基于天然产物衍生物琥珀酸脱氢内酯钾的双protacs:一种新型EGFR降解剂的设计、合成和抗肿瘤活性

IF 3.1 4区 医学 Q3 CHEMISTRY, MEDICINAL
Ruling Shi, Peixi Zhang, Ming Chen, Weiming Lu, Meng Xu, Huagong Zeng, Jie He, Yan Wang, Yirong Lin, Jieqing Liu
{"title":"基于天然产物衍生物琥珀酸脱氢内酯钾的双protacs:一种新型EGFR降解剂的设计、合成和抗肿瘤活性","authors":"Ruling Shi,&nbsp;Peixi Zhang,&nbsp;Ming Chen,&nbsp;Weiming Lu,&nbsp;Meng Xu,&nbsp;Huagong Zeng,&nbsp;Jie He,&nbsp;Yan Wang,&nbsp;Yirong Lin,&nbsp;Jieqing Liu","doi":"10.1007/s00044-025-03434-0","DOIUrl":null,"url":null,"abstract":"<div><p>The epidermal growth factor receptor (EGFR) is overexpressed in various cancers and contributes to tumor progression and therapeutic resistance. Although EGFR-targeting small-molecule inhibitors are clinically available, their limited efficacy and acquired resistance pose major challenges. In this study, we designed and synthesized a novel class of dual proteolysis-targeting chimeras (PROTACs) incorporating the natural product derivative Potassium Dehydroandrographolide Succinate (PDS) as the protein of interest (POI) ligand. PDS was selected as the POI ligand due to its structural similarity to andrographolide, a natural compound known to inhibit EGFR signaling, suggesting that PDS may retain EGFR-binding potential despite lacking direct anti-tumor reports. Unlike conventional PROTACs, these molecules feature two CRBN E3 ligase ligands symmetrically attached via distinct linkers, thereby enhancing the likelihood of ternary complex formation and promoting more efficient EGFR degradation. Among the synthesized compounds, DP6 exhibited the most potent anti-proliferative activity in MCF-7 cells, with a 3.8-fold improvement over the parent PDS molecule. Western blotting confirmed that DP6 induced concentration-dependent EGFR degradation via the ubiquitin–proteasome system, suppressed downstream JAK2-STAT3 signaling, and promoted apoptosis. This study not only demonstrates the feasibility of utilizing structurally modified natural products as POI ligands, but also introduces a unique dual-ligand PROTAC architecture that may provide enhanced degradation potency for traditionally “undruggable” targets.</p><div><figure><div><div><picture><source><img></source></picture></div></div></figure></div></div>","PeriodicalId":699,"journal":{"name":"Medicinal Chemistry Research","volume":"34 8","pages":"1695 - 1713"},"PeriodicalIF":3.1000,"publicationDate":"2025-06-30","publicationTypes":"Journal Article","fieldsOfStudy":null,"isOpenAccess":false,"openAccessPdf":"","citationCount":"0","resultStr":"{\"title\":\"Dual-PROTACs based on natural product derivative potassium dehydrographolide succinate: design, synthesis, and antitumor activity of a novel EGFR degrader\",\"authors\":\"Ruling Shi,&nbsp;Peixi Zhang,&nbsp;Ming Chen,&nbsp;Weiming Lu,&nbsp;Meng Xu,&nbsp;Huagong Zeng,&nbsp;Jie He,&nbsp;Yan Wang,&nbsp;Yirong Lin,&nbsp;Jieqing Liu\",\"doi\":\"10.1007/s00044-025-03434-0\",\"DOIUrl\":null,\"url\":null,\"abstract\":\"<div><p>The epidermal growth factor receptor (EGFR) is overexpressed in various cancers and contributes to tumor progression and therapeutic resistance. Although EGFR-targeting small-molecule inhibitors are clinically available, their limited efficacy and acquired resistance pose major challenges. In this study, we designed and synthesized a novel class of dual proteolysis-targeting chimeras (PROTACs) incorporating the natural product derivative Potassium Dehydroandrographolide Succinate (PDS) as the protein of interest (POI) ligand. PDS was selected as the POI ligand due to its structural similarity to andrographolide, a natural compound known to inhibit EGFR signaling, suggesting that PDS may retain EGFR-binding potential despite lacking direct anti-tumor reports. Unlike conventional PROTACs, these molecules feature two CRBN E3 ligase ligands symmetrically attached via distinct linkers, thereby enhancing the likelihood of ternary complex formation and promoting more efficient EGFR degradation. Among the synthesized compounds, DP6 exhibited the most potent anti-proliferative activity in MCF-7 cells, with a 3.8-fold improvement over the parent PDS molecule. Western blotting confirmed that DP6 induced concentration-dependent EGFR degradation via the ubiquitin–proteasome system, suppressed downstream JAK2-STAT3 signaling, and promoted apoptosis. This study not only demonstrates the feasibility of utilizing structurally modified natural products as POI ligands, but also introduces a unique dual-ligand PROTAC architecture that may provide enhanced degradation potency for traditionally “undruggable” targets.</p><div><figure><div><div><picture><source><img></source></picture></div></div></figure></div></div>\",\"PeriodicalId\":699,\"journal\":{\"name\":\"Medicinal Chemistry Research\",\"volume\":\"34 8\",\"pages\":\"1695 - 1713\"},\"PeriodicalIF\":3.1000,\"publicationDate\":\"2025-06-30\",\"publicationTypes\":\"Journal Article\",\"fieldsOfStudy\":null,\"isOpenAccess\":false,\"openAccessPdf\":\"\",\"citationCount\":\"0\",\"resultStr\":null,\"platform\":\"Semanticscholar\",\"paperid\":null,\"PeriodicalName\":\"Medicinal Chemistry Research\",\"FirstCategoryId\":\"3\",\"ListUrlMain\":\"https://link.springer.com/article/10.1007/s00044-025-03434-0\",\"RegionNum\":4,\"RegionCategory\":\"医学\",\"ArticlePicture\":[],\"TitleCN\":null,\"AbstractTextCN\":null,\"PMCID\":null,\"EPubDate\":\"\",\"PubModel\":\"\",\"JCR\":\"Q3\",\"JCRName\":\"CHEMISTRY, MEDICINAL\",\"Score\":null,\"Total\":0}","platform":"Semanticscholar","paperid":null,"PeriodicalName":"Medicinal Chemistry Research","FirstCategoryId":"3","ListUrlMain":"https://link.springer.com/article/10.1007/s00044-025-03434-0","RegionNum":4,"RegionCategory":"医学","ArticlePicture":[],"TitleCN":null,"AbstractTextCN":null,"PMCID":null,"EPubDate":"","PubModel":"","JCR":"Q3","JCRName":"CHEMISTRY, MEDICINAL","Score":null,"Total":0}
引用次数: 0

