselling strategies, and resources that prevent them from promoting and prescribing this effective treatment. We implemented an online evidence-based educational programme and evaluated the effect, acceptability, appropriateness, and feasibility of the programme in improving HCP confidence, knowledge, and attitudes towards remote exercise prescription to persons with MS. <b>Methods</b>: Physiotherapists and exercise physiologists were recruited and received the educational programme (online theory and 16-week experience of prescribing to persons with MS). Participants' confidence, knowledge and attitudes towards exercise prescription, as well as their professional quality of life, were our primary outcomes-baseline (T1), immediately post-online theoretical learning (T2), post-application with clients (T3; approximately 16 weeks after T2), and at 12-month follow-up (T4). We gathered participants' acceptability, appropriateness, and feasibility evaluation at T2, T3 and T4. We analysed the effect on primary outcomes using generalised linear mixed models, with secondary and evaluative outcomes analysed as counts and qualitative themes. <b>Results</b>: Of 40 participants who provided baseline data, 24 completed the theoretical programme, and 16 completed the experiential programme. Self-confidence improved significantly (|βs| ≥ 1.27, SEs ≤ 0.31, |zs| ≥ 5.28, ps < 0.001), with large effect sizes (percentage change: 256.8-479.4%). Some theoretical domains framework-based domains have improved, such as beliefs about skills to prescribe evidence-based principles. Participants expressed high satisfaction with the programme and showed increased delivery of implementation behaviour change strategies. <b>Conclusions</b>: An online evidence-based education programme for MS care improved HCPs' self-confidence, perceived skills and delivery of evidence-based exercise behaviour-based prescription.</p>\",\"PeriodicalId\":15533,\"journal\":{\"name\":\"Journal of Clinical Medicine\",\"volume\":\"14 18\",\"pages\":\"\"},\"PeriodicalIF\":2.9000,\"publicationDate\":\"2025-09-19\",\"publicationTypes\":\"Journal Article\",\"fieldsOfStudy\":null,\"isOpenAccess\":false,\"openAccessPdf\":\"https://www.ncbi.nlm.nih.gov/pmc/articles/PMC12470950/pdf/\",\"citationCount\":\"0\",\"resultStr\":null,\"platform\":\"Semanticscholar\",\"paperid\":null,\"PeriodicalName\":\"Journal of Clinical Medicine\",\"FirstCategoryId\":\"3\",\"ListUrlMain\":\"https://doi.org/10.3390/jcm14186625\",\"RegionNum\":3,\"RegionCategory\":\"医学\",\"ArticlePicture\":[],\"TitleCN\":null,\"AbstractTextCN\":null,\"PMCID\":null,\"EPubDate\":\"\",\"PubModel\":\"\",\"JCR\":\"Q1\",\"JCRName\":\"MEDICINE, GENERAL & INTERNAL\",\"Score\":null,\"Total\":0}","platform":"Semanticscholar","paperid":null,"PeriodicalName":"Journal of Clinical Medicine","FirstCategoryId":"3","ListUrlMain":"https://doi.org/10.3390/jcm14186625","RegionNum":3,"RegionCategory":"医学","ArticlePicture":[],"TitleCN":null,"AbstractTextCN":null,"PMCID":null,"EPubDate":"","PubModel":"","JCR":"Q1","JCRName":"MEDICINE, GENERAL & INTERNAL","Score":null,"Total":0}
引用次数: 0

摘要

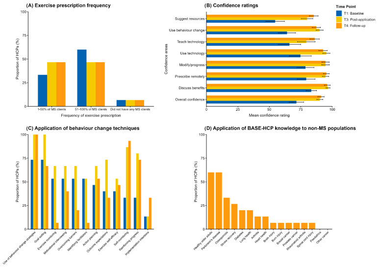
背景:多发性硬化症(MS)是年轻人中最常见的神经系统疾病,以身体、心理和认知功能障碍为特征。运动训练是一种安全的管理策略。卫生保健提供者(HCPs)承认在意识、咨询策略和资源方面存在缺陷,这阻碍了他们推广和开出这种有效治疗的处方。我们实施了一项在线循证教育计划,并评估了该计划在提高HCP对MS患者远程运动处方的信心、知识和态度方面的效果、可接受性、适当性和可行性。方法:招募物理治疗师和运动生理学家并接受教育计划(在线理论和16周的MS患者处方经验)。参与者对运动处方的信心、知识和态度,以及他们的职业生活质量是我们的主要结果——基线(T1)、在线理论学习后立即(T2)、与客户应用后(T3; T2后约16周)和12个月随访(T4)。我们在T2、T3和T4收集参与者的可接受性、适当性和可行性评估。我们使用广义线性混合模型分析了对主要结果的影响,次要和评估结果作为计数和定性主题进行了分析。结果:在提供基线数据的40名参与者中,24人完成了理论课程,16人完成了体验课程。自信心显著提高(|βs|≥1.27,SEs≤0.31,|zs|≥5.28,ps < 0.001),且效应量较大(百分比变化:256.8 ~ 479.4%)。一些基于框架的理论领域得到了改进,例如关于规定循证原则的技能的信念。与会者对该方案表示高度满意,并表示执行行为改变战略的情况有所增加。结论:MS护理的在线循证教育项目提高了HCPs的自信心、感知技能和循证运动行为处方的提供。
本文章由计算机程序翻译,如有差异,请以英文原文为准。

