TCF加放化疗、新辅助放化疗、斑块围手术期化疗治疗食管腺癌:一项三队列、多中心比较的结果:A4研究

IF 3.9 3区 工程技术 Q2 BIOCHEMISTRY & MOLECULAR BIOLOGY
Marco Lorenzo Bonù, Giulia Volpi, Gloria Zanni, Jacopo Balduzzi, Fabrizia Terraneo, Giusto Pignata, Giuseppina Arcangeli, Francesco Frassine, Paola Vitali, Eliana La Rocca, Simone Giacopuzzi, Jacopo Weindelmayer, Carlo Alberto De Pasqual, Martina Milazzo, Michele Pavarana, Valentina Zen, Stefano De Pascale, Uberto Fumagalli Romario, Michela Buglione, Giovanni De Manzoni
{"title":"TCF加放化疗、新辅助放化疗、斑块围手术期化疗治疗食管腺癌:一项三队列、多中心比较的结果:A4研究","authors":"Marco Lorenzo Bonù, Giulia Volpi, Gloria Zanni, Jacopo Balduzzi, Fabrizia Terraneo, Giusto Pignata, Giuseppina Arcangeli, Francesco Frassine, Paola Vitali, Eliana La Rocca, Simone Giacopuzzi, Jacopo Weindelmayer, Carlo Alberto De Pasqual, Martina Milazzo, Michele Pavarana, Valentina Zen, Stefano De Pascale, Uberto Fumagalli Romario, Michela Buglione, Giovanni De Manzoni","doi":"10.3390/biomedicines13092236","DOIUrl":null,"url":null,"abstract":"<p><p><b>Introduction:</b> Recent randomized evidence suggests that stage II-IV non metastatic esophageal adenocarcinoma is best managed with perioperative chemotherapy (CHT) and surgery. Intensification of neoadjuvant chemotherapy and radiochemotherapy are proposed before surgery in high-volume centers with the aim of increasing both systemic and locoregional control. However, few data comparing intensified RTCHT, CHT plus RTCHT and perioperative CHT with FLOT in real-life scenarios are available. <b>Methods:</b> This is a multicenter, retrospective series, including three cohorts of patients treated for esophageal adenocarcinoma: Cohort A: nRTCHT; Cohort B: TCF plus RTCHT, defined as triplet chemotherapy followed by dose-reduced triplet therapy + RT; Cohort C: perioperative chemotherapy with FLOT regimen. The primary endpoint was disease-free survival (DFS), and the secondary endpoints were pathologic complete response (pCR), pathologic lymph-node complete response (ypN0), overall survival (OS), and perioperative acute toxicity. <b>Results:</b> From January 2013 to December 2023, 142 patients were identified. All patients received multimodal therapy with radical esophagectomy. A total of 95% of patients were male; the majority of patients presented with stage cT3cN1. A total of 63 patients were treated in Cohort A (31 cases with doublet 5FU-CDDP concurrent to 50.4 Gy and 32 cases with CROSS regimen), 36 in Cohort B, and 43 in Cohort C. After a median FU of 36 months, the 3-year DFS resulted 58.6%. pCR occurred in 26 cases (18.6%). Three-year OS had a value of 72%. At univariate analysis, ypN0 was related to better DFS; cN+ disease was related with worse OS. The treatment cohort did not impact survival outcomes; however, an effect on CR was shown, with pCR in 15% (A), 36.3% (B), 11% (C) of cases, respectively (χ: 0.008). A total of 67% of patients in Cohort B experienced a ypN0. Two treatment-related deaths occurred (one in Cohort A and one in C) with a slight increase in G3 toxicity in cohort C. <b>Conclusions:</b> In this real-life multicenter series, oncological results were adequate for all three neoadjuvant strategies. TCF plus RTCHT guaranteed a higher pCR and ypN0 rate without increasing toxicity. An intensified neoadjuvant schedule, such as TCF plus RTCHT, may be useful in cases where higher tumor and nodal responses are needed. Taken together, our data highlight that further investigation is warranted before abandoning radiotherapy-based neoadjuvant approaches in esophageal and GEJ adenocarcinoma.</p>","PeriodicalId":8937,"journal":{"name":"Biomedicines","volume":"13 9","pages":""},"PeriodicalIF":3.9000,"publicationDate":"2025-09-11","publicationTypes":"Journal Article","fieldsOfStudy":null,"isOpenAccess":false,"openAccessPdf":"https://www.ncbi.nlm.nih.gov/pmc/articles/PMC12467824/pdf/","citationCount":"0","resultStr":"{\"title\":\"TCF Plus Radiochemotherapy Versus Neoadjuvant Radiochemotherapy Versus Flot Perioperative Chemotherapy in Esophageal Adenocarcinoma: The Results of a Three-Cohort, Multi-Centric Comparison: The A4 Study.