以社区为基础的老年人护理中医疗保健专业人员的工作满意度:来自希腊的证据。

IF 2.7 4区 医学 Q2 HEALTH CARE SCIENCES & SERVICES
Eirini Michaela Foukaki, Argyroula Kalaitzaki, George Markakis, Athanasios Alegakis, Sofia Koukouli
{"title":"以社区为基础的老年人护理中医疗保健专业人员的工作满意度:来自希腊的证据。","authors":"Eirini Michaela Foukaki, Argyroula Kalaitzaki, George Markakis, Athanasios Alegakis, Sofia Koukouli","doi":"10.3390/healthcare13182299","DOIUrl":null,"url":null,"abstract":"<p><strong>Objectives: </strong>This study aimed to investigate the level of job satisfaction and the associated factors among health and social care employees of the public sector providing services in open care community settings and home-based care for the older people in Greece.</p><p><strong>Method: </strong>The self-administered questionnaire, Job Satisfaction Survey (JSS), was distributed to personnel across all four prefectures in the Region of Crete (Greece). In total, 228 valid responses were received.</p><p><strong>Results: </strong>Overall job satisfaction was moderate (mean = 134, SD = 24). Employees reported greater satisfaction with the supervision (mean = 19.3), nature of work (mean = 19.2), and coworkers (mean = 19.0). Lower satisfaction was observed in relation to promotion (mean = 9.7). Women scored significantly higher satisfaction than men in pay (mean = 10.9) and fringe benefits (mean = 12.3), while age was associated with differences in pay and promotion satisfaction. Variations were also found according to service unit and contract type, with permanent staff reporting higher satisfaction (mean = 11.3) in the Promotion scale than temporary staff (mean = 9.2) (<i>p</i> < 0.001).</p><p><strong>Conclusions: </strong>Findings emphasize the need to institute targeted short- and long-term measures to improve job satisfaction in community-based care for older people. Short-term actions should include the introduction of fair and competitive pay structures, improvements in fringe benefits, and the implementation of supportive leadership practices. Meanwhile, long-term strategies should focus on transparent promotion systems, structured professional development and continuing education opportunities, and the provision of stable contracts to retain skilled personnel.</p>","PeriodicalId":12977,"journal":{"name":"Healthcare","volume":"13 18","pages":""},"PeriodicalIF":2.7000,"publicationDate":"2025-09-13","publicationTypes":"Journal Article","fieldsOfStudy":null,"isOpenAccess":false,"openAccessPdf":"https://www.ncbi.nlm.nih.gov/pmc/articles/PMC12469454/pdf/","citationCount":"0","resultStr":"{\"title\":\"Job Satisfaction Among Healthcare Professionals in Community-Based Care for Older People: Evidence from Greece.\",\"authors\":\"Eirini Michaela Foukaki, Argyroula Kalaitzaki, George Markakis, Athanasios Alegakis, Sofia Koukouli\",\"doi\":\"10.3390/healthcare13182299\",\"DOIUrl\":null,\"url\":null,\"abstract\":\"<p><strong>Objectives: </strong>This study aimed to investigate the level of job satisfaction and the associated factors among health and social care employees of the public sector providing services in open care community settings and home-based care for the older people in Greece.</p><p><strong>Method: </strong>The self-administered questionnaire, Job Satisfaction Survey (JSS), was distributed to personnel across all four prefectures in the Region of Crete (Greece). In total, 228 valid responses were received.</p><p><strong>Results: </strong>Overall job satisfaction was moderate (mean = 134, SD = 24). Employees reported greater satisfaction with the supervision (mean = 19.3), nature of work (mean = 19.2), and coworkers (mean = 19.0). Lower satisfaction was observed in relation to promotion (mean = 9.7). Women scored significantly higher satisfaction than men in pay (mean = 10.9) and fringe benefits (mean = 12.3), while age was associated with differences in pay and promotion satisfaction. Variations were also found according to service unit and contract type, with permanent staff reporting higher satisfaction (mean = 11.3) in the Promotion scale than temporary staff (mean = 9.2) (<i>p</i> < 0.001).</p><p><strong>Conclusions: </strong>Findings emphasize the need to institute targeted short- and long-term measures to improve job satisfaction in community-based care for older people. Short-term actions should include the introduction of fair and competitive pay structures, improvements in fringe benefits, and the implementation of supportive leadership practices. Meanwhile, long-term strategies should focus on transparent promotion systems, structured professional development and continuing education opportunities, and the provision of stable contracts to retain skilled personnel.</p>\",\"PeriodicalId\":12977,\"journal\":{\"name\":\"Healthcare\",\"volume\":\"13 18\",\"pages\":\"\"},\"PeriodicalIF\":2.7000,\"publicationDate\":\"2025-09-13\",\"publicationTypes\":\"Journal Article\",\"fieldsOfStudy\":null,\"isOpenAccess\":false,\"openAccessPdf\":\"https://www.ncbi.nlm.nih.gov/pmc/articles/PMC12469454/pdf/\",\"citationCount\":\"0\",\"resultStr\":null,\"platform\":\"Semanticscholar\",\"paperid\":null,\"PeriodicalName\":\"Healthcare\",\"FirstCategoryId\":\"3\",\"ListUrlMain\":\"https://doi.org/10.3390/healthcare13182299\",\"RegionNum\":4,\"RegionCategory\":\"医学\",\"ArticlePicture\":[],\"TitleCN\":null,\"AbstractTextCN\":null,\"PMCID\":null,\"EPubDate\":\"\",\"PubModel\":\"\",\"JCR\":\"Q2\",\"JCRName\":\"HEALTH CARE SCIENCES & SERVICES\",\"Score\":null,\"Total\":0}","platform":"Semanticscholar","paperid":null,"PeriodicalName":"Healthcare","FirstCategoryId":"3","ListUrlMain":"https://doi.org/10.3390/healthcare13182299","RegionNum":4,"RegionCategory":"医学","ArticlePicture":[],"TitleCN":null,"AbstractTextCN":null,"PMCID":null,"EPubDate":"","PubModel":"","JCR":"Q2","JCRName":"HEALTH CARE SCIENCES & SERVICES","Score":null,"Total":0}
引用次数: 0

