干扰素调节因子5:溃疡性结肠炎的一种新的炎症标志物和有希望的治疗靶点。

IF 3.9 3区 工程技术 Q2 BIOCHEMISTRY & MOLECULAR BIOLOGY
Karima Farrag, Aysegül Aksan, Marina Korotkova, Helena Idborg, Per-Johan Jakobsson, Andreas Weigert, Michael Vieth, Stefan Zeuzem, Irina Blumenstein, Jürgen Stein
{"title":"干扰素调节因子5:溃疡性结肠炎的一种新的炎症标志物和有希望的治疗靶点。","authors":"Karima Farrag, Aysegül Aksan, Marina Korotkova, Helena Idborg, Per-Johan Jakobsson, Andreas Weigert, Michael Vieth, Stefan Zeuzem, Irina Blumenstein, Jürgen Stein","doi":"10.3390/biomedicines13092251","DOIUrl":null,"url":null,"abstract":"<p><p><b>Background:</b> Inflammatory bowel disease (IBD), including Crohn's disease (CD) and ulcerative colitis (UC), is characterized by chronic inflammation affecting the gastrointestinal tract and extraintestinal organs. The etiology of IBD is multifactorial, involving genetic, immunological, and environmental factors. Over 200 genetic loci have been associated with the disease, indicating a significant genetic predisposition. Despite advances in understanding its genetic basis, clinical management remains challenging due to heterogeneity in disease presentation and variable treatment responses. Current therapies, such as 5-aminosalicylates and biologics, are not universally effective, underscoring the need for reliable biomarkers to predict therapeutic responses. <b>Objective:</b> This study investigates the potential role of interferon regulatory factor 5 (IRF5) in the pathogenesis of IBD, with a particular focus on UC. <b>Methods:</b> We conducted a systematic analysis of colon biopsies from 30 adult patients diagnosed with UC and from 8 non-IBD controls. Immunostaining was performed to assess IRF5 expression in colonic tissues using the primary IRF5 antibody (1:300, Abcam, ab181553). Statistical analyses evaluated the correlation between IRF5-positive cell counts, disease activity, and inflammatory markers such as calprotectin. <b>Results:</b> Our analysis revealed a significant increase in IRF5-positive macrophage-like cells in the inflamed mucosa of IBD patients compared to healthy controls. The number of IRF5-positive cells showed a positive correlation with disease activity and calprotectin levels, indicating that higher IRF5 expression is associated with increased inflammation. <b>Conclusions:</b> This study demonstrates a significant correlation between IRF5 expression and disease activity in UC, suggesting that IRF5 may play a crucial role in the inflammatory processes of the disease. The findings propose IRF5 as a novel biomarker for therapeutic intervention in IBD. Further research is needed to clarify the mechanisms by which IRF5 contributes to IBD pathogenesis and to explore the therapeutic potential of targeting this pathway in clinical settings.</p>","PeriodicalId":8937,"journal":{"name":"Biomedicines","volume":"13 9","pages":""},"PeriodicalIF":3.9000,"publicationDate":"2025-09-12","publicationTypes":"Journal Article","fieldsOfStudy":null,"isOpenAccess":false,"openAccessPdf":"https://www.ncbi.nlm.nih.gov/pmc/articles/PMC12467263/pdf/","citationCount":"0","resultStr":"{\"title\":\"Interferon Regulator Factor 5: A Novel Inflammatory Marker and Promising Therapeutic Target in Ulcerative Colitis.\",\"authors\":\"Karima Farrag, Aysegül Aksan, Marina Korotkova, Helena Idborg, Per-Johan Jakobsson, Andreas Weigert, Michael Vieth, Stefan Zeuzem, Irina Blumenstein, Jürgen Stein\",\"doi\":\"10.3390/biomedicines13092251\",\"DOIUrl\":null,\"url\":null,\"abstract\":\"<p><p><b>Background:</b> Inflammatory bowel disease (IBD), including Crohn's disease (CD) and ulcerative colitis (UC), is characterized by chronic inflammation affecting the gastrointestinal tract and extraintestinal organs. The etiology of IBD is multifactorial, involving genetic, immunological, and environmental factors. Over 200 genetic loci have been associated with the disease, indicating a significant genetic predisposition. Despite advances in understanding its genetic basis, clinical management remains challenging due to heterogeneity in disease presentation and variable treatment responses. Current therapies, such as 5-aminosalicylates and biologics, are not universally effective, underscoring the need for reliable biomarkers to predict therapeutic responses. <b>Objective:</b> This study investigates the potential role of interferon regulatory factor 5 (IRF5) in the pathogenesis of IBD, with a particular focus on UC. <b>Methods:</b> We conducted a systematic analysis of colon biopsies from 30 adult patients diagnosed with UC and from 8 non-IBD controls. Immunostaining was performed to assess IRF5 expression in colonic tissues using the primary IRF5 antibody (1:300, Abcam, ab181553). Statistical analyses evaluated the correlation between IRF5-positive cell counts, disease activity, and inflammatory markers such as calprotectin. <b>Results:</b> Our analysis revealed a significant increase in IRF5-positive macrophage-like cells in the inflamed mucosa of IBD patients compared to healthy controls. The number of IRF5-positive cells showed a positive correlation with disease activity and calprotectin levels, indicating that higher IRF5 expression is associated with increased inflammation. <b>Conclusions:</b> This study demonstrates a significant correlation between IRF5 expression and disease activity in UC, suggesting that IRF5 may play a crucial role in the inflammatory processes of the disease. The findings propose IRF5 as a novel biomarker for therapeutic intervention in IBD. Further research is needed to clarify the mechanisms by which IRF5 contributes to IBD pathogenesis and to explore the therapeutic potential of targeting this pathway in clinical settings.</p>\",\"PeriodicalId\":8937,\"journal\":{\"name\":\"Biomedicines\",\"volume\":\"13 9\",\"pages\":\"\"},\"PeriodicalIF\":3.9000,\"publicationDate\":\"2025-09-12\",\"publicationTypes\":\"Journal Article\",\"fieldsOfStudy\":null,\"isOpenAccess\":false,\"openAccessPdf\":\"https://www.ncbi.nlm.nih.gov/pmc/articles/PMC12467263/pdf/\",\"citationCount\":\"0\",\"resultStr\":null,\"platform\":\"Semanticscholar\",\"paperid\":null,\"PeriodicalName\":\"Biomedicines\",\"FirstCategoryId\":\"5\",\"ListUrlMain\":\"https://doi.org/10.3390/biomedicines13092251\",\"RegionNum\":3,\"RegionCategory\":\"工程技术\",\"ArticlePicture\":[],\"TitleCN\":null,\"AbstractTextCN\":null,\"PMCID\":null,\"EPubDate\":\"\",\"PubModel\":\"\",\"JCR\":\"Q2\",\"JCRName\":\"BIOCHEMISTRY & MOLECULAR BIOLOGY\",\"Score\":null,\"Total\":0}","platform":"Semanticscholar","paperid":null,"PeriodicalName":"Biomedicines","FirstCategoryId":"5","ListUrlMain":"https://doi.org/10.3390/biomedicines13092251","RegionNum":3,"RegionCategory":"工程技术","ArticlePicture":[],"TitleCN":null,"AbstractTextCN":null,"PMCID":null,"EPubDate":"","PubModel":"","JCR":"Q2","JCRName":"BIOCHEMISTRY & MOLECULAR BIOLOGY","Score":null,"Total":0}
引用次数: 0