\",\"authors\":\"Marco Lorenzo Bonù, Giulia Volpi, Gloria Zanni, Jacopo Balduzzi, Fabrizia Terraneo, Giusto Pignata, Giuseppina Arcangeli, Francesco Frassine, Paola Vitali, Eliana La Rocca, Simone Giacopuzzi, Jacopo Weindelmayer, Carlo Alberto De Pasqual, Martina Milazzo, Michele Pavarana, Valentina Zen, Stefano De Pascale, Uberto Fumagalli Romario, Michela Buglione, Giovanni De Manzoni\",\"doi\":\"10.3390/biomedicines13092236\",\"DOIUrl\":null,\"url\":null,\"abstract\":\"<p><p><b>Introduction:</b> Recent randomized evidence suggests that stage II-IV non metastatic esophageal adenocarcinoma is best managed with perioperative chemotherapy (CHT) and surgery. Intensification of neoadjuvant chemotherapy and radiochemotherapy are proposed before surgery in high-volume centers with the aim of increasing both systemic and locoregional control. However, few data comparing intensified RTCHT, CHT plus RTCHT and perioperative CHT with FLOT in real-life scenarios are available. <b>Methods:</b> This is a multicenter, retrospective series, including three cohorts of patients treated for esophageal adenocarcinoma: Cohort A: nRTCHT; Cohort B: TCF plus RTCHT, defined as triplet chemotherapy followed by dose-reduced triplet therapy + RT; Cohort C: perioperative chemotherapy with FLOT regimen. The primary endpoint was disease-free survival (DFS), and the secondary endpoints were pathologic complete response (pCR), pathologic lymph-node complete response (ypN0), overall survival (OS), and perioperative acute toxicity. <b>Results:</b> From January 2013 to December 2023, 142 patients were identified. All patients received multimodal therapy with radical esophagectomy. A total of 95% of patients were male; the majority of patients presented with stage cT3cN1. A total of 63 patients were treated in Cohort A (31 cases with doublet 5FU-CDDP concurrent to 50.4 Gy and 32 cases with CROSS regimen), 36 in Cohort B, and 43 in Cohort C. After a median FU of 36 months, the 3-year DFS resulted 58.6%. pCR occurred in 26 cases (18.6%). Three-year OS had a value of 72%. At univariate analysis, ypN0 was related to better DFS; cN+ disease was related with worse OS. The treatment cohort did not impact survival outcomes; however, an effect on CR was shown, with pCR in 15% (A), 36.3% (B), 11% (C) of cases, respectively (χ: 0.008). A total of 67% of patients in Cohort B experienced a ypN0. Two treatment-related deaths occurred (one in Cohort A and one in C) with a slight increase in G3 toxicity in cohort C. <b>Conclusions:</b> In this real-life multicenter series, oncological results were adequate for all three neoadjuvant strategies. TCF plus RTCHT guaranteed a higher pCR and ypN0 rate without increasing toxicity. An intensified neoadjuvant schedule, such as TCF plus RTCHT, may be useful in cases where higher tumor and nodal responses are needed. Taken together, our data highlight that further investigation is warranted before abandoning radiotherapy-based neoadjuvant approaches in esophageal and GEJ adenocarcinoma.</p>\",\"PeriodicalId\":8937,\"journal\":{\"name\":\"Biomedicines\",\"volume\":\"13 9\",\"pages\":\"\"},\"PeriodicalIF\":3.9000,\"publicationDate\":\"2025-09-11\",\"publicationTypes\":\"Journal Article\",\"fieldsOfStudy\":null,\"isOpenAccess\":false,\"openAccessPdf\":\"https://www.ncbi.nlm.nih.gov/pmc/articles/PMC12467824/pdf/\",\"citationCount\":\"0\",\"resultStr\":null,\"platform\":\"Semanticscholar\",\"paperid\":null,\"PeriodicalName\":\"Biomedicines\",\"FirstCategoryId\":\"5\",\"ListUrlMain\":\"https://doi.org/10.3390/biomedicines13092236\",\"RegionNum\":3,\"RegionCategory\":\"工程技术\",\"ArticlePicture\":[],\"TitleCN\":null,\"AbstractTextCN\":null,\"PMCID\":null,\"EPubDate\":\"\",\"PubModel\":\"\",\"JCR\":\"Q2\",\"JCRName\":\"BIOCHEMISTRY & MOLECULAR BIOLOGY\",\"Score\":null,\"Total\":0}","platform":"Semanticscholar","paperid":null,"PeriodicalName":"Biomedicines","FirstCategoryId":"5","ListUrlMain":"https://doi.org/10.3390/biomedicines13092236","RegionNum":3,"RegionCategory":"工程技术","ArticlePicture":[],"TitleCN":null,"AbstractTextCN":null,"PMCID":null,"EPubDate":"","PubModel":"","JCR":"Q2","JCRName":"BIOCHEMISTRY & MOLECULAR BIOLOGY","Score":null,"Total":0}
引用次数: 0

