2岁以下婴幼儿早期对室内尘螨敏感的临床特点。

IF 2.9 3区 医学 Q1 MEDICINE, GENERAL & INTERNAL
Hye-In Jeong, You Hoon Jeon
{"title":"2岁以下婴幼儿早期对室内尘螨敏感的临床特点。","authors":"Hye-In Jeong, You Hoon Jeon","doi":"10.3390/jcm14186587","DOIUrl":null,"url":null,"abstract":"<p><p><b>Background:</b> Early-life sensitization to house dust mites (HDMs) is a recognized risk factor for adverse respiratory allergic outcomes. <b>Methods:</b> We investigated the clinical characteristics of infants under two years of age who visited our allergy clinic for evaluation with detectable HDM-specific IgE (sIgE) and compared them to HDM-sIgE-negative infants. <b>Results:</b> Among 1793 infants tested for HDM sIgE, 96 (5.4%) demonstrated sensitization. In the HDM-positive cohort, the prevalence of atopic dermatitis was 74.0% (90.9% among those <12 months), food allergy was 57.3% (100% among those <12 months), egg white sensitization was 71.9% (90.9% among those <12 months), and cow's milk sensitization was 56.3% (81.8% among those <12 months). Atopic dermatitis, food allergy, ≥4 wheezing episodes, physician-diagnosed asthma, allergic rhinitis, egg white sensitization, cow's milk sensitization, and sensitization to three or more food allergens were significantly more common in the HDM-positive group compared with the HDM-negative group. Significant correlations were observed between HDM sIgE and total IgE levels, as well as between HDM sIgE and egg white sIgE levels. Overall, HDM sensitization in infants was most frequently accompanied by atopic dermatitis and egg white sensitization. <b>Conclusions:</b> These findings suggest that early HDM sensitization should be closely monitored, particularly in infants with atopic dermatitis and food allergies who exhibit elevated total IgE and egg white sIgE levels.</p>","PeriodicalId":15533,"journal":{"name":"Journal of Clinical Medicine","volume":"14 18","pages":""},"PeriodicalIF":2.9000,"publicationDate":"2025-09-18","publicationTypes":"Journal Article","fieldsOfStudy":null,"isOpenAccess":false,"openAccessPdf":"https://www.ncbi.nlm.nih.gov/pmc/articles/PMC12470383/pdf/","citationCount":"0","resultStr":"{\"title\":\"Clinical Characteristics of Infants Under Two Years of Age with Early Sensitization to House Dust Mites.\",\"authors\":\"Hye-In Jeong, You Hoon Jeon\",\"doi\":\"10.3390/jcm14186587\",\"DOIUrl\":null,\"url\":null,\"abstract\":\"<p><p><b>Background:</b> Early-life sensitization to house dust mites (HDMs) is a recognized risk factor for adverse respiratory allergic outcomes. <b>Methods:</b> We investigated the clinical characteristics of infants under two years of age who visited our allergy clinic for evaluation with detectable HDM-specific IgE (sIgE) and compared them to HDM-sIgE-negative infants. <b>Results:</b> Among 1793 infants tested for HDM sIgE, 96 (5.4%) demonstrated sensitization. In the HDM-positive cohort, the prevalence of atopic dermatitis was 74.0% (90.9% among those <12 months), food allergy was 57.3% (100% among those <12 months), egg white sensitization was 71.9% (90.9% among those <12 months), and cow's milk sensitization was 56.3% (81.8% among those <12 months). Atopic dermatitis, food allergy, ≥4 wheezing episodes, physician-diagnosed asthma, allergic rhinitis, egg white sensitization, cow's milk sensitization, and sensitization to three or more food allergens were significantly more common in the HDM-positive group compared with the HDM-negative group. Significant correlations were observed between HDM sIgE and total IgE levels, as well as between HDM sIgE and egg white sIgE levels. Overall, HDM sensitization in infants was most frequently accompanied by atopic dermatitis and egg white sensitization. <b>Conclusions:</b> These findings suggest that early HDM sensitization should be closely monitored, particularly in infants with atopic dermatitis and food allergies who exhibit elevated total IgE and egg white sIgE levels.</p>\",\"PeriodicalId\":15533,\"journal\":{\"name\":\"Journal of Clinical Medicine\",\"volume\":\"14 18\",\"pages\":\"\"},\"PeriodicalIF\":2.9000,\"publicationDate\":\"2025-09-18\",\"publicationTypes\":\"Journal Article\",\"fieldsOfStudy\":null,\"isOpenAccess\":false,\"openAccessPdf\":\"https://www.ncbi.nlm.nih.gov/pmc/articles/PMC12470383/pdf/\",\"citationCount\":\"0\",\"resultStr\":null,\"platform\":\"Semanticscholar\",\"paperid\":null,\"PeriodicalName\":\"Journal of Clinical Medicine\",\"FirstCategoryId\":\"3\",\"ListUrlMain\":\"https://doi.org/10.3390/jcm14186587\",\"RegionNum\":3,\"RegionCategory\":\"医学\",\"ArticlePicture\":[],\"TitleCN\":null,\"AbstractTextCN\":null,\"PMCID\":null,\"EPubDate\":\"\",\"PubModel\":\"\",\"JCR\":\"Q1\",\"JCRName\":\"MEDICINE, GENERAL & INTERNAL\",\"Score\":null,\"Total\":0}","platform":"Semanticscholar","paperid":null,"PeriodicalName":"Journal of Clinical Medicine","FirstCategoryId":"3","ListUrlMain":"https://doi.org/10.3390/jcm14186587","RegionNum":3,"RegionCategory":"医学","ArticlePicture":[],"TitleCN":null,"AbstractTextCN":null,"PMCID":null,"EPubDate":"","PubModel":"","JCR":"Q1","JCRName":"MEDICINE, GENERAL & INTERNAL","Score":null,"Total":0}
引用次数: 0

