PD-1/PD-L1的遗传变异和可溶性异构体作为胰腺导管腺癌(PDAC)易感性和预后的新生物标志物

IF 3.9 3区 工程技术 Q2 BIOCHEMISTRY & MOLECULAR BIOLOGY
Marwa Hassan, Walaa H El-Maadawy, Yasmine Elhusseny, Fatma Elbatol Agamy, Sally A Fahim, Mahmoud Balata
{"title":"PD-1/PD-L1的遗传变异和可溶性异构体作为胰腺导管腺癌(PDAC)易感性和预后的新生物标志物","authors":"Marwa Hassan, Walaa H El-Maadawy, Yasmine Elhusseny, Fatma Elbatol Agamy, Sally A Fahim, Mahmoud Balata","doi":"10.3390/biomedicines13092246","DOIUrl":null,"url":null,"abstract":"<p><p><b>Background:</b> Pancreatic ductal adenocarcinoma (PDAC) is a highly aggressive neoplasm often diagnosed at advanced stages. Immune checkpoint molecules, particularly programmed cell death protein-1 (PD-1) and its ligand PD-L1, are pivotal in tumor immune evasion. Genetic polymorphisms in PD-1/PD-L1 and their soluble isoforms (sPD-1/sPD-L1) may influence individual susceptibility to cancer and disease progression. Therefore, this study was conducted to examine the correlation between PD-1/PD-L1 gene polymorphisms, serum levels of sPD-1/sPD-L1, and their association with PDAC susceptibility, severity, and prognostication. <b>Methods:</b> This case-control study was performed with 150 PDAC patients and 150 controls. Clinical and laboratory data, including tumor markers (CA19-9 and CEA), were recorded. Allele-specific PCR was utilized to genotype PD-1 (rs6749527 and rs7421861) and PD-L1 (rs2297136, and rs4143815). sPD-1/sPD-L1 were quantified with ELISA. Mapping of the Kaplan-Meier survival curve of mutant genes was performed. <b>Results:</b> The rs7421861 AG and GG and rs4143815 GG genotypes, together with their G-alleles, were linked to increased PDAC risk and greater tumor burden. In contrast, the rs2297136 GG genotype and G-allele conferred protection against PDAC development. Serum sPD-L1 levels, rather than sPD-1, were markedly elevated in PDAC patients, progressively increased with tumor grade, and correlated with tumor markers. Also, higher PD-L1 gene expression was associated with lower overall survival. <b>Conclusions:</b> PD-1/PD-L1 genetic variants, particularly rs7421861 and rs4143815, along with sPD-L1 levels, correlate with PDAC susceptibility and disease severity. These findings endorse the prospects of integrating immune checkpoint genetic variants and soluble biomarkers for early identification, risk stratification, prognostication, and personalized therapeutic strategies in PDAC management.</p>","PeriodicalId":8937,"journal":{"name":"Biomedicines","volume":"13 9","pages":""},"PeriodicalIF":3.9000,"publicationDate":"2025-09-12","publicationTypes":"Journal Article","fieldsOfStudy":null,"isOpenAccess":false,"openAccessPdf":"https://www.ncbi.nlm.nih.gov/pmc/articles/PMC12467788/pdf/","citationCount":"0","resultStr":"{\"title\":\"Genetic Variants and Soluble Isoforms of PD-1/PD-L1 as Novel Biomarkers for Pancreatic Ductal Adenocarcinoma (PDAC) Susceptibility and Prognosis.\",\"authors\":\"Marwa Hassan, Walaa H El-Maadawy, Yasmine Elhusseny, Fatma Elbatol Agamy, Sally A Fahim, Mahmoud Balata\",\"doi\":\"10.3390/biomedicines13092246\",\"DOIUrl\":null,\"url\":null,\"abstract\":\"<p><p><b>Background:</b> Pancreatic ductal adenocarcinoma (PDAC) is a highly aggressive neoplasm often diagnosed at advanced stages. Immune checkpoint molecules, particularly programmed cell death protein-1 (PD-1) and its ligand PD-L1, are pivotal in tumor immune evasion. Genetic polymorphisms in PD-1/PD-L1 and their soluble isoforms (sPD-1/sPD-L1) may influence individual susceptibility to cancer and disease progression. Therefore, this study was conducted to examine the correlation between PD-1/PD-L1 gene polymorphisms, serum levels of sPD-1/sPD-L1, and their association with PDAC susceptibility, severity, and prognostication. <b>Methods:</b> This case-control study was performed with 150 PDAC patients and 150 controls. Clinical and laboratory data, including tumor markers (CA19-9 and CEA), were recorded. Allele-specific PCR was utilized to genotype PD-1 (rs6749527 and rs7421861) and PD-L1 (rs2297136, and rs4143815). sPD-1/sPD-L1 were quantified with ELISA. Mapping of the Kaplan-Meier survival curve of mutant genes was performed. <b>Results:</b> The rs7421861 AG and GG and rs4143815 GG genotypes, together with their G-alleles, were linked to increased PDAC risk and greater tumor burden. In contrast, the rs2297136 GG genotype and G-allele conferred protection against PDAC development. Serum sPD-L1 levels, rather than sPD-1, were markedly elevated in PDAC patients, progressively increased with tumor grade, and correlated with tumor markers. Also, higher PD-L1 gene expression was associated with lower overall survival. <b>Conclusions:</b> PD-1/PD-L1 genetic variants, particularly rs7421861 and rs4143815, along with sPD-L1 levels, correlate with PDAC susceptibility and disease severity. These findings endorse the prospects of integrating immune checkpoint genetic variants and soluble biomarkers for early identification, risk stratification, prognostication, and personalized therapeutic strategies in PDAC management.</p>\",\"PeriodicalId\":8937,\"journal\":{\"name\":\"Biomedicines\",\"volume\":\"13 9\",\"pages\":\"\"},\"PeriodicalIF\":3.9000,\"publicationDate\":\"2025-09-12\",\"publicationTypes\":\"Journal Article\",\"fieldsOfStudy\":null,\"isOpenAccess\":false,\"openAccessPdf\":\"https://www.ncbi.nlm.nih.gov/pmc/articles/PMC12467788/pdf/\",\"citationCount\":\"0\",\"resultStr\":null,\"platform\":\"Semanticscholar\",\"paperid\":null,\"PeriodicalName\":\"Biomedicines\",\"FirstCategoryId\":\"5\",\"ListUrlMain\":\"https://doi.org/10.3390/biomedicines13092246\",\"RegionNum\":3,\"RegionCategory\":\"工程技术\",\"ArticlePicture\":[],\"TitleCN\":null,\"AbstractTextCN\":null,\"PMCID\":null,\"EPubDate\":\"\",\"PubModel\":\"\",\"JCR\":\"Q2\",\"JCRName\":\"BIOCHEMISTRY & MOLECULAR BIOLOGY\",\"Score\":null,\"Total\":0}","platform":"Semanticscholar","paperid":null,"PeriodicalName":"Biomedicines","FirstCategoryId":"5","ListUrlMain":"https://doi.org/10.3390/biomedicines13092246","RegionNum":3,"RegionCategory":"工程技术","ArticlePicture":[],"TitleCN":null,"AbstractTextCN":null,"PMCID":null,"EPubDate":"","PubModel":"","JCR":"Q2","JCRName":"BIOCHEMISTRY & MOLECULAR BIOLOGY","Score":null,"Total":0}
引用次数: 0

