揭示过渡金属掺杂ZnO的掺杂位点偏好:对电催化应用的影响

IF 2.8 4区 化学 Q3 CHEMISTRY, PHYSICAL
Alannisse M. Santos-Rivera, Joshua A. Ortiz-Fernandez, Juan A. Santana
{"title":"揭示过渡金属掺杂ZnO的掺杂位点偏好:对电催化应用的影响","authors":"Alannisse M. Santos-Rivera,&nbsp;Joshua A. Ortiz-Fernandez,&nbsp;Juan A. Santana","doi":"10.1007/s12678-025-00959-1","DOIUrl":null,"url":null,"abstract":"<div><p>Dopant positioning within metal oxide lattices has a significant influence on catalytic performance, yet it remains underexplored in many transition metal-doped systems. Using density functional theory (DFT) calculations, this study demonstrates that cobalt (Co) and manganese (Mn) dopants preferentially integrate into the bulk of the ZnO lattice, thereby limiting their availability at active surface sites critical for efficient oxygen evolution and oxygen reduction reactions. The results also indicate that hydroxyl coordination effectively stabilizes these dopants at the surface, enhancing overall catalytic activity. These findings underscore the importance of tailoring dopant location to optimize reaction kinetics in electrocatalytic applications, laying the groundwork for experimental validation through in situ techniques such as X-ray photoelectron spectroscopy (XPS) and X-ray absorption spectroscopy (XAS).</p><h3>Graphical Abstract</h3>\n<div><figure><div><div><picture><source><img></source></picture></div></div></figure></div></div>","PeriodicalId":535,"journal":{"name":"Electrocatalysis","volume":"16 5","pages":"808 - 814"},"PeriodicalIF":2.8000,"publicationDate":"2025-05-10","publicationTypes":"Journal Article","fieldsOfStudy":null,"isOpenAccess":false,"openAccessPdf":"","citationCount":"0","resultStr":"{\"title\":\"Unraveling Dopant Site Preferences in Transition Metal-Doped ZnO: Implications for Electrocatalytic Applications\",\"authors\":\"Alannisse M. Santos-Rivera,&nbsp;Joshua A. Ortiz-Fernandez,&nbsp;Juan A. Santana\",\"doi\":\"10.1007/s12678-025-00959-1\",\"DOIUrl\":null,\"url\":null,\"abstract\":\"<div><p>Dopant positioning within metal oxide lattices has a significant influence on catalytic performance, yet it remains underexplored in many transition metal-doped systems. Using density functional theory (DFT) calculations, this study demonstrates that cobalt (Co) and manganese (Mn) dopants preferentially integrate into the bulk of the ZnO lattice, thereby limiting their availability at active surface sites critical for efficient oxygen evolution and oxygen reduction reactions. The results also indicate that hydroxyl coordination effectively stabilizes these dopants at the surface, enhancing overall catalytic activity. These findings underscore the importance of tailoring dopant location to optimize reaction kinetics in electrocatalytic applications, laying the groundwork for experimental validation through in situ techniques such as X-ray photoelectron spectroscopy (XPS) and X-ray absorption spectroscopy (XAS).</p><h3>Graphical Abstract</h3>\\n<div><figure><div><div><picture><source><img></source></picture></div></div></figure></div></div>\",\"PeriodicalId\":535,\"journal\":{\"name\":\"Electrocatalysis\",\"volume\":\"16 5\",\"pages\":\"808 - 814\"},\"PeriodicalIF\":2.8000,\"publicationDate\":\"2025-05-10\",\"publicationTypes\":\"Journal Article\",\"fieldsOfStudy\":null,\"isOpenAccess\":false,\"openAccessPdf\":\"\",\"citationCount\":\"0\",\"resultStr\":null,\"platform\":\"Semanticscholar\",\"paperid\":null,\"PeriodicalName\":\"Electrocatalysis\",\"FirstCategoryId\":\"92\",\"ListUrlMain\":\"https://link.springer.com/article/10.1007/s12678-025-00959-1\",\"RegionNum\":4,\"RegionCategory\":\"化学\",\"ArticlePicture\":[],\"TitleCN\":null,\"AbstractTextCN\":null,\"PMCID\":null,\"EPubDate\":\"\",\"PubModel\":\"\",\"JCR\":\"Q3\",\"JCRName\":\"CHEMISTRY, PHYSICAL\",\"Score\":null,\"Total\":0}","platform":"Semanticscholar","paperid":null,"PeriodicalName":"Electrocatalysis","FirstCategoryId":"92","ListUrlMain":"https://link.springer.com/article/10.1007/s12678-025-00959-1","RegionNum":4,"RegionCategory":"化学","ArticlePicture":[],"TitleCN":null,"AbstractTextCN":null,"PMCID":null,"EPubDate":"","PubModel":"","JCR":"Q3","JCRName":"CHEMISTRY, PHYSICAL","Score":null,"Total":0}
引用次数: 0

