适应性体育活动对膝关节和髋关节置换术患者生活质量的影响:一项随机试点研究。

IF 2.7 4区 医学 Q2 HEALTH CARE SCIENCES & SERVICES
Raffaele Zinno, Erika Pinelli, Giuseppe Barone, Dante Dallari, Maria Scoppolini Massini, Laura Bragonzoni
{"title":"适应性体育活动对膝关节和髋关节置换术患者生活质量的影响:一项随机试点研究。","authors":"Raffaele Zinno, Erika Pinelli, Giuseppe Barone, Dante Dallari, Maria Scoppolini Massini, Laura Bragonzoni","doi":"10.3390/healthcare13182333","DOIUrl":null,"url":null,"abstract":"<p><p><b>Background:</b> Total hip (THR) and knee replacement (TKR) effectively treat end-stage osteoarthritis, but many patients continue to experience functional limitations and reduced quality of life (QoL) after rehabilitation. The aim of this pilot study was to assess the changes in terms of QoL in people with THR and TKR after a specifically designed PA intervention. The secondary aim was to evaluate changes in physical function through strength and mobility tests. <b>Methods</b>: Eighteen participants (mean age 65.8 ± 7.1 years) were enrolled at the Rizzoli Orthopedic Institute and were randomly assigned to an intervention group (IG), which completed a six-month supervised PA program (6 months after surgery), or a control group (CG), which received standard care. Assessments were conducted at four time points: before surgery, after rehabilitation, and at 9- and 12-month post-surgery. Repeated measures ANOVA was used to assess within- and between-group differences over time, with post hoc pairwise comparisons conducted using independent <i>t</i>-tests with Sidak correction. The level of statistical significance was set at <i>p</i> < 0.05 for all analyses. <b>Results:</b> Both groups showed significant improvements in QoL over time, with greater gains in physical functioning observed in the IG. Lower limb strength increased more in the IG; however, the differences between groups were not statistically significant. The Timed Up and Go and 30-Second Chair Stand Test improved in both groups. No adverse events were reported. <b>Conclusions:</b> These findings support the feasibility and potential benefits of adapted PA programs after rehabilitation. Although no significant differences emerged between groups, clinically relevant improvements were observed in the IG. Larger studies are warranted to confirm these results and explore long-term outcomes across multiple domains.</p>","PeriodicalId":12977,"journal":{"name":"Healthcare","volume":"13 18","pages":""},"PeriodicalIF":2.7000,"publicationDate":"2025-09-17","publicationTypes":"Journal Article","fieldsOfStudy":null,"isOpenAccess":false,"openAccessPdf":"https://www.ncbi.nlm.nih.gov/pmc/articles/PMC12469286/pdf/","citationCount":"0","resultStr":"{\"title\":\"Effectiveness of Adapted Physical Activity on Quality of Life of Patients with Knee and Hip Replacement: A Randomized Pilot Study.\",\"authors\":\"Raffaele Zinno, Erika Pinelli, Giuseppe Barone, Dante Dallari, Maria Scoppolini Massini, Laura Bragonzoni\",\"doi\":\"10.3390/healthcare13182333\",\"DOIUrl\":null,\"url\":null,\"abstract\":\"<p><p><b>Background:</b> Total hip (THR) and knee replacement (TKR) effectively treat end-stage osteoarthritis, but many patients continue to experience functional limitations and reduced quality of life (QoL) after rehabilitation. The aim of this pilot study was to assess the changes in terms of QoL in people with THR and TKR after a specifically designed PA intervention. The secondary aim was to evaluate changes in physical function through strength and mobility tests. <b>Methods</b>: Eighteen participants (mean age 65.8 ± 7.1 years) were enrolled at the Rizzoli Orthopedic Institute and were randomly assigned to an intervention group (IG), which completed a six-month supervised PA program (6 months after surgery), or a control group (CG), which received standard care. Assessments were conducted at four time points: before surgery, after rehabilitation, and at 9- and 12-month post-surgery. Repeated measures ANOVA was used to assess within- and between-group differences over time, with post hoc pairwise comparisons conducted using independent <i>t</i>-tests with Sidak correction. The level of statistical significance was set at <i>p</i> < 0.05 for all analyses. <b>Results:</b> Both groups showed significant improvements in QoL over time, with greater gains in physical functioning observed in the IG. Lower limb strength increased more in the IG; however, the differences between groups were not statistically significant. The Timed Up and Go and 30-Second Chair Stand Test improved in both groups. No adverse events were reported. <b>Conclusions:</b> These findings support the feasibility and potential benefits of adapted PA programs after rehabilitation. Although no significant differences emerged between groups, clinically relevant improvements were observed in the IG. Larger studies are warranted to confirm these results and explore long-term outcomes across multiple domains.</p>\",\"PeriodicalId\":12977,\"journal\":{\"name\":\"Healthcare\",\"volume\":\"13 18\",\"pages\":\"\"},\"PeriodicalIF\":2.7000,\"publicationDate\":\"2025-09-17\",\"publicationTypes\":\"Journal Article\",\"fieldsOfStudy\":null,\"isOpenAccess\":false,\"openAccessPdf\":\"https://www.ncbi.nlm.nih.gov/pmc/articles/PMC12469286/pdf/\",\"citationCount\":\"0\",\"resultStr\":null,\"platform\":\"Semanticscholar\",\"paperid\":null,\"PeriodicalName\":\"Healthcare\",\"FirstCategoryId\":\"3\",\"ListUrlMain\":\"https://doi.org/10.3390/healthcare13182333\",\"RegionNum\":4,\"RegionCategory\":\"医学\",\"ArticlePicture\":[],\"TitleCN\":null,\"AbstractTextCN\":null,\"PMCID\":null,\"EPubDate\":\"\",\"PubModel\":\"\",\"JCR\":\"Q2\",\"JCRName\":\"HEALTH CARE SCIENCES & SERVICES\",\"Score\":null,\"Total\":0}","platform":"Semanticscholar","paperid":null,"PeriodicalName":"Healthcare","FirstCategoryId":"3","ListUrlMain":"https://doi.org/10.3390/healthcare13182333","RegionNum":4,"RegionCategory":"医学","ArticlePicture":[],"TitleCN":null,"AbstractTextCN":null,"PMCID":null,"EPubDate":"","PubModel":"","JCR":"Q2","JCRName":"HEALTH CARE SCIENCES & SERVICES","Score":null,"Total":0}
引用次数: 0