摘要

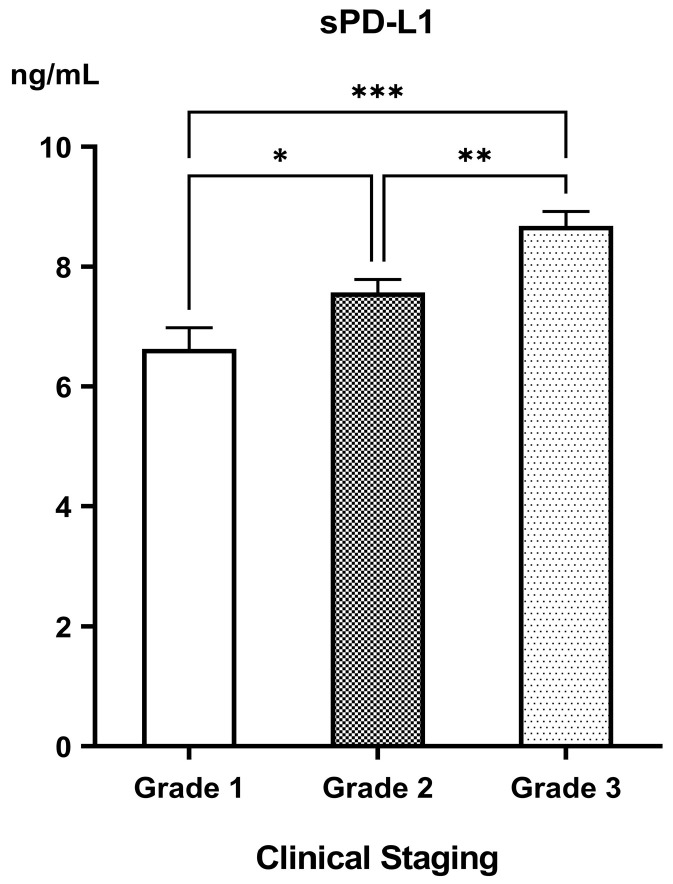
背景:胰腺导管腺癌(PDAC)是一种高度侵袭性的肿瘤,通常在晚期诊断出来。免疫检查点分子,特别是程序性细胞死亡蛋白-1 (PD-1)及其配体PD-L1,在肿瘤免疫逃避中起着关键作用。PD-1/PD-L1及其可溶性异构体(sPD-1/sPD-L1)的遗传多态性可能影响个体对癌症和疾病进展的易感性。因此,本研究旨在探讨PD-1/PD-L1基因多态性、血清sPD-1/sPD-L1水平及其与PDAC易感性、严重程度和预后的相关性。方法:150例PDAC患者和150例对照组进行病例对照研究。记录临床和实验室数据,包括肿瘤标志物(CA19-9和CEA)。利用等位基因特异性PCR对PD-1 (rs6749527和rs7421861)和PD-L1 (rs2297136和rs4143815)进行基因分型。ELISA法测定血清sPD-1/sPD-L1水平。绘制突变基因的Kaplan-Meier生存曲线。结果:rs7421861 AG和GG、rs4143815 GG基因型及其g等位基因与PDAC风险增加和肿瘤负担增加有关。相比之下,rs2297136 GG基因型和g等位基因对PDAC的发展具有保护作用。PDAC患者血清sPD-L1水平而非sPD-1水平显著升高,随着肿瘤分级逐渐升高,并与肿瘤标志物相关。此外,较高的PD-L1基因表达与较低的总生存率相关。结论:PD-1/PD-L1遗传变异,特别是rs7421861和rs4143815,以及sPD-L1水平与PDAC易感性和疾病严重程度相关。这些发现支持整合免疫检查点遗传变异和可溶性生物标志物的前景,用于PDAC管理的早期识别、风险分层、预后和个性化治疗策略。
本文章由计算机程序翻译,如有差异,请以英文原文为准。