摘要

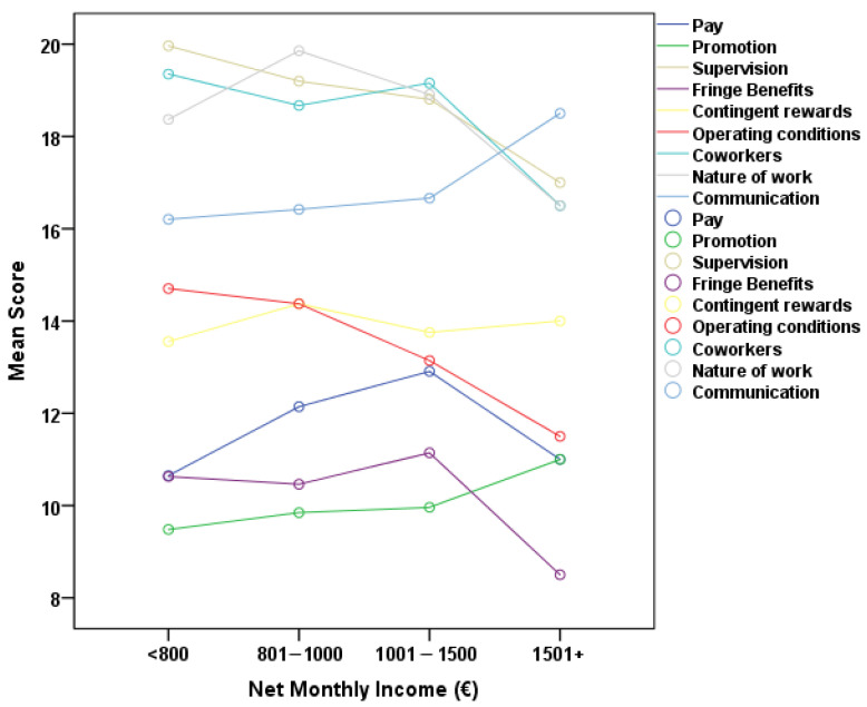
目的:本研究旨在调查在希腊为老年人提供开放护理社区环境和家庭护理服务的公共部门卫生和社会护理雇员的工作满意度水平及其相关因素。方法:自我管理的问卷,工作满意度调查(JSS),被分发到所有四个县的人员在克里特岛地区(希腊)。共收到228份有效答复。结果:总体工作满意度为中等(mean = 134, SD = 24)。员工对监督(平均= 19.3)、工作性质(平均= 19.2)和同事(平均= 19.0)的满意度更高。对晋升的满意度较低(平均= 9.7)。女性在薪酬(平均为10.9)和福利(平均为12.3)方面的满意度明显高于男性,而年龄与薪酬和晋升满意度的差异有关。根据服务单位和合同类型也发现了差异,长期工作人员在晋升量表中报告的满意度(平均= 11.3)高于临时工作人员(平均= 9.2)(p < 0.001)。结论:研究结果强调需要制定有针对性的短期和长期措施来提高社区老年人护理的工作满意度。短期行动应包括引入公平和有竞争力的薪酬结构,改善附加福利,以及实施支持性领导实践。同时,长期战略应侧重于透明的晋升制度、有组织的专业发展和继续教育机会,以及提供稳定的合同以留住技术人员。
本文章由计算机程序翻译,如有差异,请以英文原文为准。

