微碎片化脂肪组织与透明质酸在膝关节骨关节炎炎症表型中的临床和遗传评价:一项随机对照试验。

IF 3.9 3区 工程技术 Q2 BIOCHEMISTRY & MOLECULAR BIOLOGY
Vilim Molnar, Željko Jeleč, Eduard Rod, Damir Hudetz, Petar Brlek, Igor Borić, Vid Matišić, Jana Mešić, Eduard Stjepan Pavelić, Dinko Vidović, Dejan Blažević, Fabijan Čukelj, Srećko Sabalić, Josip Štivičić, Tomislav Dujmović, Mario Starešinić, Martin Čemerin, David Glavaš Weinberger, Iva Molnar, Martina Smolić, Dragan Primorac
{"title":"微碎片化脂肪组织与透明质酸在膝关节骨关节炎炎症表型中的临床和遗传评价:一项随机对照试验。","authors":"Vilim Molnar, Željko Jeleč, Eduard Rod, Damir Hudetz, Petar Brlek, Igor Borić, Vid Matišić, Jana Mešić, Eduard Stjepan Pavelić, Dinko Vidović, Dejan Blažević, Fabijan Čukelj, Srećko Sabalić, Josip Štivičić, Tomislav Dujmović, Mario Starešinić, Martin Čemerin, David Glavaš Weinberger, Iva Molnar, Martina Smolić, Dragan Primorac","doi":"10.3390/biomedicines13092301","DOIUrl":null,"url":null,"abstract":"<p><p><b>Background</b>: Knee osteoarthritis (OA) is a leading cause of disability, with limited therapies that modify both symptoms and structural degeneration. Autologous microfragmented adipose tissue (MFAT) has emerged as a promising regenerative option, especially in phenotypically distinct OA subgroups. This randomized controlled trial evaluated the clinical and structural efficacy of intra-articular MFAT versus hyaluronic acid (HA) in patients with early to moderate inflammatory phenotype knee OA. <b>Methods</b>: Fifty-three patients were randomized in a 2:1 ratio to receive either MFAT (n = 35) or HA (n = 18). Patients were followed-up for six months post-injection and evaluated using patient-reported outcome measures (KOOS, WOMAC, VAS) and delayed gadolinium-enhanced MRI of cartilage (dGEMRIC). A responder analysis defined structural response as ≥10% increase in dGEMRIC in ≥3 of 7 predefined cartilage regions. <b>Results</b>: Both MFAT and HA led to statistically significant improvements in clinical scores and cartilage glycosaminoglycan content. MFAT showed greater mean improvements across most clinical and dGEMRIC measures, although without reaching statistical significance, except for KOOS Symptoms (MFAT: +25.0 vs. HA: +12.7, <i>p</i> = 0.008). Responder-level analysis revealed that all patients who demonstrated structural response also experienced clinically meaningful pain improvement (KOOS Pain ≥ 10), while no patient showed structural benefit without parallel symptomatic relief. <b>Conclusions</b>: MFAT led to greater improvement in symptoms related to joint stiffness, swelling, and crepitus compared to HA, reflecting its potential benefit in targeting the inflammatory features of knee OA. Importantly, HA also led to significant clinical and structural improvements, supporting its continued role as a standard-of-care comparator in knee OA management. Furthermore, the correlation between dGEMRIC and clinical response suggests its utility as a predictive biomarker of treatment success.</p>","PeriodicalId":8937,"journal":{"name":"Biomedicines","volume":"13 9","pages":""},"PeriodicalIF":3.9000,"publicationDate":"2025-09-19","publicationTypes":"Journal Article","fieldsOfStudy":null,"isOpenAccess":false,"openAccessPdf":"https://www.ncbi.nlm.nih.gov/pmc/articles/PMC12467587/pdf/","citationCount":"0","resultStr":"{\"title\":\"Clinical and dGEMRIC Evaluation of Microfragmented Adipose Tissue Versus Hyaluronic Acid in Inflammatory Phenotype of Knee Osteoarthritis: A Randomized Controlled Trial.