摘要

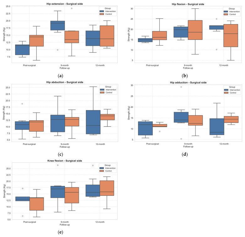
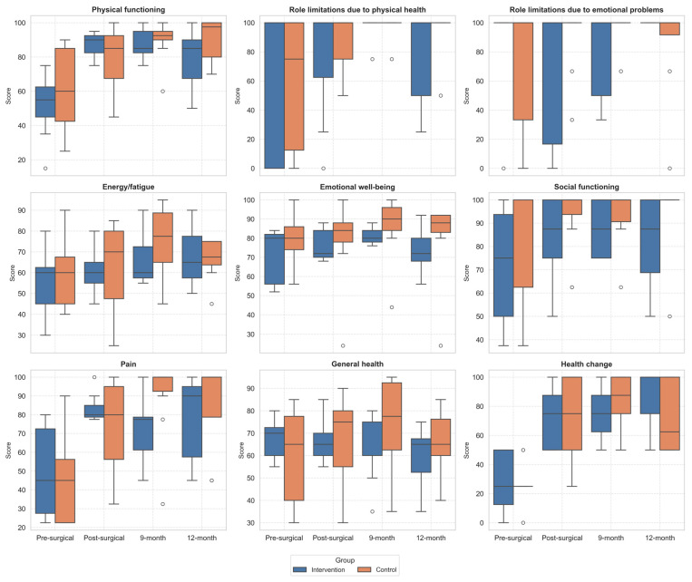
背景:全髋关节(THR)和膝关节置换术(TKR)可以有效治疗终末期骨关节炎,但许多患者在康复后仍然存在功能限制和生活质量下降(QoL)。本初步研究的目的是评估经过特殊设计的PA干预后THR和TKR患者生活质量的变化。第二个目的是通过力量和活动能力测试来评估身体功能的变化。方法:18名参与者(平均年龄65.8±7.1岁)入组Rizzoli骨科研究所,随机分为干预组(IG)和对照组(CG), IG组在手术后6个月完成了为期6个月的有监督的PA项目,CG组接受标准治疗。在四个时间点进行评估:手术前、康复后、手术后9个月和12个月。重复测量方差分析用于评估组内和组间随时间的差异,事后两两比较采用Sidak校正的独立t检验进行。所有分析的统计学意义水平均为p < 0.05。结果:随着时间的推移,两组的生活质量都有了显著改善,IG的身体功能也有了更大的改善。大鼠下肢力量增加较多;然而,组间差异无统计学意义。两组的起立计时和30秒椅子站立测试都有所改善。无不良事件报告。结论:这些发现支持康复后适应性PA方案的可行性和潜在益处。虽然各组间无显著差异,但IG有临床相关的改善。需要更大规模的研究来证实这些结果,并探索跨多个领域的长期结果。
本文章由计算机程序翻译,如有差异,请以英文原文为准。