摘要

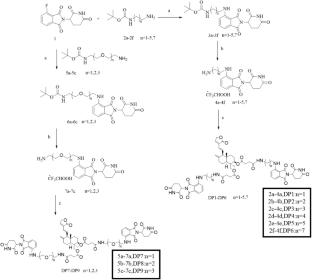
表皮生长因子受体(EGFR)在多种癌症中过度表达,并有助于肿瘤进展和治疗耐药性。尽管临床上有靶向egfr的小分子抑制剂,但其有限的疗效和获得性耐药构成了重大挑战。在这项研究中,我们设计并合成了一类新的双蛋白水解靶向嵌合体(PROTACs),其天然产物衍生物脱氢穿心花内酯琥珀酸钾(PDS)作为感兴趣蛋白(POI)配体。之所以选择PDS作为POI配体,是因为其结构与穿心花内酯相似,穿心花内酯是一种已知能抑制EGFR信号传导的天然化合物,这表明尽管缺乏直接的抗肿瘤报道,PDS可能保留了EGFR结合的潜力。与传统的PROTACs不同,这些分子具有两个CRBN E3连接酶配体,通过不同的连接体对称连接,从而提高三元复合物形成的可能性,并促进更有效的EGFR降解。在合成的化合物中,DP6在MCF-7细胞中表现出最有效的抗增殖活性,比母体PDS分子提高3.8倍。Western blotting证实DP6通过泛素-蛋白酶体系统诱导浓度依赖性EGFR降解,抑制下游JAK2-STAT3信号传导,促进细胞凋亡。这项研究不仅证明了利用结构修饰的天然产物作为POI配体的可行性,而且还引入了一种独特的双配体PROTAC结构,可以为传统的“不可药物”靶标提供增强的降解能力。
本文章由计算机程序翻译,如有差异,请以英文原文为准。