\",\"authors\":\"Vilim Molnar, Željko Jeleč, Eduard Rod, Damir Hudetz, Petar Brlek, Igor Borić, Vid Matišić, Jana Mešić, Eduard Stjepan Pavelić, Dinko Vidović, Dejan Blažević, Fabijan Čukelj, Srećko Sabalić, Josip Štivičić, Tomislav Dujmović, Mario Starešinić, Martin Čemerin, David Glavaš Weinberger, Iva Molnar, Martina Smolić, Dragan Primorac\",\"doi\":\"10.3390/biomedicines13092301\",\"DOIUrl\":null,\"url\":null,\"abstract\":\"<p><p><b>Background</b>: Knee osteoarthritis (OA) is a leading cause of disability, with limited therapies that modify both symptoms and structural degeneration. Autologous microfragmented adipose tissue (MFAT) has emerged as a promising regenerative option, especially in phenotypically distinct OA subgroups. This randomized controlled trial evaluated the clinical and structural efficacy of intra-articular MFAT versus hyaluronic acid (HA) in patients with early to moderate inflammatory phenotype knee OA. <b>Methods</b>: Fifty-three patients were randomized in a 2:1 ratio to receive either MFAT (n = 35) or HA (n = 18). Patients were followed-up for six months post-injection and evaluated using patient-reported outcome measures (KOOS, WOMAC, VAS) and delayed gadolinium-enhanced MRI of cartilage (dGEMRIC). A responder analysis defined structural response as ≥10% increase in dGEMRIC in ≥3 of 7 predefined cartilage regions. <b>Results</b>: Both MFAT and HA led to statistically significant improvements in clinical scores and cartilage glycosaminoglycan content. MFAT showed greater mean improvements across most clinical and dGEMRIC measures, although without reaching statistical significance, except for KOOS Symptoms (MFAT: +25.0 vs. HA: +12.7, <i>p</i> = 0.008). Responder-level analysis revealed that all patients who demonstrated structural response also experienced clinically meaningful pain improvement (KOOS Pain ≥ 10), while no patient showed structural benefit without parallel symptomatic relief. <b>Conclusions</b>: MFAT led to greater improvement in symptoms related to joint stiffness, swelling, and crepitus compared to HA, reflecting its potential benefit in targeting the inflammatory features of knee OA. Importantly, HA also led to significant clinical and structural improvements, supporting its continued role as a standard-of-care comparator in knee OA management. Furthermore, the correlation between dGEMRIC and clinical response suggests its utility as a predictive biomarker of treatment success.</p>\",\"PeriodicalId\":8937,\"journal\":{\"name\":\"Biomedicines\",\"volume\":\"13 9\",\"pages\":\"\"},\"PeriodicalIF\":3.9000,\"publicationDate\":\"2025-09-19\",\"publicationTypes\":\"Journal Article\",\"fieldsOfStudy\":null,\"isOpenAccess\":false,\"openAccessPdf\":\"https://www.ncbi.nlm.nih.gov/pmc/articles/PMC12467587/pdf/\",\"citationCount\":\"0\",\"resultStr\":null,\"platform\":\"Semanticscholar\",\"paperid\":null,\"PeriodicalName\":\"Biomedicines\",\"FirstCategoryId\":\"5\",\"ListUrlMain\":\"https://doi.org/10.3390/biomedicines13092301\",\"RegionNum\":3,\"RegionCategory\":\"工程技术\",\"ArticlePicture\":[],\"TitleCN\":null,\"AbstractTextCN\":null,\"PMCID\":null,\"EPubDate\":\"\",\"PubModel\":\"\",\"JCR\":\"Q2\",\"JCRName\":\"BIOCHEMISTRY & MOLECULAR BIOLOGY\",\"Score\":null,\"Total\":0}","platform":"Semanticscholar","paperid":null,"PeriodicalName":"Biomedicines","FirstCategoryId":"5","ListUrlMain":"https://doi.org/10.3390/biomedicines13092301","RegionNum":3,"RegionCategory":"工程技术","ArticlePicture":[],"TitleCN":null,"AbstractTextCN":null,"PMCID":null,"EPubDate":"","PubModel":"","JCR":"Q2","JCRName":"BIOCHEMISTRY & MOLECULAR BIOLOGY","Score":null,"Total":0}
引用次数: 0