Effectiveness of Adapted Physical Activity on Quality of Life of Patients with Knee and Hip Replacement: A Randomized Pilot Study.

Effectiveness of Adapted Physical Activity on Quality of Life of Patients with Knee and Hip Replacement: A Randomized Pilot Study.

Effectiveness of Adapted Physical Activity on Quality of Life of Patients with Knee and Hip Replacement: A Randomized Pilot Study.

Effectiveness of Adapted Physical Activity on Quality of Life of Patients with Knee and Hip Replacement: A Randomized Pilot Study.

Background: Total hip (THR) and knee replacement (TKR) effectively treat end-stage osteoarthritis, but many patients continue to experience functional limitations and reduced quality of life (QoL) after rehabilitation. The aim of this pilot study was to assess the changes in terms of QoL in people with THR and TKR after a specifically designed PA intervention. The secondary aim was to evaluate changes in physical function through strength and mobility tests. Methods: Eighteen participants (mean age 65.8 ± 7.1 years) were enrolled at the Rizzoli Orthopedic Institute and were randomly assigned to an intervention group (IG), which completed a six-month supervised PA program (6 months after surgery), or a control group (CG), which received standard care. Assessments were conducted at four time points: before surgery, after rehabilitation, and at 9- and 12-month post-surgery. Repeated measures ANOVA was used to assess within- and between-group differences over time, with post hoc pairwise comparisons conducted using independent t-tests with Sidak correction. The level of statistical significance was set at p < 0.05 for all analyses. Results: Both groups showed significant improvements in QoL over time, with greater gains in physical functioning observed in the IG. Lower limb strength increased more in the IG; however, the differences between groups were not statistically significant. The Timed Up and Go and 30-Second Chair Stand Test improved in both groups. No adverse events were reported. Conclusions: These findings support the feasibility and potential benefits of adapted PA programs after rehabilitation. Although no significant differences emerged between groups, clinically relevant improvements were observed in the IG. Larger studies are warranted to confirm these results and explore long-term outcomes across multiple domains.

求助全文
通过发布文献求助,成功后即可免费获取论文全文。 去求助
来源期刊
Healthcare
Healthcare Medicine-Health Policy
CiteScore
3.50
自引率
7.10%
发文量
0
审稿时长
47 days
期刊介绍: Healthcare (ISSN 2227-9032) is an international, peer-reviewed, open access journal (free for readers), which publishes original theoretical and empirical work in the interdisciplinary area of all aspects of medicine and health care research. Healthcare publishes Original Research Articles, Reviews, Case Reports, Research Notes and Short Communications. We encourage researchers to publish their experimental and theoretical results in as much detail as possible. For theoretical papers, full details of proofs must be provided so that the results can be checked; for experimental papers, full experimental details must be provided so that the results can be reproduced. Additionally, electronic files or software regarding the full details of the calculations, experimental procedure, etc., can be deposited along with the publication as “Supplementary Material”.
×
引用
GB/T 7714-2015
复制
MLA
复制
APA
复制
导出至
BibTeX EndNote RefMan NoteFirst NoteExpress
×
提示
您的信息不完整,为了账户安全,请先补充。
现在去补充
×
提示
您因"违规操作"
具体请查看互助需知
我知道了
×
提示
确定
请完成安全验证×
copy
已复制链接
快去分享给好友吧!
我知道了
右上角分享
点击右上角分享
0
联系我们:info@booksci.cn Book学术提供免费学术资源搜索服务,方便国内外学者检索中英文文献。致力于提供最便捷和优质的服务体验。 Copyright © 2023 布克学术 All rights reserved.
京ICP备2023020795号-1
ghs 京公网安备 11010802042870号
Book学术文献互助
Book学术文献互助群
群 号:604180095
Book学术官方微信