Job Satisfaction Among Healthcare Professionals in Community-Based Care for Older People: Evidence from Greece.

Job Satisfaction Among Healthcare Professionals in Community-Based Care for Older People: Evidence from Greece.

Job Satisfaction Among Healthcare Professionals in Community-Based Care for Older People: Evidence from Greece.

Job Satisfaction Among Healthcare Professionals in Community-Based Care for Older People: Evidence from Greece.

Objectives: This study aimed to investigate the level of job satisfaction and the associated factors among health and social care employees of the public sector providing services in open care community settings and home-based care for the older people in Greece.

Method: The self-administered questionnaire, Job Satisfaction Survey (JSS), was distributed to personnel across all four prefectures in the Region of Crete (Greece). In total, 228 valid responses were received.

Results: Overall job satisfaction was moderate (mean = 134, SD = 24). Employees reported greater satisfaction with the supervision (mean = 19.3), nature of work (mean = 19.2), and coworkers (mean = 19.0). Lower satisfaction was observed in relation to promotion (mean = 9.7). Women scored significantly higher satisfaction than men in pay (mean = 10.9) and fringe benefits (mean = 12.3), while age was associated with differences in pay and promotion satisfaction. Variations were also found according to service unit and contract type, with permanent staff reporting higher satisfaction (mean = 11.3) in the Promotion scale than temporary staff (mean = 9.2) (p < 0.001).

Conclusions: Findings emphasize the need to institute targeted short- and long-term measures to improve job satisfaction in community-based care for older people. Short-term actions should include the introduction of fair and competitive pay structures, improvements in fringe benefits, and the implementation of supportive leadership practices. Meanwhile, long-term strategies should focus on transparent promotion systems, structured professional development and continuing education opportunities, and the provision of stable contracts to retain skilled personnel.

求助全文
通过发布文献求助,成功后即可免费获取论文全文。 去求助
来源期刊
Healthcare
Healthcare Medicine-Health Policy
CiteScore
3.50
自引率
7.10%
发文量
0
审稿时长
47 days
期刊介绍: Healthcare (ISSN 2227-9032) is an international, peer-reviewed, open access journal (free for readers), which publishes original theoretical and empirical work in the interdisciplinary area of all aspects of medicine and health care research. Healthcare publishes Original Research Articles, Reviews, Case Reports, Research Notes and Short Communications. We encourage researchers to publish their experimental and theoretical results in as much detail as possible. For theoretical papers, full details of proofs must be provided so that the results can be checked; for experimental papers, full experimental details must be provided so that the results can be reproduced. Additionally, electronic files or software regarding the full details of the calculations, experimental procedure, etc., can be deposited along with the publication as “Supplementary Material”.
×
引用
GB/T 7714-2015
复制
MLA
复制
APA
复制
导出至
BibTeX EndNote RefMan NoteFirst NoteExpress
×
提示
您的信息不完整,为了账户安全,请先补充。
现在去补充
×
提示
您因"违规操作"
具体请查看互助需知
我知道了
×
提示
确定
请完成安全验证×
copy
已复制链接
快去分享给好友吧!
我知道了
右上角分享
点击右上角分享
0
联系我们:info@booksci.cn Book学术提供免费学术资源搜索服务,方便国内外学者检索中英文文献。致力于提供最便捷和优质的服务体验。 Copyright © 2023 布克学术 All rights reserved.
京ICP备2023020795号-1
ghs 京公网安备 11010802042870号
Book学术文献互助
Book学术文献互助群
群 号:604180095
Book学术官方微信