CYP46A1 (CH24H)抑制剂soticlestat及其衍生物的变温核磁共振和计算分析

IF 2.2 4区 化学 Q3 CHEMISTRY, MULTIDISCIPLINARY
Wenqian Huang, Xinwei Hu, Xiaotong Lin, Maaz Khan, Chunli Qian, Jiang Wu, Fancui Meng, Guilong Zhao
{"title":"CYP46A1 (CH24H)抑制剂soticlestat及其衍生物的变温核磁共振和计算分析","authors":"Wenqian Huang,&nbsp;Xinwei Hu,&nbsp;Xiaotong Lin,&nbsp;Maaz Khan,&nbsp;Chunli Qian,&nbsp;Jiang Wu,&nbsp;Fancui Meng,&nbsp;Guilong Zhao","doi":"10.1007/s11224-025-02459-w","DOIUrl":null,"url":null,"abstract":"<div><p>Atropisomerism and restricted amide CO–N bond rotation are commonly encountered structural characteristics in drug discovery and development. Inspired by the unusual NMR spectra of soticlestat (<b>S-1</b>), a CYP46A1 inhibitor currently under development in phase 3 clinical trials, soticlestat and its 14 structurally close analogs were designed, synthesized and studied by variable-temperature <sup>13</sup>C NMR, molecular mechanics, quantum mechanics and HPLC to explore the structural characteristics that affect the restricted bond rotations and the number of stable conformations. It is concluded that there are four stable conformations at room temperature which exist as two diastereomers each as a pair of enantiomers, and the interconversion rates of these conformations are intermediate on the NMR time scale but are inseparable by HPLC, justifying that soticlestat can be developed as a mixture of four rotational isomers.</p></div>","PeriodicalId":780,"journal":{"name":"Structural Chemistry","volume":"36 4","pages":"1305 - 1329"},"PeriodicalIF":2.2000,"publicationDate":"2025-01-22","publicationTypes":"Journal Article","fieldsOfStudy":null,"isOpenAccess":false,"openAccessPdf":"","citationCount":"0","resultStr":"{\"title\":\"Conformational analysis of soticlestat, an inhibitor of CYP46A1 (CH24H), and its derivatives by variable-temperature nmr and computational methods\",\"authors\":\"Wenqian Huang,&nbsp;Xinwei Hu,&nbsp;Xiaotong Lin,&nbsp;Maaz Khan,&nbsp;Chunli Qian,&nbsp;Jiang Wu,&nbsp;Fancui Meng,&nbsp;Guilong Zhao\",\"doi\":\"10.1007/s11224-025-02459-w\",\"DOIUrl\":null,\"url\":null,\"abstract\":\"<div><p>Atropisomerism and restricted amide CO–N bond rotation are commonly encountered structural characteristics in drug discovery and development. Inspired by the unusual NMR spectra of soticlestat (<b>S-1</b>), a CYP46A1 inhibitor currently under development in phase 3 clinical trials, soticlestat and its 14 structurally close analogs were designed, synthesized and studied by variable-temperature <sup>13</sup>C NMR, molecular mechanics, quantum mechanics and HPLC to explore the structural characteristics that affect the restricted bond rotations and the number of stable conformations. It is concluded that there are four stable conformations at room temperature which exist as two diastereomers each as a pair of enantiomers, and the interconversion rates of these conformations are intermediate on the NMR time scale but are inseparable by HPLC, justifying that soticlestat can be developed as a mixture of four rotational isomers.</p></div>\",\"PeriodicalId\":780,\"journal\":{\"name\":\"Structural Chemistry\",\"volume\":\"36 4\",\"pages\":\"1305 - 1329\"},\"PeriodicalIF\":2.2000,\"publicationDate\":\"2025-01-22\",\"publicationTypes\":\"Journal Article\",\"fieldsOfStudy\":null,\"isOpenAccess\":false,\"openAccessPdf\":\"\",\"citationCount\":\"0\",\"resultStr\":null,\"platform\":\"Semanticscholar\",\"paperid\":null,\"PeriodicalName\":\"Structural Chemistry\",\"FirstCategoryId\":\"92\",\"ListUrlMain\":\"https://link.springer.com/article/10.1007/s11224-025-02459-w\",\"RegionNum\":4,\"RegionCategory\":\"化学\",\"ArticlePicture\":[],\"TitleCN\":null,\"AbstractTextCN\":null,\"PMCID\":null,\"EPubDate\":\"\",\"PubModel\":\"\",\"JCR\":\"Q3\",\"JCRName\":\"CHEMISTRY, MULTIDISCIPLINARY\",\"Score\":null,\"Total\":0}","platform":"Semanticscholar","paperid":null,"PeriodicalName":"Structural Chemistry","FirstCategoryId":"92","ListUrlMain":"https://link.springer.com/article/10.1007/s11224-025-02459-w","RegionNum":4,"RegionCategory":"化学","ArticlePicture":[],"TitleCN":null,"AbstractTextCN":null,"PMCID":null,"EPubDate":"","PubModel":"","JCR":"Q3","JCRName":"CHEMISTRY, MULTIDISCIPLINARY","Score":null,"Total":0}
引用次数: 0

