接近地平线的大面积气簇的局部介子密度谱的天顶角依赖性

IF 0.48 Q4 Physics and Astronomy
R. P. Kokoulin, N. S. Barbashina, A. G. Bogdanov, V. S. Vorobev, E. A. Zadeba, V. V. Kindin, K. G. Kompaniets, A. Yu. Konovalova, K. I. Mannanova, A. A. Petrukhin, I. Yu. Troshin, S. S. Khokhlov, V. V. Shutenko, E. A. Yurina, I. I. Yashin
{"title":"接近地平线的大面积气簇的局部介子密度谱的天顶角依赖性","authors":"R. P. Kokoulin,&nbsp;N. S. Barbashina,&nbsp;A. G. Bogdanov,&nbsp;V. S. Vorobev,&nbsp;E. A. Zadeba,&nbsp;V. V. Kindin,&nbsp;K. G. Kompaniets,&nbsp;A. Yu. Konovalova,&nbsp;K. I. Mannanova,&nbsp;A. A. Petrukhin,&nbsp;I. Yu. Troshin,&nbsp;S. S. Khokhlov,&nbsp;V. V. Shutenko,&nbsp;E. A. Yurina,&nbsp;I. I. Yashin","doi":"10.1134/S1062873825711420","DOIUrl":null,"url":null,"abstract":"<p>The integral local muon density spectra (LMDS) of (extensive air shower) EAS at large zenith angles were reconstructed on the basis of the DECOR experimental data on muon bundles detected in a long-term measurement series from May 3, 2012, to April 7, 2023. The results were obtained at two threshold muon density values of 0.015 and 0.068 particles/m<sup>2</sup>, which corresponded to the detection of bundles with a multiplicity of at least 3 and at least 5 muons in the detector. At zenith angles less than 80°, the zenith-angle dependence of LMDS is well described by a power function of the cosine of the zenith angle. However, with a further increase in the zenith angle, this dependence changes significantly, and at angles of 87°–88°, the measured values exceed the specified simple extrapolation by about an order of magnitude. This is due to the inapplicability of the flat atmosphere approximation at such angles. A simple equation was obtained that takes into account the curvature of the Earth’s atmosphere.</p>","PeriodicalId":504,"journal":{"name":"Bulletin of the Russian Academy of Sciences: Physics","volume":"89 6","pages":"873 - 878"},"PeriodicalIF":0.4800,"publicationDate":"2025-07-15","publicationTypes":"Journal Article","fieldsOfStudy":null,"isOpenAccess":false,"openAccessPdf":"","citationCount":"0","resultStr":"{\"title\":\"Zenith-Angle Dependence of Local Muon Density Spectra of Extensive Air Shower near the Horizon\",\"authors\":\"R. P. Kokoulin,&nbsp;N. S. Barbashina,&nbsp;A. G. Bogdanov,&nbsp;V. S. Vorobev,&nbsp;E. A. Zadeba,&nbsp;V. V. Kindin,&nbsp;K. G. Kompaniets,&nbsp;A. Yu. Konovalova,&nbsp;K. I. Mannanova,&nbsp;A. A. Petrukhin,&nbsp;I. Yu. Troshin,&nbsp;S. S. Khokhlov,&nbsp;V. V. Shutenko,&nbsp;E. A. Yurina,&nbsp;I. I. Yashin\",\"doi\":\"10.1134/S1062873825711420\",\"DOIUrl\":null,\"url\":null,\"abstract\":\"<p>The integral local muon density spectra (LMDS) of (extensive air shower) EAS at large zenith angles were reconstructed on the basis of the DECOR experimental data on muon bundles detected in a long-term measurement series from May 3, 2012, to April 7, 2023. The results were obtained at two threshold muon density values of 0.015 and 0.068 particles/m<sup>2</sup>, which corresponded to the detection of bundles with a multiplicity of at least 3 and at least 5 muons in the detector. At zenith angles less than 80°, the zenith-angle dependence of LMDS is well described by a power function of the cosine of the zenith angle. However, with a further increase in the zenith angle, this dependence changes significantly, and at angles of 87°–88°, the measured values exceed the specified simple extrapolation by about an order of magnitude. This is due to the inapplicability of the flat atmosphere approximation at such angles. A simple equation was obtained that takes into account the curvature of the Earth’s atmosphere.</p>\",\"PeriodicalId\":504,\"journal\":{\"name\":\"Bulletin of the Russian Academy of Sciences: Physics\",\"volume\":\"89 6\",\"pages\":\"873 - 878\"},\"PeriodicalIF\":0.4800,\"publicationDate\":\"2025-07-15\",\"publicationTypes\":\"Journal Article\",\"fieldsOfStudy\":null,\"isOpenAccess\":false,\"openAccessPdf\":\"\",\"citationCount\":\"0\",\"resultStr\":null,\"platform\":\"Semanticscholar\",\"paperid\":null,\"PeriodicalName\":\"Bulletin of the Russian Academy of Sciences: Physics\",\"FirstCategoryId\":\"1085\",\"ListUrlMain\":\"https://link.springer.com/article/10.1134/S1062873825711420\",\"RegionNum\":0,\"RegionCategory\":null,\"ArticlePicture\":[],\"TitleCN\":null,\"AbstractTextCN\":null,\"PMCID\":null,\"EPubDate\":\"\",\"PubModel\":\"\",\"JCR\":\"Q4\",\"JCRName\":\"Physics and Astronomy\",\"Score\":null,\"Total\":0}","platform":"Semanticscholar","paperid":null,"PeriodicalName":"Bulletin of the Russian Academy of Sciences: Physics","FirstCategoryId":"1085","ListUrlMain":"https://link.springer.com/article/10.1134/S1062873825711420","RegionNum":0,"RegionCategory":null,"ArticlePicture":[],"TitleCN":null,"AbstractTextCN":null,"PMCID":null,"EPubDate":"","PubModel":"","JCR":"Q4","JCRName":"Physics and Astronomy","Score":null,"Total":0}
引用次数: 0