摘要

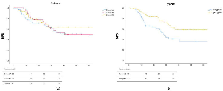
最近的随机证据表明,II-IV期非转移性食管腺癌最好的治疗方法是围手术期化疗(CHT)和手术。在高容量中心,建议在手术前加强新辅助化疗和放化疗,目的是增加全身和局部控制。然而,在现实情况下,比较强化RTCHT、CHT + RTCHT和围手术期CHT与FLOT的数据很少。方法:这是一个多中心的回顾性研究,包括三个治疗食管腺癌的队列:队列a: nRTCHT;队列B: TCF + RTCHT,定义为三联化疗后减量三联治疗+ RT;队列C:围手术期化疗FLOT方案。主要终点为无病生存期(DFS),次要终点为病理完全缓解期(pCR)、病理淋巴结完全缓解期(ypN0)、总生存期(OS)和围手术期急性毒性。结果:2013年1月至2023年12月,共发现142例患者。所有患者均接受根治性食管切除术的多模式治疗。95%的患者为男性;大多数患者表现为cT3cN1期。A组共有63例患者接受治疗(31例5FU-CDDP同时接受50.4 Gy治疗,32例接受CROSS治疗),B组36例,c组43例。中位FU为36个月后,3年DFS为58.6%。pCR检出26例(18.6%)。3年OS值为72%。单因素分析显示,ypN0与较好的DFS相关;cN+疾病与较差的OS相关。治疗队列对生存结果没有影响;然而,对CR有影响,分别有15% (A)、36.3% (B)和11% (C)的病例出现pCR (χ: 0.008)。B组共有67%的患者经历了ypN0。2例治疗相关死亡发生(A组1例,C组1例),C组G3毒性略有增加。结论:在这个真实的多中心系列研究中,肿瘤结果足以支持所有三种新辅助策略。TCF加RTCHT在不增加毒性的情况下保证了更高的pCR和ypN0率。强化的新辅助方案,如TCF + RTCHT,在需要更高肿瘤和淋巴结反应的情况下可能有用。综上所述,我们的数据强调,在放弃食管癌和食管腺癌的基于放疗的新辅助入路之前,有必要进行进一步的研究。
本文章由计算机程序翻译,如有差异,请以英文原文为准。

TCF Plus Radiochemotherapy Versus Neoadjuvant Radiochemotherapy Versus Flot Perioperative Chemotherapy in Esophageal Adenocarcinoma: The Results of a Three-Cohort, Multi-Centric Comparison: The A4 Study.

