医疗保健中的人工智能:大学生的认知和信心水平。

IF 2.7 4区 医学 Q2 HEALTH CARE SCIENCES & SERVICES
Paulo Simões Peres, Luísa Castro, Ivone Duarte
{"title":"医疗保健中的人工智能:大学生的认知和信心水平。","authors":"Paulo Simões Peres, Luísa Castro, Ivone Duarte","doi":"10.3390/healthcare13182312","DOIUrl":null,"url":null,"abstract":"<p><p><b>Introduction/Objectives</b>: The continuous progress of information technologies and their increasing use in the health sector have driven the integration of these technologies into the care of the population, including the progressive use of Artificial Intelligence (AI). Given the rapid growth of AI, legislation and scientific evidence have been accompanying developments, clarifying the place of this technology in society. This study aimed to determine university students' perspectives on the use of AI in healthcare, correlating them with sociodemographic characteristics. <b>Methods</b>: Data were collected using an original personal questionnaire to first-year students from four organic units at the University of Porto, between December 2024 and March 2025. <b>Results</b>: A total of 235 responses were obtained from four different Faculties, and no significant differences were found between gender, area of study, or course, regarding perspectives on the inclusion of AI in healthcare. Across the board, students view this inclusion positively, even though they trust a doctor more and do not have uniform positions regarding the system's accountability. <b>Conclusions</b>: Thus, the study's results highlight the need to deepen the debate and training on AI in healthcare, to promote the conscious, critical, and ethical integration of these technologies into healthcare.</p>","PeriodicalId":12977,"journal":{"name":"Healthcare","volume":"13 18","pages":""},"PeriodicalIF":2.7000,"publicationDate":"2025-09-16","publicationTypes":"Journal Article","fieldsOfStudy":null,"isOpenAccess":false,"openAccessPdf":"https://www.ncbi.nlm.nih.gov/pmc/articles/PMC12470069/pdf/","citationCount":"0","resultStr":"{\"title\":\"Artificial Intelligence in Healthcare: University Students' Perceptions and Level of Confidence.\",\"authors\":\"Paulo Simões Peres, Luísa Castro, Ivone Duarte\",\"doi\":\"10.3390/healthcare13182312\",\"DOIUrl\":null,\"url\":null,\"abstract\":\"<p><p><b>Introduction/Objectives</b>: The continuous progress of information technologies and their increasing use in the health sector have driven the integration of these technologies into the care of the population, including the progressive use of Artificial Intelligence (AI). Given the rapid growth of AI, legislation and scientific evidence have been accompanying developments, clarifying the place of this technology in society. This study aimed to determine university students' perspectives on the use of AI in healthcare, correlating them with sociodemographic characteristics. <b>Methods</b>: Data were collected using an original personal questionnaire to first-year students from four organic units at the University of Porto, between December 2024 and March 2025. <b>Results</b>: A total of 235 responses were obtained from four different Faculties, and no significant differences were found between gender, area of study, or course, regarding perspectives on the inclusion of AI in healthcare. Across the board, students view this inclusion positively, even though they trust a doctor more and do not have uniform positions regarding the system's accountability. <b>Conclusions</b>: Thus, the study's results highlight the need to deepen the debate and training on AI in healthcare, to promote the conscious, critical, and ethical integration of these technologies into healthcare.</p>\",\"PeriodicalId\":12977,\"journal\":{\"name\":\"Healthcare\",\"volume\":\"13 18\",\"pages\":\"\"},\"PeriodicalIF\":2.7000,\"publicationDate\":\"2025-09-16\",\"publicationTypes\":\"Journal Article\",\"fieldsOfStudy\":null,\"isOpenAccess\":false,\"openAccessPdf\":\"https://www.ncbi.nlm.nih.gov/pmc/articles/PMC12470069/pdf/\",\"citationCount\":\"0\",\"resultStr\":null,\"platform\":\"Semanticscholar\",\"paperid\":null,\"PeriodicalName\":\"Healthcare\",\"FirstCategoryId\":\"3\",\"ListUrlMain\":\"https://doi.org/10.3390/healthcare13182312\",\"RegionNum\":4,\"RegionCategory\":\"医学\",\"ArticlePicture\":[],\"TitleCN\":null,\"AbstractTextCN\":null,\"PMCID\":null,\"EPubDate\":\"\",\"PubModel\":\"\",\"JCR\":\"Q2\",\"JCRName\":\"HEALTH CARE SCIENCES & SERVICES\",\"Score\":null,\"Total\":0}","platform":"Semanticscholar","paperid":null,"PeriodicalName":"Healthcare","FirstCategoryId":"3","ListUrlMain":"https://doi.org/10.3390/healthcare13182312","RegionNum":4,"RegionCategory":"医学","ArticlePicture":[],"TitleCN":null,"AbstractTextCN":null,"PMCID":null,"EPubDate":"","PubModel":"","JCR":"Q2","JCRName":"HEALTH CARE SCIENCES & SERVICES","Score":null,"Total":0}
引用次数: 0