摘要

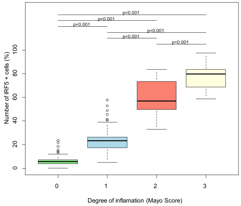
背景:炎症性肠病(IBD),包括克罗恩病(CD)和溃疡性结肠炎(UC),以影响胃肠道和肠外器官的慢性炎症为特征。IBD的病因是多因素的,包括遗传、免疫和环境因素。超过200个基因位点与该疾病相关,表明有显著的遗传易感性。尽管在了解其遗传基础方面取得了进展,但由于疾病表现的异质性和不同的治疗反应,临床管理仍然具有挑战性。目前的治疗方法,如5-氨基水杨酸盐和生物制剂,并不是普遍有效的,这强调了需要可靠的生物标志物来预测治疗反应。目的:本研究探讨干扰素调节因子5 (IRF5)在IBD发病机制中的潜在作用,特别是UC。方法:我们对30例诊断为UC的成年患者和8例非ibd对照组的结肠活检进行了系统分析。使用IRF5一抗(1:30 00,Abcam, ab181553)进行免疫染色以评估IRF5在结肠组织中的表达。统计分析评估了irf5阳性细胞计数、疾病活动性和炎症标志物(如钙保护蛋白)之间的相关性。结果:我们的分析显示,与健康对照组相比,IBD患者炎症粘膜中irf5阳性巨噬细胞样细胞显著增加。IRF5阳性细胞的数量与疾病活动性和钙保护蛋白水平呈正相关,表明IRF5的高表达与炎症增加有关。结论:本研究证实了UC中IRF5表达与疾病活动之间的显著相关性,提示IRF5可能在疾病的炎症过程中发挥重要作用。这些发现表明IRF5是IBD治疗干预的一种新的生物标志物。需要进一步的研究来阐明IRF5在IBD发病机制中的作用机制,并探索在临床环境中靶向这一途径的治疗潜力。
本文章由计算机程序翻译,如有差异,请以英文原文为准。