摘要

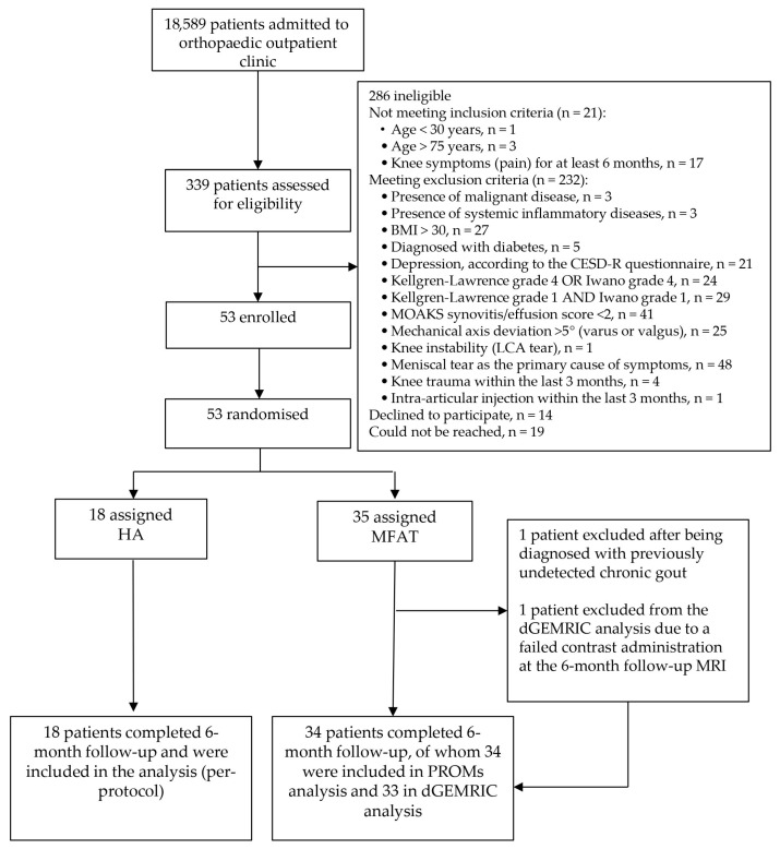
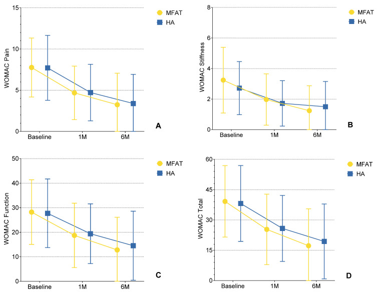
背景:膝骨关节炎(OA)是致残的主要原因,治疗方法有限,不能同时改善症状和结构变性。自体微碎片化脂肪组织(MFAT)已成为一种有希望的再生选择,特别是在表型不同的OA亚群中。这项随机对照试验评估了关节内MFAT与透明质酸(HA)在早期至中度炎症表型膝关节炎患者中的临床和结构疗效。方法:53例患者按2:1的比例随机分为MFAT组(n = 35)和HA组(n = 18)。患者在注射后随访6个月,并使用患者报告的结果测量(oos, WOMAC, VAS)和延迟钆增强软骨MRI (dGEMRIC)进行评估。应答者分析将结构应答定义为7个预定义软骨区域中≥3个dGEMRIC增加≥10%。结果:MFAT和HA均使临床评分和软骨糖胺聚糖含量有统计学意义的改善。MFAT在大多数临床和dGEMRIC测量中显示出更大的平均改善,尽管没有达到统计学意义,但kos症状除外(MFAT: +25.0 vs. HA: +12.7, p = 0.008)。应答者水平分析显示,所有表现出结构性应答的患者也经历了有临床意义的疼痛改善(oos疼痛≥10),而没有患者在没有平行症状缓解的情况下表现出结构性获益。结论:与HA相比,MFAT对关节僵硬、肿胀和肌酐等症状的改善更大,反映了其针对膝关节OA炎症特征的潜在益处。重要的是,HA也带来了显著的临床和结构改进,支持其继续作为膝关节OA管理的标准护理比较者的作用。此外,dGEMRIC与临床反应之间的相关性表明,它可以作为治疗成功的预测性生物标志物。
本文章由计算机程序翻译,如有差异,请以英文原文为准。

Clinical and dGEMRIC Evaluation of Microfragmented Adipose Tissue Versus Hyaluronic Acid in Inflammatory Phenotype of Knee Osteoarthritis: A Randomized Controlled Trial.

