甲状腺癌患者5年非酒精性脂肪性肝病风险的性别分层预测模型:一项全国性队列研究

IF 3.9 3区 工程技术 Q2 BIOCHEMISTRY & MOLECULAR BIOLOGY
Young Bin Cho, Kyoung Sik Park
{"title":"甲状腺癌患者5年非酒精性脂肪性肝病风险的性别分层预测模型:一项全国性队列研究","authors":"Young Bin Cho, Kyoung Sik Park","doi":"10.3390/biomedicines13092250","DOIUrl":null,"url":null,"abstract":"<p><p><b>Background/Objectives</b>: Nonalcoholic fatty liver disease (NAFLD) is a significant complication among survivors of thyroid cancer; however, existing prediction models for NAFLD remain inadequate. Our objective was to develop survival prediction models for 5-year risk of NAFLD in patients diagnosed with thyroid cancer. <b>Methods</b>: Utilizing the Korean National Health Insurance Service claims database, we selected 3644 post-thyroidectomy patients with thyroid cancer between 2004 and 2014. Following a 7:3 stratified division into training and test datasets, we developed sex-stratified survival models using random survival forest (RSF) and Cox proportional hazards regression (Cox). The evaluation of prediction models was performed using Harrell's concordance index (C-index), time-dependent area under the curve (AUC), and risk stratification analysis. <b>Results</b>: In the female cohort, the Cox model exhibited a superior C-index of 0.67 (95% CI 0.61-0.72), surpassing the RSF model, which had a C-index of 0.62 (95% CI 0.57-0.68). Notably, age-stratified Cox models for females demonstrated enhanced performance compared to the unstratified female Cox model. Conversely, male-specific models did not show significant performance in NAFLD. Risk stratification analysis revealed that the female-specific models effectively categorized patients into low- and high-risk groups, with statistical significance (<i>p</i> < 0.001). <b>Conclusions</b>: This study constructed well-performing time-to-event prediction models for NAFLD of female patients with thyroid cancer, which is significant in risk stratification.</p>","PeriodicalId":8937,"journal":{"name":"Biomedicines","volume":"13 9","pages":""},"PeriodicalIF":3.9000,"publicationDate":"2025-09-12","publicationTypes":"Journal Article","fieldsOfStudy":null,"isOpenAccess":false,"openAccessPdf":"https://www.ncbi.nlm.nih.gov/pmc/articles/PMC12467750/pdf/","citationCount":"0","resultStr":"{\"title\":\"Sex-Stratified Prediction Models for 5-Year Nonalcoholic Fatty Liver Disease Risk in Thyroid Cancer Patients: A Nationwide Cohort Study.\",\"authors\":\"Young Bin Cho, Kyoung Sik Park\",\"doi\":\"10.3390/biomedicines13092250\",\"DOIUrl\":null,\"url\":null,\"abstract\":\"<p><p><b>Background/Objectives</b>: Nonalcoholic fatty liver disease (NAFLD) is a significant complication among survivors of thyroid cancer; however, existing prediction models for NAFLD remain inadequate. Our objective was to develop survival prediction models for 5-year risk of NAFLD in patients diagnosed with thyroid cancer. <b>Methods</b>: Utilizing the Korean National Health Insurance Service claims database, we selected 3644 post-thyroidectomy patients with thyroid cancer between 2004 and 2014. Following a 7:3 stratified division into training and test datasets, we developed sex-stratified survival models using random survival forest (RSF) and Cox proportional hazards regression (Cox). The evaluation of prediction models was performed using Harrell's concordance index (C-index), time-dependent area under the curve (AUC), and risk stratification analysis. <b>Results</b>: In the female cohort, the Cox model exhibited a superior C-index of 0.67 (95% CI 0.61-0.72), surpassing the RSF model, which had a C-index of 0.62 (95% CI 0.57-0.68). Notably, age-stratified Cox models for females demonstrated enhanced performance compared to the unstratified female Cox model. Conversely, male-specific models did not show significant performance in NAFLD. Risk stratification analysis revealed that the female-specific models effectively categorized patients into low- and high-risk groups, with statistical significance (<i>p</i> < 0.001). <b>Conclusions</b>: This study constructed well-performing time-to-event prediction models for NAFLD of female patients with thyroid cancer, which is significant in risk stratification.</p>\",\"PeriodicalId\":8937,\"journal\":{\"name\":\"Biomedicines\",\"volume\":\"13 9\",\"pages\":\"\"},\"PeriodicalIF\":3.9000,\"publicationDate\":\"2025-09-12\",\"publicationTypes\":\"Journal Article\",\"fieldsOfStudy\":null,\"isOpenAccess\":false,\"openAccessPdf\":\"https://www.ncbi.nlm.nih.gov/pmc/articles/PMC12467750/pdf/\",\"citationCount\":\"0\",\"resultStr\":null,\"platform\":\"Semanticscholar\",\"paperid\":null,\"PeriodicalName\":\"Biomedicines\",\"FirstCategoryId\":\"5\",\"ListUrlMain\":\"https://doi.org/10.3390/biomedicines13092250\",\"RegionNum\":3,\"RegionCategory\":\"工程技术\",\"ArticlePicture\":[],\"TitleCN\":null,\"AbstractTextCN\":null,\"PMCID\":null,\"EPubDate\":\"\",\"PubModel\":\"\",\"JCR\":\"Q2\",\"JCRName\":\"BIOCHEMISTRY & MOLECULAR BIOLOGY\",\"Score\":null,\"Total\":0}","platform":"Semanticscholar","paperid":null,"PeriodicalName":"Biomedicines","FirstCategoryId":"5","ListUrlMain":"https://doi.org/10.3390/biomedicines13092250","RegionNum":3,"RegionCategory":"工程技术","ArticlePicture":[],"TitleCN":null,"AbstractTextCN":null,"PMCID":null,"EPubDate":"","PubModel":"","JCR":"Q2","JCRName":"BIOCHEMISTRY & MOLECULAR BIOLOGY","Score":null,"Total":0}
引用次数: 0

