罗马尼亚一家多学科医院非发酵革兰氏阴性杆菌的耐药性

IF 3.9 3区 工程技术 Q2 BIOCHEMISTRY & MOLECULAR BIOLOGY
Miruna-Maria Apetroaei, Mihaela Cristina Negulescu, Sorina Hîncu, Adriana Tăerel, Manuela Ghica, Andreea Letiția Arsene, Denisa Ioana Udeanu
{"title":"罗马尼亚一家多学科医院非发酵革兰氏阴性杆菌的耐药性","authors":"Miruna-Maria Apetroaei, Mihaela Cristina Negulescu, Sorina Hîncu, Adriana Tăerel, Manuela Ghica, Andreea Letiția Arsene, Denisa Ioana Udeanu","doi":"10.3390/biomedicines13092255","DOIUrl":null,"url":null,"abstract":"<p><p><b>Background:</b> Antimicrobial resistance (AMR) in <i>Acinetobacter</i> spp., <i>Pseudomonas</i> spp., and <i>Stenotrophomonas maltophilia</i> poses a significant risk in healthcare-associated infections. Constant monitoring using quantitative metrics is necessary to direct empirical treatment. <b>Methods:</b> We conducted a retrospective observational study at the Fundeni Clinical Institute, Bucharest, Romania, analysing antibiogram data from January 2021 to December 2024. Over 200,000 microbiological records were screened, and 1189 isolates of the three targeted pathogens were included. The Multiple Antibiotic Resistance Index (MARI) was applied to evaluate selective pressure across years, hospital departments, sample types, and hospitalisation categories. <b>Results:</b><i>Acinetobacter baumannii</i> and <i>Pseudomonas aeruginosa</i> exhibited the highest resistance levels, with median MARI values exceeding 0.25 in 2024, particularly in Intensive Care and Transplant units. In contrast, <i>S. maltophilia</i> showed lower overall MARI values, though resistance variability increased in 2024 (extremes up to 0.30). Notably, resistance to carbapenems in <i>Acinetobacter</i> spp. rebounded in 2024, while <i>Pseudomonas</i> spp. demonstrated a favourable trend of decreasing resistance to several β-lactams. <b>Conclusion:</b> Our findings underscore significant interspecies differences in AMR dynamics and highlight the utility of MARI as a valuable operational indicator. Ongoing local surveillance is needed for refining empirical treatment protocols and informing antimicrobial stewardship in Romanian hospitals.</p>","PeriodicalId":8937,"journal":{"name":"Biomedicines","volume":"13 9","pages":""},"PeriodicalIF":3.9000,"publicationDate":"2025-09-12","publicationTypes":"Journal Article","fieldsOfStudy":null,"isOpenAccess":false,"openAccessPdf":"https://www.ncbi.nlm.nih.gov/pmc/articles/PMC12467799/pdf/","citationCount":"0","resultStr":"{\"title\":\"Antimicrobial Resistance of Non-Fermenting Gram-Negative Bacilli in a Multidisciplinary Hospital in Romania.\",\"authors\":\"Miruna-Maria Apetroaei, Mihaela Cristina Negulescu, Sorina Hîncu, Adriana Tăerel, Manuela Ghica, Andreea Letiția Arsene, Denisa Ioana Udeanu\",\"doi\":\"10.3390/biomedicines13092255\",\"DOIUrl\":null,\"url\":null,\"abstract\":\"<p><p><b>Background:</b> Antimicrobial resistance (AMR) in <i>Acinetobacter</i> spp., <i>Pseudomonas</i> spp., and <i>Stenotrophomonas maltophilia</i> poses a significant risk in healthcare-associated infections. Constant monitoring using quantitative metrics is necessary to direct empirical treatment. <b>Methods:</b> We conducted a retrospective observational study at the Fundeni Clinical Institute, Bucharest, Romania, analysing antibiogram data from January 2021 to December 2024. Over 200,000 microbiological records were screened, and 1189 isolates of the three targeted pathogens were included. The Multiple Antibiotic Resistance Index (MARI) was applied to evaluate selective pressure across years, hospital departments, sample types, and hospitalisation categories. <b>Results:</b><i>Acinetobacter baumannii</i> and <i>Pseudomonas aeruginosa</i> exhibited the highest resistance levels, with median MARI values exceeding 0.25 in 2024, particularly in Intensive Care and Transplant units. In contrast, <i>S. maltophilia</i> showed lower overall MARI values, though resistance variability increased in 2024 (extremes up to 0.30). Notably, resistance to carbapenems in <i>Acinetobacter</i> spp. rebounded in 2024, while <i>Pseudomonas</i> spp. demonstrated a favourable trend of decreasing resistance to several β-lactams. <b>Conclusion:</b> Our findings underscore significant interspecies differences in AMR dynamics and highlight the utility of MARI as a valuable operational indicator. Ongoing local surveillance is needed for refining empirical treatment protocols and informing antimicrobial stewardship in Romanian hospitals.</p>\",\"PeriodicalId\":8937,\"journal\":{\"name\":\"Biomedicines\",\"volume\":\"13 9\",\"pages\":\"\"},\"PeriodicalIF\":3.9000,\"publicationDate\":\"2025-09-12\",\"publicationTypes\":\"Journal Article\",\"fieldsOfStudy\":null,\"isOpenAccess\":false,\"openAccessPdf\":\"https://www.ncbi.nlm.nih.gov/pmc/articles/PMC12467799/pdf/\",\"citationCount\":\"0\",\"resultStr\":null,\"platform\":\"Semanticscholar\",\"paperid\":null,\"PeriodicalName\":\"Biomedicines\",\"FirstCategoryId\":\"5\",\"ListUrlMain\":\"https://doi.org/10.3390/biomedicines13092255\",\"RegionNum\":3,\"RegionCategory\":\"工程技术\",\"ArticlePicture\":[],\"TitleCN\":null,\"AbstractTextCN\":null,\"PMCID\":null,\"EPubDate\":\"\",\"PubModel\":\"\",\"JCR\":\"Q2\",\"JCRName\":\"BIOCHEMISTRY & MOLECULAR BIOLOGY\",\"Score\":null,\"Total\":0}","platform":"Semanticscholar","paperid":null,"PeriodicalName":"Biomedicines","FirstCategoryId":"5","ListUrlMain":"https://doi.org/10.3390/biomedicines13092255","RegionNum":3,"RegionCategory":"工程技术","ArticlePicture":[],"TitleCN":null,"AbstractTextCN":null,"PMCID":null,"EPubDate":"","PubModel":"","JCR":"Q2","JCRName":"BIOCHEMISTRY & MOLECULAR BIOLOGY","Score":null,"Total":0}
引用次数: 0