TCF Plus Radiochemotherapy Versus Neoadjuvant Radiochemotherapy Versus Flot Perioperative Chemotherapy in Esophageal Adenocarcinoma: The Results of a Three-Cohort, Multi-Centric Comparison: The A4 Study.

Introduction: Recent randomized evidence suggests that stage II-IV non metastatic esophageal adenocarcinoma is best managed with perioperative chemotherapy (CHT) and surgery. Intensification of neoadjuvant chemotherapy and radiochemotherapy are proposed before surgery in high-volume centers with the aim of increasing both systemic and locoregional control. However, few data comparing intensified RTCHT, CHT plus RTCHT and perioperative CHT with FLOT in real-life scenarios are available. Methods: This is a multicenter, retrospective series, including three cohorts of patients treated for esophageal adenocarcinoma: Cohort A: nRTCHT; Cohort B: TCF plus RTCHT, defined as triplet chemotherapy followed by dose-reduced triplet therapy + RT; Cohort C: perioperative chemotherapy with FLOT regimen. The primary endpoint was disease-free survival (DFS), and the secondary endpoints were pathologic complete response (pCR), pathologic lymph-node complete response (ypN0), overall survival (OS), and perioperative acute toxicity. Results: From January 2013 to December 2023, 142 patients were identified. All patients received multimodal therapy with radical esophagectomy. A total of 95% of patients were male; the majority of patients presented with stage cT3cN1. A total of 63 patients were treated in Cohort A (31 cases with doublet 5FU-CDDP concurrent to 50.4 Gy and 32 cases with CROSS regimen), 36 in Cohort B, and 43 in Cohort C. After a median FU of 36 months, the 3-year DFS resulted 58.6%. pCR occurred in 26 cases (18.6%). Three-year OS had a value of 72%. At univariate analysis, ypN0 was related to better DFS; cN+ disease was related with worse OS. The treatment cohort did not impact survival outcomes; however, an effect on CR was shown, with pCR in 15% (A), 36.3% (B), 11% (C) of cases, respectively (χ: 0.008). A total of 67% of patients in Cohort B experienced a ypN0. Two treatment-related deaths occurred (one in Cohort A and one in C) with a slight increase in G3 toxicity in cohort C. Conclusions: In this real-life multicenter series, oncological results were adequate for all three neoadjuvant strategies. TCF plus RTCHT guaranteed a higher pCR and ypN0 rate without increasing toxicity. An intensified neoadjuvant schedule, such as TCF plus RTCHT, may be useful in cases where higher tumor and nodal responses are needed. Taken together, our data highlight that further investigation is warranted before abandoning radiotherapy-based neoadjuvant approaches in esophageal and GEJ adenocarcinoma.

求助全文
通过发布文献求助,成功后即可免费获取论文全文。 去求助
来源期刊
Biomedicines
Biomedicines Biochemistry, Genetics and Molecular Biology-General Biochemistry,Genetics and Molecular Biology
CiteScore
5.20
自引率
8.50%
发文量
2823
审稿时长
8 weeks
期刊介绍: Biomedicines (ISSN 2227-9059; CODEN: BIOMID) is an international, scientific, open access journal on biomedicines published quarterly online by MDPI.
×
引用
GB/T 7714-2015
复制
MLA
复制
APA
复制
导出至
BibTeX EndNote RefMan NoteFirst NoteExpress
×
提示
您的信息不完整,为了账户安全,请先补充。
现在去补充
×
提示
您因"违规操作"
具体请查看互助需知
我知道了
×
提示
确定
请完成安全验证×
copy
已复制链接
快去分享给好友吧!
我知道了
右上角分享
点击右上角分享
0
联系我们:info@booksci.cn Book学术提供免费学术资源搜索服务,方便国内外学者检索中英文文献。致力于提供最便捷和优质的服务体验。 Copyright © 2023 布克学术 All rights reserved.
京ICP备2023020795号-1
ghs 京公网安备 11010802042870号
Book学术文献互助
Book学术文献互助群
群 号:604180095
Book学术官方微信