摘要

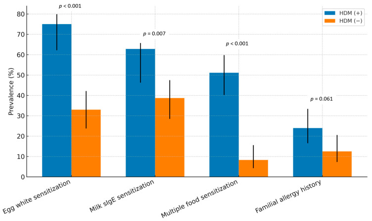
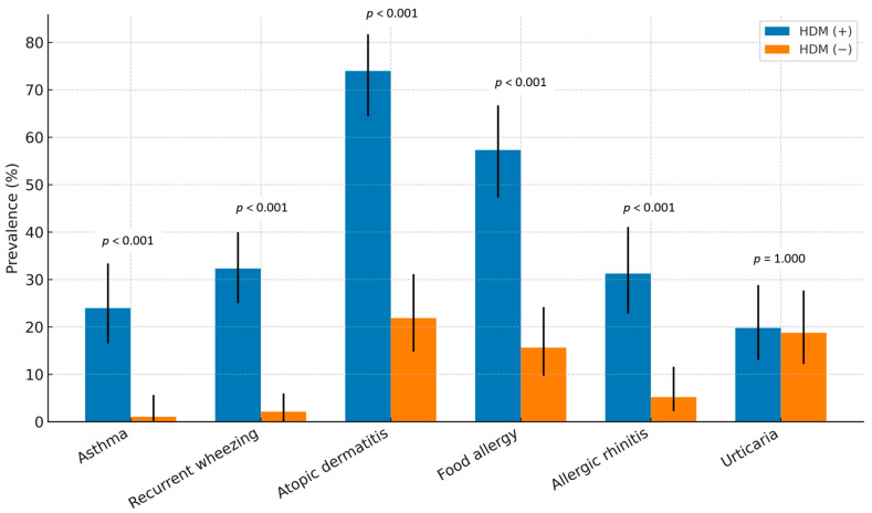
背景:早期对室内尘螨(HDMs)致敏是公认的不良呼吸道过敏结局的危险因素。方法:我们调查了两岁以下的婴儿的临床特征,这些婴儿到我们的过敏诊所接受检测hdm特异性IgE (sIgE)的评估,并将他们与hdm -sIgE阴性的婴儿进行比较。结果:在接受HDM sIgE检测的1793名婴儿中,96名(5.4%)表现出致敏。结论:这些发现表明,应密切监测早期HDM致敏,特别是对患有特应性皮炎和食物过敏的婴儿,他们表现出总IgE和蛋清sIgE水平升高。
本文章由计算机程序翻译,如有差异,请以英文原文为准。