摘要

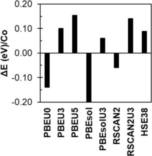
金属氧化物晶格内的掺杂定位对催化性能有重要影响,但在许多过渡金属掺杂体系中仍未得到充分研究。利用密度泛函理论(DFT)计算,本研究表明钴(Co)和锰(Mn)掺杂剂优先集成到ZnO晶格的主体中,从而限制了它们在有效析氧和氧还原反应的关键活性表面位点的可用性。结果还表明,羟基配位有效地稳定了这些掺杂剂的表面,提高了整体催化活性。这些发现强调了调整掺杂位置以优化电催化应用中的反应动力学的重要性,为通过x射线光电子能谱(XPS)和x射线吸收能谱(XAS)等原位技术进行实验验证奠定了基础。图形抽象
本文章由计算机程序翻译,如有差异,请以英文原文为准。

Unraveling Dopant Site Preferences in Transition Metal-Doped ZnO: Implications for Electrocatalytic Applications

Unraveling Dopant Site Preferences in Transition Metal-Doped ZnO: Implications for Electrocatalytic Applications

Dopant positioning within metal oxide lattices has a significant influence on catalytic performance, yet it remains underexplored in many transition metal-doped systems. Using density functional theory (DFT) calculations, this study demonstrates that cobalt (Co) and manganese (Mn) dopants preferentially integrate into the bulk of the ZnO lattice, thereby limiting their availability at active surface sites critical for efficient oxygen evolution and oxygen reduction reactions. The results also indicate that hydroxyl coordination effectively stabilizes these dopants at the surface, enhancing overall catalytic activity. These findings underscore the importance of tailoring dopant location to optimize reaction kinetics in electrocatalytic applications, laying the groundwork for experimental validation through in situ techniques such as X-ray photoelectron spectroscopy (XPS) and X-ray absorption spectroscopy (XAS).

Graphical Abstract

求助全文
通过发布文献求助,成功后即可免费获取论文全文。 去求助
来源期刊
Electrocatalysis
Electrocatalysis CHEMISTRY, PHYSICAL-ELECTROCHEMISTRY
CiteScore
4.80
自引率
6.50%
发文量
93
审稿时长
>12 weeks
期刊介绍: Electrocatalysis is cross-disciplinary in nature, and attracts the interest of chemists, physicists, biochemists, surface and materials scientists, and engineers. Electrocatalysis provides the unique international forum solely dedicated to the exchange of novel ideas in electrocatalysis for academic, government, and industrial researchers. Quick publication of new results, concepts, and inventions made involving Electrocatalysis stimulates scientific discoveries and breakthroughs, promotes the scientific and engineering concepts that are critical to the development of novel electrochemical technologies. Electrocatalysis publishes original submissions in the form of letters, research papers, review articles, book reviews, and educational papers. Letters are preliminary reports that communicate new and important findings. Regular research papers are complete reports of new results, and their analysis and discussion. Review articles critically and constructively examine development in areas of electrocatalysis that are of broad interest and importance. Educational papers discuss important concepts whose understanding is vital to advances in theoretical and experimental aspects of electrochemical reactions.
×
引用
GB/T 7714-2015
复制
MLA
复制
APA
复制
导出至
BibTeX EndNote RefMan NoteFirst NoteExpress
×
提示
您的信息不完整,为了账户安全,请先补充。
现在去补充
×
提示
您因"违规操作"
具体请查看互助需知
我知道了
×
提示
确定
请完成安全验证×
copy
已复制链接
快去分享给好友吧!
我知道了
右上角分享
点击右上角分享
0
联系我们:info@booksci.cn Book学术提供免费学术资源搜索服务,方便国内外学者检索中英文文献。致力于提供最便捷和优质的服务体验。 Copyright © 2023 布克学术 All rights reserved.
京ICP备2023020795号-1
ghs 京公网安备 11010802042870号
Book学术文献互助
Book学术文献互助群
群 号:604180095
Book学术官方微信