Dual-PROTACs based on natural product derivative potassium dehydrographolide succinate: design, synthesis, and antitumor activity of a novel EGFR degrader

Dual-PROTACs based on natural product derivative potassium dehydrographolide succinate: design, synthesis, and antitumor activity of a novel EGFR degrader

The epidermal growth factor receptor (EGFR) is overexpressed in various cancers and contributes to tumor progression and therapeutic resistance. Although EGFR-targeting small-molecule inhibitors are clinically available, their limited efficacy and acquired resistance pose major challenges. In this study, we designed and synthesized a novel class of dual proteolysis-targeting chimeras (PROTACs) incorporating the natural product derivative Potassium Dehydroandrographolide Succinate (PDS) as the protein of interest (POI) ligand. PDS was selected as the POI ligand due to its structural similarity to andrographolide, a natural compound known to inhibit EGFR signaling, suggesting that PDS may retain EGFR-binding potential despite lacking direct anti-tumor reports. Unlike conventional PROTACs, these molecules feature two CRBN E3 ligase ligands symmetrically attached via distinct linkers, thereby enhancing the likelihood of ternary complex formation and promoting more efficient EGFR degradation. Among the synthesized compounds, DP6 exhibited the most potent anti-proliferative activity in MCF-7 cells, with a 3.8-fold improvement over the parent PDS molecule. Western blotting confirmed that DP6 induced concentration-dependent EGFR degradation via the ubiquitin–proteasome system, suppressed downstream JAK2-STAT3 signaling, and promoted apoptosis. This study not only demonstrates the feasibility of utilizing structurally modified natural products as POI ligands, but also introduces a unique dual-ligand PROTAC architecture that may provide enhanced degradation potency for traditionally “undruggable” targets.

求助全文
通过发布文献求助,成功后即可免费获取论文全文。 去求助
来源期刊
Medicinal Chemistry Research
Medicinal Chemistry Research 医学-医药化学
CiteScore
4.70
自引率
3.80%
发文量
162
审稿时长
5.0 months
期刊介绍: Medicinal Chemistry Research (MCRE) publishes papers on a wide range of topics, favoring research with significant, new, and up-to-date information. Although the journal has a demanding peer review process, MCRE still boasts rapid publication, due in part, to the length of the submissions. The journal publishes significant research on various topics, many of which emphasize the structure-activity relationships of molecular biology.
×
引用
GB/T 7714-2015
复制
MLA
复制
APA
复制
导出至
BibTeX EndNote RefMan NoteFirst NoteExpress
×
提示
您的信息不完整,为了账户安全,请先补充。
现在去补充
×
提示
您因"违规操作"
具体请查看互助需知
我知道了
×
提示
确定
请完成安全验证×
copy
已复制链接
快去分享给好友吧!
我知道了
右上角分享
点击右上角分享
0
联系我们:info@booksci.cn Book学术提供免费学术资源搜索服务,方便国内外学者检索中英文文献。致力于提供最便捷和优质的服务体验。 Copyright © 2023 布克学术 All rights reserved.
京ICP备2023020795号-1
ghs 京公网安备 11010802042870号
Book学术文献互助
Book学术文献互助群
群 号:604180095
Book学术官方微信