摘要

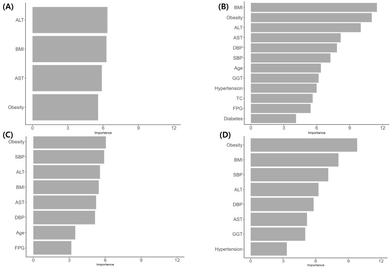
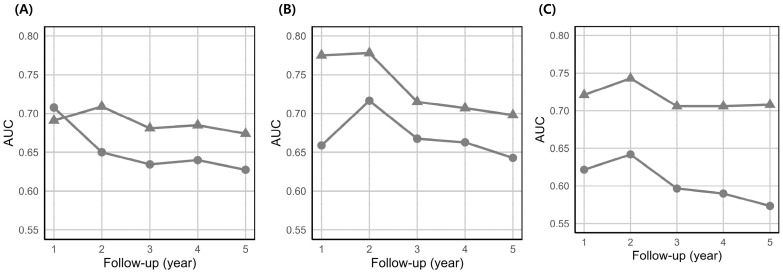
背景/目的:非酒精性脂肪性肝病(NAFLD)是甲状腺癌幸存者的重要并发症;然而,现有的NAFLD预测模型仍然不足。我们的目的是建立诊断为甲状腺癌的NAFLD患者5年生存率预测模型。方法:利用韩国国民健康保险服务索赔数据库,选取2004年至2014年甲状腺癌切除术后患者3644例。在将训练数据集和测试数据集按7:3分层划分之后,我们使用随机生存森林(RSF)和Cox比例风险回归(Cox)建立了性别分层的生存模型。采用Harrell’s concordance index (C-index)、随时间变化的曲线下面积(AUC)和风险分层分析对预测模型进行评价。结果:在女性队列中,Cox模型的c -指数为0.67 (95% CI 0.61-0.72),优于RSF模型的c -指数0.62 (95% CI 0.57-0.68)。值得注意的是,与未分层的女性Cox模型相比,年龄分层的女性Cox模型表现出更高的性能。相反,男性特异性模型在NAFLD中没有表现出显著的表现。风险分层分析显示,女性特异性模型有效地将患者分为低高危组,差异有统计学意义(p < 0.001)。结论:本研究构建了良好的女性甲状腺癌NAFLD时间-事件预测模型,具有重要的风险分层意义。
本文章由计算机程序翻译,如有差异,请以英文原文为准。