Interferon Regulator Factor 5: A Novel Inflammatory Marker and Promising Therapeutic Target in Ulcerative Colitis.

Interferon Regulator Factor 5: A Novel Inflammatory Marker and Promising Therapeutic Target in Ulcerative Colitis.

Interferon Regulator Factor 5: A Novel Inflammatory Marker and Promising Therapeutic Target in Ulcerative Colitis.

Interferon Regulator Factor 5: A Novel Inflammatory Marker and Promising Therapeutic Target in Ulcerative Colitis.

Background: Inflammatory bowel disease (IBD), including Crohn's disease (CD) and ulcerative colitis (UC), is characterized by chronic inflammation affecting the gastrointestinal tract and extraintestinal organs. The etiology of IBD is multifactorial, involving genetic, immunological, and environmental factors. Over 200 genetic loci have been associated with the disease, indicating a significant genetic predisposition. Despite advances in understanding its genetic basis, clinical management remains challenging due to heterogeneity in disease presentation and variable treatment responses. Current therapies, such as 5-aminosalicylates and biologics, are not universally effective, underscoring the need for reliable biomarkers to predict therapeutic responses. Objective: This study investigates the potential role of interferon regulatory factor 5 (IRF5) in the pathogenesis of IBD, with a particular focus on UC. Methods: We conducted a systematic analysis of colon biopsies from 30 adult patients diagnosed with UC and from 8 non-IBD controls. Immunostaining was performed to assess IRF5 expression in colonic tissues using the primary IRF5 antibody (1:300, Abcam, ab181553). Statistical analyses evaluated the correlation between IRF5-positive cell counts, disease activity, and inflammatory markers such as calprotectin. Results: Our analysis revealed a significant increase in IRF5-positive macrophage-like cells in the inflamed mucosa of IBD patients compared to healthy controls. The number of IRF5-positive cells showed a positive correlation with disease activity and calprotectin levels, indicating that higher IRF5 expression is associated with increased inflammation. Conclusions: This study demonstrates a significant correlation between IRF5 expression and disease activity in UC, suggesting that IRF5 may play a crucial role in the inflammatory processes of the disease. The findings propose IRF5 as a novel biomarker for therapeutic intervention in IBD. Further research is needed to clarify the mechanisms by which IRF5 contributes to IBD pathogenesis and to explore the therapeutic potential of targeting this pathway in clinical settings.

求助全文
通过发布文献求助,成功后即可免费获取论文全文。 去求助
来源期刊
Biomedicines
Biomedicines Biochemistry, Genetics and Molecular Biology-General Biochemistry,Genetics and Molecular Biology
CiteScore
5.20
自引率
8.50%
发文量
2823
审稿时长
8 weeks
期刊介绍: Biomedicines (ISSN 2227-9059; CODEN: BIOMID) is an international, scientific, open access journal on biomedicines published quarterly online by MDPI.
×
引用
GB/T 7714-2015
复制
MLA
复制
APA
复制
导出至
BibTeX EndNote RefMan NoteFirst NoteExpress
×
提示
您的信息不完整,为了账户安全,请先补充。
现在去补充
×
提示
您因"违规操作"
具体请查看互助需知
我知道了
×
提示
确定
请完成安全验证×
copy
已复制链接
快去分享给好友吧!
我知道了
右上角分享
点击右上角分享
0
联系我们:info@booksci.cn Book学术提供免费学术资源搜索服务,方便国内外学者检索中英文文献。致力于提供最便捷和优质的服务体验。 Copyright © 2023 布克学术 All rights reserved.
京ICP备2023020795号-1
ghs 京公网安备 11010802042870号
Book学术文献互助
Book学术文献互助群
群 号:604180095
Book学术官方微信