摘要

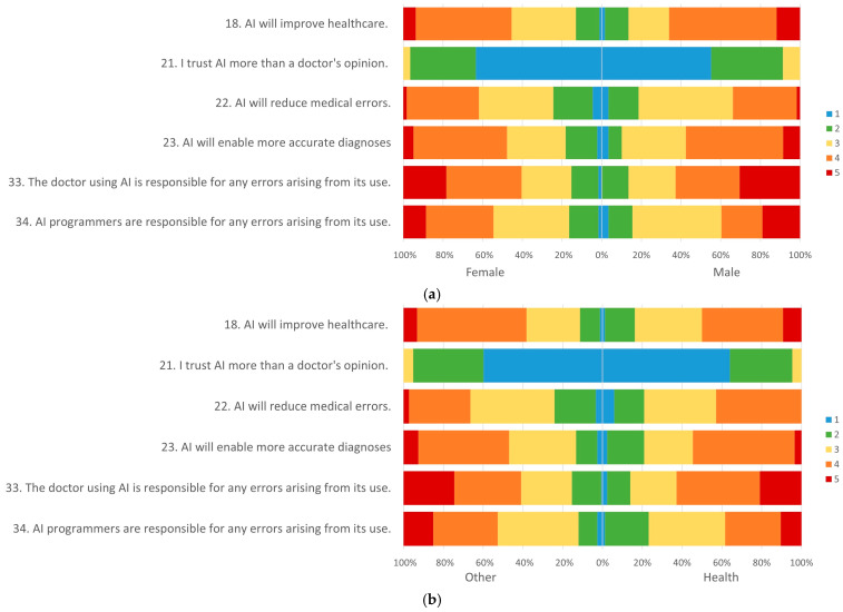
引言/目标:信息技术的不断进步及其在卫生部门的日益使用推动了将这些技术纳入人口保健,包括逐步使用人工智能。鉴于人工智能的快速发展,立法和科学证据一直伴随着发展,明确了这项技术在社会中的地位。本研究旨在确定大学生对在医疗保健中使用人工智能的看法,并将其与社会人口统计学特征联系起来。方法:在2024年12月至2025年3月期间,对波尔图大学四个有机单位的一年级学生使用原始个人问卷收集数据。结果:从四个不同的学院获得了235份回复,在将人工智能纳入医疗保健的观点方面,性别、研究领域或课程之间没有发现显著差异。总体而言,学生们对这种包容持积极态度,尽管他们更信任医生,并且对医疗系统的责任没有统一的立场。结论:因此,该研究的结果强调了深化人工智能在医疗保健领域的辩论和培训的必要性,以促进将这些技术有意识地、关键地和合乎道德地整合到医疗保健中。
本文章由计算机程序翻译,如有差异,请以英文原文为准。

Artificial Intelligence in Healthcare: University Students' Perceptions and Level of Confidence.

Artificial Intelligence in Healthcare: University Students' Perceptions and Level of Confidence.

Introduction/Objectives: The continuous progress of information technologies and their increasing use in the health sector have driven the integration of these technologies into the care of the population, including the progressive use of Artificial Intelligence (AI). Given the rapid growth of AI, legislation and scientific evidence have been accompanying developments, clarifying the place of this technology in society. This study aimed to determine university students' perspectives on the use of AI in healthcare, correlating them with sociodemographic characteristics. Methods: Data were collected using an original personal questionnaire to first-year students from four organic units at the University of Porto, between December 2024 and March 2025. Results: A total of 235 responses were obtained from four different Faculties, and no significant differences were found between gender, area of study, or course, regarding perspectives on the inclusion of AI in healthcare. Across the board, students view this inclusion positively, even though they trust a doctor more and do not have uniform positions regarding the system's accountability. Conclusions: Thus, the study's results highlight the need to deepen the debate and training on AI in healthcare, to promote the conscious, critical, and ethical integration of these technologies into healthcare.

求助全文
通过发布文献求助,成功后即可免费获取论文全文。 去求助
来源期刊
Healthcare
Healthcare Medicine-Health Policy
CiteScore
3.50
自引率
7.10%
发文量
0
审稿时长
47 days
期刊介绍: Healthcare (ISSN 2227-9032) is an international, peer-reviewed, open access journal (free for readers), which publishes original theoretical and empirical work in the interdisciplinary area of all aspects of medicine and health care research. Healthcare publishes Original Research Articles, Reviews, Case Reports, Research Notes and Short Communications. We encourage researchers to publish their experimental and theoretical results in as much detail as possible. For theoretical papers, full details of proofs must be provided so that the results can be checked; for experimental papers, full experimental details must be provided so that the results can be reproduced. Additionally, electronic files or software regarding the full details of the calculations, experimental procedure, etc., can be deposited along with the publication as “Supplementary Material”.
×
引用
GB/T 7714-2015
复制
MLA
复制
APA
复制
导出至
BibTeX EndNote RefMan NoteFirst NoteExpress
×
提示
您的信息不完整,为了账户安全,请先补充。
现在去补充
×
提示
您因"违规操作"
具体请查看互助需知
我知道了
×
提示
确定
请完成安全验证×
copy
已复制链接
快去分享给好友吧!
我知道了
右上角分享
点击右上角分享
0
联系我们:info@booksci.cn Book学术提供免费学术资源搜索服务,方便国内外学者检索中英文文献。致力于提供最便捷和优质的服务体验。 Copyright © 2023 布克学术 All rights reserved.
京ICP备2023020795号-1
ghs 京公网安备 11010802042870号
Book学术文献互助
Book学术文献互助群
群 号:604180095
Book学术官方微信