Sex-Stratified Prediction Models for 5-Year Nonalcoholic Fatty Liver Disease Risk in Thyroid Cancer Patients: A Nationwide Cohort Study.

Sex-Stratified Prediction Models for 5-Year Nonalcoholic Fatty Liver Disease Risk in Thyroid Cancer Patients: A Nationwide Cohort Study.

Sex-Stratified Prediction Models for 5-Year Nonalcoholic Fatty Liver Disease Risk in Thyroid Cancer Patients: A Nationwide Cohort Study.

Sex-Stratified Prediction Models for 5-Year Nonalcoholic Fatty Liver Disease Risk in Thyroid Cancer Patients: A Nationwide Cohort Study.

Background/Objectives: Nonalcoholic fatty liver disease (NAFLD) is a significant complication among survivors of thyroid cancer; however, existing prediction models for NAFLD remain inadequate. Our objective was to develop survival prediction models for 5-year risk of NAFLD in patients diagnosed with thyroid cancer. Methods: Utilizing the Korean National Health Insurance Service claims database, we selected 3644 post-thyroidectomy patients with thyroid cancer between 2004 and 2014. Following a 7:3 stratified division into training and test datasets, we developed sex-stratified survival models using random survival forest (RSF) and Cox proportional hazards regression (Cox). The evaluation of prediction models was performed using Harrell's concordance index (C-index), time-dependent area under the curve (AUC), and risk stratification analysis. Results: In the female cohort, the Cox model exhibited a superior C-index of 0.67 (95% CI 0.61-0.72), surpassing the RSF model, which had a C-index of 0.62 (95% CI 0.57-0.68). Notably, age-stratified Cox models for females demonstrated enhanced performance compared to the unstratified female Cox model. Conversely, male-specific models did not show significant performance in NAFLD. Risk stratification analysis revealed that the female-specific models effectively categorized patients into low- and high-risk groups, with statistical significance (p < 0.001). Conclusions: This study constructed well-performing time-to-event prediction models for NAFLD of female patients with thyroid cancer, which is significant in risk stratification.

求助全文
通过发布文献求助,成功后即可免费获取论文全文。 去求助
来源期刊
Biomedicines
Biomedicines Biochemistry, Genetics and Molecular Biology-General Biochemistry,Genetics and Molecular Biology
CiteScore
5.20
自引率
8.50%
发文量
2823
审稿时长
8 weeks
期刊介绍: Biomedicines (ISSN 2227-9059; CODEN: BIOMID) is an international, scientific, open access journal on biomedicines published quarterly online by MDPI.
×
引用
GB/T 7714-2015
复制
MLA
复制
APA
复制
导出至
BibTeX EndNote RefMan NoteFirst NoteExpress
×
提示
您的信息不完整,为了账户安全,请先补充。
现在去补充
×
提示
您因"违规操作"
具体请查看互助需知
我知道了
×
提示
确定
请完成安全验证×
copy
已复制链接
快去分享给好友吧!
我知道了
右上角分享
点击右上角分享
0
联系我们:info@booksci.cn Book学术提供免费学术资源搜索服务,方便国内外学者检索中英文文献。致力于提供最便捷和优质的服务体验。 Copyright © 2023 布克学术 All rights reserved.
京ICP备2023020795号-1
ghs 京公网安备 11010802042870号
Book学术文献互助
Book学术文献互助群
群 号:604180095
Book学术官方微信