摘要

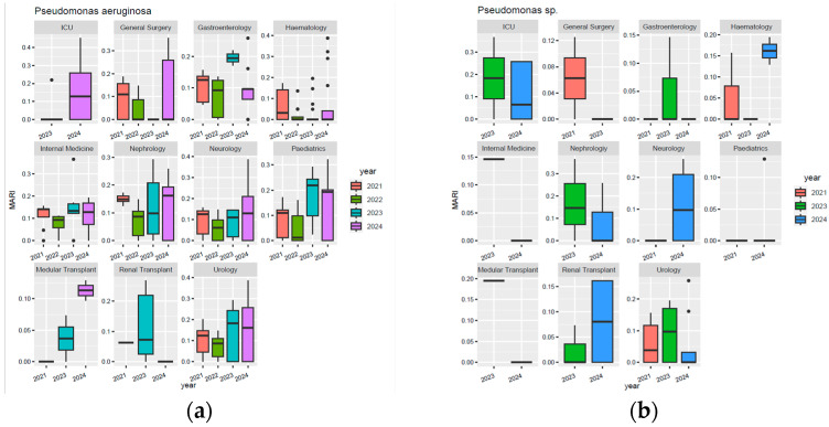
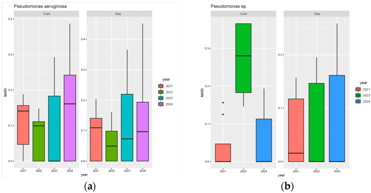
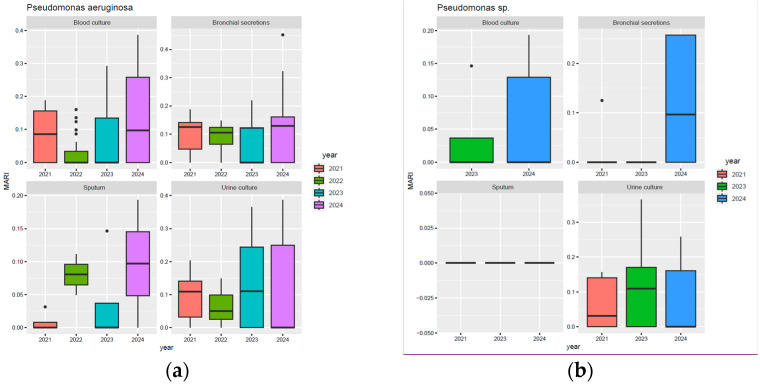
背景:不动杆菌、假单胞菌和嗜麦芽窄养单胞菌的抗微生物药物耐药性(AMR)在医疗保健相关感染中具有重要的风险。使用定量指标进行持续监测是指导经验性治疗的必要条件。方法:我们在罗马尼亚布加勒斯特的Fundeni临床研究所进行了一项回顾性观察研究,分析了2021年1月至2024年12月的抗生素谱数据。筛选了20多万份微生物学记录,包括三种目标病原体的1189株。多种抗生素耐药指数(MARI)用于评估不同年份、医院部门、样本类型和住院类别的选择压力。结果:鲍曼不动杆菌和铜绿假单胞菌表现出最高的耐药水平,2024年MARI中位数超过0.25,特别是在重症监护和移植病房。相比之下,嗜麦芽葡萄球菌的总体MARI值较低,但抗性变异性在2024年有所增加(极值高达0.30)。值得注意的是,不动杆菌对碳青霉烯类的耐药性在2024年有所回升,而假单胞菌对几种β-内酰胺类的耐药性呈下降趋势。结论:我们的研究结果强调了物种间AMR动态的显著差异,并强调了MARI作为一种有价值的操作指标的实用性。需要进行持续的地方监测,以完善经验性治疗方案,并为罗马尼亚医院的抗微生物药物管理提供信息。
本文章由计算机程序翻译,如有差异,请以英文原文为准。