Evaluation of a Theoretical and Experiential Training Programme for Allied Healthcare Providers to Prescribe Exercise Among Persons with Multiple Sclerosis: A Co-Designed Effectiveness-Implementation Study.

Evaluation of a Theoretical and Experiential Training Programme for Allied Healthcare Providers to Prescribe Exercise Among Persons with Multiple Sclerosis: A Co-Designed Effectiveness-Implementation Study.

Evaluation of a Theoretical and Experiential Training Programme for Allied Healthcare Providers to Prescribe Exercise Among Persons with Multiple Sclerosis: A Co-Designed Effectiveness-Implementation Study.

Evaluation of a Theoretical and Experiential Training Programme for Allied Healthcare Providers to Prescribe Exercise Among Persons with Multiple Sclerosis: A Co-Designed Effectiveness-Implementation Study.

Background: Multiple sclerosis (MS) is the most prevalent neurological disorder in young adults, characterised by physical, psychological and cognitive dysfunction. Exercise training is a safe management strategy. Healthcare providers (HCPs) acknowledge deficiencies in awareness, counselling strategies, and resources that prevent them from promoting and prescribing this effective treatment. We implemented an online evidence-based educational programme and evaluated the effect, acceptability, appropriateness, and feasibility of the programme in improving HCP confidence, knowledge, and attitudes towards remote exercise prescription to persons with MS. Methods: Physiotherapists and exercise physiologists were recruited and received the educational programme (online theory and 16-week experience of prescribing to persons with MS). Participants' confidence, knowledge and attitudes towards exercise prescription, as well as their professional quality of life, were our primary outcomes-baseline (T1), immediately post-online theoretical learning (T2), post-application with clients (T3; approximately 16 weeks after T2), and at 12-month follow-up (T4). We gathered participants' acceptability, appropriateness, and feasibility evaluation at T2, T3 and T4. We analysed the effect on primary outcomes using generalised linear mixed models, with secondary and evaluative outcomes analysed as counts and qualitative themes. Results: Of 40 participants who provided baseline data, 24 completed the theoretical programme, and 16 completed the experiential programme. Self-confidence improved significantly (|βs| ≥ 1.27, SEs ≤ 0.31, |zs| ≥ 5.28, ps < 0.001), with large effect sizes (percentage change: 256.8-479.4%). Some theoretical domains framework-based domains have improved, such as beliefs about skills to prescribe evidence-based principles. Participants expressed high satisfaction with the programme and showed increased delivery of implementation behaviour change strategies. Conclusions: An online evidence-based education programme for MS care improved HCPs' self-confidence, perceived skills and delivery of evidence-based exercise behaviour-based prescription.

求助全文
通过发布文献求助,成功后即可免费获取论文全文。 去求助
来源期刊
Journal of Clinical Medicine
Journal of Clinical Medicine MEDICINE, GENERAL & INTERNAL-
CiteScore
5.70
自引率
7.70%
发文量
6468
审稿时长
16.32 days
期刊介绍: Journal of Clinical Medicine (ISSN 2077-0383), is an international scientific open access journal, providing a platform for advances in health care/clinical practices, the study of direct observation of patients and general medical research. This multi-disciplinary journal is aimed at a wide audience of medical researchers and healthcare professionals. Unique features of this journal: manuscripts regarding original research and ideas will be particularly welcomed.JCM also accepts reviews, communications, and short notes. There is no limit to publication length: our aim is to encourage scientists to publish their experimental and theoretical results in as much detail as possible.
×
引用
GB/T 7714-2015
复制
MLA
复制
APA
复制
导出至
BibTeX EndNote RefMan NoteFirst NoteExpress
×
提示
您的信息不完整,为了账户安全,请先补充。
现在去补充
×
提示
您因"违规操作"
具体请查看互助需知
我知道了
×
提示
确定
请完成安全验证×
copy
已复制链接
快去分享给好友吧!
我知道了
右上角分享
点击右上角分享
0
联系我们:info@booksci.cn Book学术提供免费学术资源搜索服务,方便国内外学者检索中英文文献。致力于提供最便捷和优质的服务体验。 Copyright © 2023 布克学术 All rights reserved.
京ICP备2023020795号-1
ghs 京公网安备 11010802042870号
Book学术文献互助
Book学术文献互助群
群 号:604180095
Book学术官方微信