Clinical and dGEMRIC Evaluation of Microfragmented Adipose Tissue Versus Hyaluronic Acid in Inflammatory Phenotype of Knee Osteoarthritis: A Randomized Controlled Trial.

Clinical and dGEMRIC Evaluation of Microfragmented Adipose Tissue Versus Hyaluronic Acid in Inflammatory Phenotype of Knee Osteoarthritis: A Randomized Controlled Trial.

Clinical and dGEMRIC Evaluation of Microfragmented Adipose Tissue Versus Hyaluronic Acid in Inflammatory Phenotype of Knee Osteoarthritis: A Randomized Controlled Trial.

Background: Knee osteoarthritis (OA) is a leading cause of disability, with limited therapies that modify both symptoms and structural degeneration. Autologous microfragmented adipose tissue (MFAT) has emerged as a promising regenerative option, especially in phenotypically distinct OA subgroups. This randomized controlled trial evaluated the clinical and structural efficacy of intra-articular MFAT versus hyaluronic acid (HA) in patients with early to moderate inflammatory phenotype knee OA. Methods: Fifty-three patients were randomized in a 2:1 ratio to receive either MFAT (n = 35) or HA (n = 18). Patients were followed-up for six months post-injection and evaluated using patient-reported outcome measures (KOOS, WOMAC, VAS) and delayed gadolinium-enhanced MRI of cartilage (dGEMRIC). A responder analysis defined structural response as ≥10% increase in dGEMRIC in ≥3 of 7 predefined cartilage regions. Results: Both MFAT and HA led to statistically significant improvements in clinical scores and cartilage glycosaminoglycan content. MFAT showed greater mean improvements across most clinical and dGEMRIC measures, although without reaching statistical significance, except for KOOS Symptoms (MFAT: +25.0 vs. HA: +12.7, p = 0.008). Responder-level analysis revealed that all patients who demonstrated structural response also experienced clinically meaningful pain improvement (KOOS Pain ≥ 10), while no patient showed structural benefit without parallel symptomatic relief. Conclusions: MFAT led to greater improvement in symptoms related to joint stiffness, swelling, and crepitus compared to HA, reflecting its potential benefit in targeting the inflammatory features of knee OA. Importantly, HA also led to significant clinical and structural improvements, supporting its continued role as a standard-of-care comparator in knee OA management. Furthermore, the correlation between dGEMRIC and clinical response suggests its utility as a predictive biomarker of treatment success.

求助全文
通过发布文献求助,成功后即可免费获取论文全文。 去求助
来源期刊
Biomedicines
Biomedicines Biochemistry, Genetics and Molecular Biology-General Biochemistry,Genetics and Molecular Biology
CiteScore
5.20
自引率
8.50%
发文量
2823
审稿时长
8 weeks
期刊介绍: Biomedicines (ISSN 2227-9059; CODEN: BIOMID) is an international, scientific, open access journal on biomedicines published quarterly online by MDPI.
×
引用
GB/T 7714-2015
复制
MLA
复制
APA
复制
导出至
BibTeX EndNote RefMan NoteFirst NoteExpress
×
提示
您的信息不完整,为了账户安全,请先补充。
现在去补充
×
提示
您因"违规操作"
具体请查看互助需知
我知道了
×
提示
确定
请完成安全验证×
copy
已复制链接
快去分享给好友吧!
我知道了
右上角分享
点击右上角分享
0
联系我们:info@booksci.cn Book学术提供免费学术资源搜索服务,方便国内外学者检索中英文文献。致力于提供最便捷和优质的服务体验。 Copyright © 2023 布克学术 All rights reserved.
京ICP备2023020795号-1
ghs 京公网安备 11010802042870号
Book学术文献互助
Book学术文献互助群
群 号:604180095
Book学术官方微信