Genetic Variants and Soluble Isoforms of PD-1/PD-L1 as Novel Biomarkers for Pancreatic Ductal Adenocarcinoma (PDAC) Susceptibility and Prognosis.

Genetic Variants and Soluble Isoforms of PD-1/PD-L1 as Novel Biomarkers for Pancreatic Ductal Adenocarcinoma (PDAC) Susceptibility and Prognosis.

Genetic Variants and Soluble Isoforms of PD-1/PD-L1 as Novel Biomarkers for Pancreatic Ductal Adenocarcinoma (PDAC) Susceptibility and Prognosis.

Genetic Variants and Soluble Isoforms of PD-1/PD-L1 as Novel Biomarkers for Pancreatic Ductal Adenocarcinoma (PDAC) Susceptibility and Prognosis.

Background: Pancreatic ductal adenocarcinoma (PDAC) is a highly aggressive neoplasm often diagnosed at advanced stages. Immune checkpoint molecules, particularly programmed cell death protein-1 (PD-1) and its ligand PD-L1, are pivotal in tumor immune evasion. Genetic polymorphisms in PD-1/PD-L1 and their soluble isoforms (sPD-1/sPD-L1) may influence individual susceptibility to cancer and disease progression. Therefore, this study was conducted to examine the correlation between PD-1/PD-L1 gene polymorphisms, serum levels of sPD-1/sPD-L1, and their association with PDAC susceptibility, severity, and prognostication. Methods: This case-control study was performed with 150 PDAC patients and 150 controls. Clinical and laboratory data, including tumor markers (CA19-9 and CEA), were recorded. Allele-specific PCR was utilized to genotype PD-1 (rs6749527 and rs7421861) and PD-L1 (rs2297136, and rs4143815). sPD-1/sPD-L1 were quantified with ELISA. Mapping of the Kaplan-Meier survival curve of mutant genes was performed. Results: The rs7421861 AG and GG and rs4143815 GG genotypes, together with their G-alleles, were linked to increased PDAC risk and greater tumor burden. In contrast, the rs2297136 GG genotype and G-allele conferred protection against PDAC development. Serum sPD-L1 levels, rather than sPD-1, were markedly elevated in PDAC patients, progressively increased with tumor grade, and correlated with tumor markers. Also, higher PD-L1 gene expression was associated with lower overall survival. Conclusions: PD-1/PD-L1 genetic variants, particularly rs7421861 and rs4143815, along with sPD-L1 levels, correlate with PDAC susceptibility and disease severity. These findings endorse the prospects of integrating immune checkpoint genetic variants and soluble biomarkers for early identification, risk stratification, prognostication, and personalized therapeutic strategies in PDAC management.

求助全文
通过发布文献求助,成功后即可免费获取论文全文。 去求助
来源期刊
Biomedicines
Biomedicines Biochemistry, Genetics and Molecular Biology-General Biochemistry,Genetics and Molecular Biology
CiteScore
5.20
自引率
8.50%
发文量
2823
审稿时长
8 weeks
期刊介绍: Biomedicines (ISSN 2227-9059; CODEN: BIOMID) is an international, scientific, open access journal on biomedicines published quarterly online by MDPI.
×
引用
GB/T 7714-2015
复制
MLA
复制
APA
复制
导出至
BibTeX EndNote RefMan NoteFirst NoteExpress
×
提示
您的信息不完整,为了账户安全,请先补充。
现在去补充
×
提示
您因"违规操作"
具体请查看互助需知
我知道了
×
提示
确定
请完成安全验证×
copy
已复制链接
快去分享给好友吧!
我知道了
右上角分享
点击右上角分享
0
联系我们:info@booksci.cn Book学术提供免费学术资源搜索服务,方便国内外学者检索中英文文献。致力于提供最便捷和优质的服务体验。 Copyright © 2023 布克学术 All rights reserved.
京ICP备2023020795号-1
ghs 京公网安备 11010802042870号
Book学术文献互助
Book学术文献互助群
群 号:604180095
Book学术官方微信