摘要

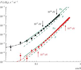
基于2012年5月3日至2023年4月7日的长期观测序列的DECOR实验数据,重建了大天顶角(广域风淋)EAS的局部积分μ子密度谱(LMDS)。结果在两个阈值μ子密度分别为0.015和0.068粒子/m2时得到,对应于检测器中检测到至少3个和至少5个μ子的多重束。在天顶角小于80°时,LMDS的天顶角依赖关系可以用天顶角余弦的幂函数很好地描述。然而,随着天顶角的进一步增加,这种依赖关系发生了显著变化,在87°-88°的角度上,测量值超过了指定的简单外推法约一个数量级。这是由于平坦大气近似在这种角度下不适用。考虑到地球大气层的曲率,得到了一个简单的方程。
本文章由计算机程序翻译,如有差异,请以英文原文为准。

Zenith-Angle Dependence of Local Muon Density Spectra of Extensive Air Shower near the Horizon

Zenith-Angle Dependence of Local Muon Density Spectra of Extensive Air Shower near the Horizon

The integral local muon density spectra (LMDS) of (extensive air shower) EAS at large zenith angles were reconstructed on the basis of the DECOR experimental data on muon bundles detected in a long-term measurement series from May 3, 2012, to April 7, 2023. The results were obtained at two threshold muon density values of 0.015 and 0.068 particles/m2, which corresponded to the detection of bundles with a multiplicity of at least 3 and at least 5 muons in the detector. At zenith angles less than 80°, the zenith-angle dependence of LMDS is well described by a power function of the cosine of the zenith angle. However, with a further increase in the zenith angle, this dependence changes significantly, and at angles of 87°–88°, the measured values exceed the specified simple extrapolation by about an order of magnitude. This is due to the inapplicability of the flat atmosphere approximation at such angles. A simple equation was obtained that takes into account the curvature of the Earth’s atmosphere.

求助全文
通过发布文献求助,成功后即可免费获取论文全文。 去求助
来源期刊
Bulletin of the Russian Academy of Sciences: Physics
Bulletin of the Russian Academy of Sciences: Physics Physics and Astronomy-Physics and Astronomy (all)
CiteScore
0.90
自引率
0.00%
发文量
251
期刊介绍: Bulletin of the Russian Academy of Sciences: Physics is an international peer reviewed journal published with the participation of the Russian Academy of Sciences. It presents full-text articles (regular,  letters  to  the editor, reviews) with the most recent results in miscellaneous fields of physics and astronomy: nuclear physics, cosmic rays, condensed matter physics, plasma physics, optics and photonics, nanotechnologies, solar and astrophysics, physical applications in material sciences, life sciences, etc. Bulletin of the Russian Academy of Sciences: Physics  focuses on the most relevant multidisciplinary topics in natural sciences, both fundamental and applied. Manuscripts can be submitted in Russian and English languages and are subject to peer review. Accepted articles are usually combined in thematic issues on certain topics according to the journal editorial policy. Authors featured in the journal represent renowned scientific laboratories and institutes from different countries, including large international collaborations. There are globally recognized researchers among the authors: Nobel laureates and recipients of other awards, and members of national academies of sciences and international scientific societies.
×
引用
GB/T 7714-2015
复制
MLA
复制
APA
复制
导出至
BibTeX EndNote RefMan NoteFirst NoteExpress
×
提示
您的信息不完整,为了账户安全,请先补充。
现在去补充
×
提示
您因"违规操作"
具体请查看互助需知
我知道了
×
提示
确定
请完成安全验证×
copy
已复制链接
快去分享给好友吧!
我知道了
右上角分享
点击右上角分享
0
联系我们:info@booksci.cn Book学术提供免费学术资源搜索服务,方便国内外学者检索中英文文献。致力于提供最便捷和优质的服务体验。 Copyright © 2023 布克学术 All rights reserved.
京ICP备2023020795号-1
ghs 京公网安备 11010802042870号
Book学术文献互助
Book学术文献互助群
群 号:604180095
Book学术官方微信