摘要

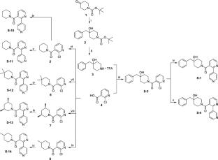
收缩异构和限制酰胺CO-N键旋转是药物发现和开发中常见的结构特征。受CYP46A1抑制剂soticlestat (S-1)异常的核磁共振谱启发,通过13C变温核磁共振、分子力学、量子力学和高效液相色谱等手段,设计、合成并研究了soticlestat及其14种结构相近的类似物,以探索影响限制键旋转和稳定构象数量的结构特征。结果表明,在室温下,索替列斯汀有4种稳定的构象,它们分别以2个非对映体的形式存在,每对对映体为一对,并且这些构象的相互转化率在核磁共振时间尺度上是中间的,但在HPLC上是不可分离的,证明索替列斯汀可以被开发为4种旋转异构体的混合物。
本文章由计算机程序翻译,如有差异,请以英文原文为准。

Conformational analysis of soticlestat, an inhibitor of CYP46A1 (CH24H), and its derivatives by variable-temperature nmr and computational methods

Conformational analysis of soticlestat, an inhibitor of CYP46A1 (CH24H), and its derivatives by variable-temperature nmr and computational methods

Atropisomerism and restricted amide CO–N bond rotation are commonly encountered structural characteristics in drug discovery and development. Inspired by the unusual NMR spectra of soticlestat (S-1), a CYP46A1 inhibitor currently under development in phase 3 clinical trials, soticlestat and its 14 structurally close analogs were designed, synthesized and studied by variable-temperature 13C NMR, molecular mechanics, quantum mechanics and HPLC to explore the structural characteristics that affect the restricted bond rotations and the number of stable conformations. It is concluded that there are four stable conformations at room temperature which exist as two diastereomers each as a pair of enantiomers, and the interconversion rates of these conformations are intermediate on the NMR time scale but are inseparable by HPLC, justifying that soticlestat can be developed as a mixture of four rotational isomers.

求助全文
通过发布文献求助,成功后即可免费获取论文全文。 去求助
来源期刊
Structural Chemistry
Structural Chemistry 化学-化学综合
CiteScore
3.80
自引率
11.80%
发文量
227
审稿时长
3.7 months
期刊介绍: Structural Chemistry is an international forum for the publication of peer-reviewed original research papers that cover the condensed and gaseous states of matter and involve numerous techniques for the determination of structure and energetics, their results, and the conclusions derived from these studies. The journal overcomes the unnatural separation in the current literature among the areas of structure determination, energetics, and applications, as well as builds a bridge to other chemical disciplines. Ist comprehensive coverage encompasses broad discussion of results, observation of relationships among various properties, and the description and application of structure and energy information in all domains of chemistry. We welcome the broadest range of accounts of research in structural chemistry involving the discussion of methodologies and structures,experimental, theoretical, and computational, and their combinations. We encourage discussions of structural information collected for their chemicaland biological significance.
×
引用
GB/T 7714-2015
复制
MLA
复制
APA
复制
导出至
BibTeX EndNote RefMan NoteFirst NoteExpress
×
提示
您的信息不完整,为了账户安全,请先补充。
现在去补充
×
提示
您因"违规操作"
具体请查看互助需知
我知道了
×
提示
确定
请完成安全验证×
copy
已复制链接
快去分享给好友吧!
我知道了
右上角分享
点击右上角分享
0
联系我们:info@booksci.cn Book学术提供免费学术资源搜索服务,方便国内外学者检索中英文文献。致力于提供最便捷和优质的服务体验。 Copyright © 2023 布克学术 All rights reserved.
京ICP备2023020795号-1
ghs 京公网安备 11010802042870号
Book学术文献互助
Book学术文献互助群
群 号:604180095
Book学术官方微信