Clinical Characteristics of Infants Under Two Years of Age with Early Sensitization to House Dust Mites.

Clinical Characteristics of Infants Under Two Years of Age with Early Sensitization to House Dust Mites.

Clinical Characteristics of Infants Under Two Years of Age with Early Sensitization to House Dust Mites.

Background: Early-life sensitization to house dust mites (HDMs) is a recognized risk factor for adverse respiratory allergic outcomes. Methods: We investigated the clinical characteristics of infants under two years of age who visited our allergy clinic for evaluation with detectable HDM-specific IgE (sIgE) and compared them to HDM-sIgE-negative infants. Results: Among 1793 infants tested for HDM sIgE, 96 (5.4%) demonstrated sensitization. In the HDM-positive cohort, the prevalence of atopic dermatitis was 74.0% (90.9% among those <12 months), food allergy was 57.3% (100% among those <12 months), egg white sensitization was 71.9% (90.9% among those <12 months), and cow's milk sensitization was 56.3% (81.8% among those <12 months). Atopic dermatitis, food allergy, ≥4 wheezing episodes, physician-diagnosed asthma, allergic rhinitis, egg white sensitization, cow's milk sensitization, and sensitization to three or more food allergens were significantly more common in the HDM-positive group compared with the HDM-negative group. Significant correlations were observed between HDM sIgE and total IgE levels, as well as between HDM sIgE and egg white sIgE levels. Overall, HDM sensitization in infants was most frequently accompanied by atopic dermatitis and egg white sensitization. Conclusions: These findings suggest that early HDM sensitization should be closely monitored, particularly in infants with atopic dermatitis and food allergies who exhibit elevated total IgE and egg white sIgE levels.

求助全文
通过发布文献求助,成功后即可免费获取论文全文。 去求助
来源期刊
Journal of Clinical Medicine
Journal of Clinical Medicine MEDICINE, GENERAL & INTERNAL-
CiteScore
5.70
自引率
7.70%
发文量
6468
审稿时长
16.32 days
期刊介绍: Journal of Clinical Medicine (ISSN 2077-0383), is an international scientific open access journal, providing a platform for advances in health care/clinical practices, the study of direct observation of patients and general medical research. This multi-disciplinary journal is aimed at a wide audience of medical researchers and healthcare professionals. Unique features of this journal: manuscripts regarding original research and ideas will be particularly welcomed.JCM also accepts reviews, communications, and short notes. There is no limit to publication length: our aim is to encourage scientists to publish their experimental and theoretical results in as much detail as possible.
×
引用
GB/T 7714-2015
复制
MLA
复制
APA
复制
导出至
BibTeX EndNote RefMan NoteFirst NoteExpress
×
提示
您的信息不完整,为了账户安全,请先补充。
现在去补充
×
提示
您因"违规操作"
具体请查看互助需知
我知道了
×
提示
确定
请完成安全验证×
copy
已复制链接
快去分享给好友吧!
我知道了
右上角分享
点击右上角分享
0
联系我们:info@booksci.cn Book学术提供免费学术资源搜索服务,方便国内外学者检索中英文文献。致力于提供最便捷和优质的服务体验。 Copyright © 2023 布克学术 All rights reserved.
京ICP备2023020795号-1
ghs 京公网安备 11010802042870号
Book学术文献互助
Book学术文献互助群
群 号:604180095
Book学术官方微信