Antimicrobial Resistance of Non-Fermenting Gram-Negative Bacilli in a Multidisciplinary Hospital in Romania.

Antimicrobial Resistance of Non-Fermenting Gram-Negative Bacilli in a Multidisciplinary Hospital in Romania.

Antimicrobial Resistance of Non-Fermenting Gram-Negative Bacilli in a Multidisciplinary Hospital in Romania.

Antimicrobial Resistance of Non-Fermenting Gram-Negative Bacilli in a Multidisciplinary Hospital in Romania.

Background: Antimicrobial resistance (AMR) in Acinetobacter spp., Pseudomonas spp., and Stenotrophomonas maltophilia poses a significant risk in healthcare-associated infections. Constant monitoring using quantitative metrics is necessary to direct empirical treatment. Methods: We conducted a retrospective observational study at the Fundeni Clinical Institute, Bucharest, Romania, analysing antibiogram data from January 2021 to December 2024. Over 200,000 microbiological records were screened, and 1189 isolates of the three targeted pathogens were included. The Multiple Antibiotic Resistance Index (MARI) was applied to evaluate selective pressure across years, hospital departments, sample types, and hospitalisation categories. Results:Acinetobacter baumannii and Pseudomonas aeruginosa exhibited the highest resistance levels, with median MARI values exceeding 0.25 in 2024, particularly in Intensive Care and Transplant units. In contrast, S. maltophilia showed lower overall MARI values, though resistance variability increased in 2024 (extremes up to 0.30). Notably, resistance to carbapenems in Acinetobacter spp. rebounded in 2024, while Pseudomonas spp. demonstrated a favourable trend of decreasing resistance to several β-lactams. Conclusion: Our findings underscore significant interspecies differences in AMR dynamics and highlight the utility of MARI as a valuable operational indicator. Ongoing local surveillance is needed for refining empirical treatment protocols and informing antimicrobial stewardship in Romanian hospitals.

求助全文
通过发布文献求助,成功后即可免费获取论文全文。 去求助
来源期刊
Biomedicines
Biomedicines Biochemistry, Genetics and Molecular Biology-General Biochemistry,Genetics and Molecular Biology
CiteScore
5.20
自引率
8.50%
发文量
2823
审稿时长
8 weeks
期刊介绍: Biomedicines (ISSN 2227-9059; CODEN: BIOMID) is an international, scientific, open access journal on biomedicines published quarterly online by MDPI.
×
引用
GB/T 7714-2015
复制
MLA
复制
APA
复制
导出至
BibTeX EndNote RefMan NoteFirst NoteExpress
×
提示
您的信息不完整,为了账户安全,请先补充。
现在去补充
×
提示
您因"违规操作"
具体请查看互助需知
我知道了
×
提示
确定
请完成安全验证×
copy
已复制链接
快去分享给好友吧!
我知道了
右上角分享
点击右上角分享
0
联系我们:info@booksci.cn Book学术提供免费学术资源搜索服务,方便国内外学者检索中英文文献。致力于提供最便捷和优质的服务体验。 Copyright © 2023 布克学术 All rights reserved.
京ICP备2023020795号-1
ghs 京公网安备 11010802042870号
Book学术文献互助
Book学术文献互助群
群 号:604180095
Book学术官方微信