等温催化剂晶粒中不可逆过程的热力学

IF 0.8 4区 化学 Q4 CHEMISTRY, PHYSICAL
A. P. Gerasev
{"title":"等温催化剂晶粒中不可逆过程的热力学","authors":"A. P. Gerasev","doi":"10.1134/S0036024425700815","DOIUrl":null,"url":null,"abstract":"<p>A numerical analysis of local and total entropy production in the simplest linear and nonlinear reaction-diffusion systems depending on the boundary and initial conditions has been performed. It is shown that the results of calculations for linear and nonlinear differential equations for large values of the equilibrium constant are practically indistinguishable. It was established that the total entropy production in a system is not a problem solution functional possessing extreme properties. As a selective potential with extreme properties it is possible to use entropy production in the system only due to one of the irreversible processes—diffusion or reaction.</p>","PeriodicalId":767,"journal":{"name":"Russian Journal of Physical Chemistry A","volume":"99 7","pages":"1461 - 1467"},"PeriodicalIF":0.8000,"publicationDate":"2025-07-06","publicationTypes":"Journal Article","fieldsOfStudy":null,"isOpenAccess":false,"openAccessPdf":"","citationCount":"0","resultStr":"{\"title\":\"Thermodynamics of Irreversible Processes in the Isothermal Catalyst Grain\",\"authors\":\"A. P. Gerasev\",\"doi\":\"10.1134/S0036024425700815\",\"DOIUrl\":null,\"url\":null,\"abstract\":\"<p>A numerical analysis of local and total entropy production in the simplest linear and nonlinear reaction-diffusion systems depending on the boundary and initial conditions has been performed. It is shown that the results of calculations for linear and nonlinear differential equations for large values of the equilibrium constant are practically indistinguishable. It was established that the total entropy production in a system is not a problem solution functional possessing extreme properties. As a selective potential with extreme properties it is possible to use entropy production in the system only due to one of the irreversible processes—diffusion or reaction.</p>\",\"PeriodicalId\":767,\"journal\":{\"name\":\"Russian Journal of Physical Chemistry A\",\"volume\":\"99 7\",\"pages\":\"1461 - 1467\"},\"PeriodicalIF\":0.8000,\"publicationDate\":\"2025-07-06\",\"publicationTypes\":\"Journal Article\",\"fieldsOfStudy\":null,\"isOpenAccess\":false,\"openAccessPdf\":\"\",\"citationCount\":\"0\",\"resultStr\":null,\"platform\":\"Semanticscholar\",\"paperid\":null,\"PeriodicalName\":\"Russian Journal of Physical Chemistry A\",\"FirstCategoryId\":\"92\",\"ListUrlMain\":\"https://link.springer.com/article/10.1134/S0036024425700815\",\"RegionNum\":4,\"RegionCategory\":\"化学\",\"ArticlePicture\":[],\"TitleCN\":null,\"AbstractTextCN\":null,\"PMCID\":null,\"EPubDate\":\"\",\"PubModel\":\"\",\"JCR\":\"Q4\",\"JCRName\":\"CHEMISTRY, PHYSICAL\",\"Score\":null,\"Total\":0}","platform":"Semanticscholar","paperid":null,"PeriodicalName":"Russian Journal of Physical Chemistry A","FirstCategoryId":"92","ListUrlMain":"https://link.springer.com/article/10.1134/S0036024425700815","RegionNum":4,"RegionCategory":"化学","ArticlePicture":[],"TitleCN":null,"AbstractTextCN":null,"PMCID":null,"EPubDate":"","PubModel":"","JCR":"Q4","JCRName":"CHEMISTRY, PHYSICAL","Score":null,"Total":0}
引用次数: 0

摘要

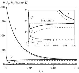
本文对最简单的线性和非线性反应扩散系统在边界条件和初始条件下的局部熵和总熵产生进行了数值分析。结果表明,当平衡常数较大时,线性和非线性微分方程的计算结果实际上是难以区分的。证明了系统的总熵产生不是一个具有极值性质的问题解泛函。作为一种具有极端性质的选择势,只有在不可逆过程中的扩散或反应过程中才有可能在系统中使用熵产。
本文章由计算机程序翻译,如有差异,请以英文原文为准。

Thermodynamics of Irreversible Processes in the Isothermal Catalyst Grain

Thermodynamics of Irreversible Processes in the Isothermal Catalyst Grain

A numerical analysis of local and total entropy production in the simplest linear and nonlinear reaction-diffusion systems depending on the boundary and initial conditions has been performed. It is shown that the results of calculations for linear and nonlinear differential equations for large values of the equilibrium constant are practically indistinguishable. It was established that the total entropy production in a system is not a problem solution functional possessing extreme properties. As a selective potential with extreme properties it is possible to use entropy production in the system only due to one of the irreversible processes—diffusion or reaction.

求助全文
通过发布文献求助,成功后即可免费获取论文全文。 去求助
来源期刊
CiteScore
1.20
自引率
14.30%
发文量
376
审稿时长
5.1 months
期刊介绍: Russian Journal of Physical Chemistry A. Focus on Chemistry (Zhurnal Fizicheskoi Khimii), founded in 1930, offers a comprehensive review of theoretical and experimental research from the Russian Academy of Sciences, leading research and academic centers from Russia and from all over the world. Articles are devoted to chemical thermodynamics and thermochemistry, biophysical chemistry, photochemistry and magnetochemistry, materials structure, quantum chemistry, physical chemistry of nanomaterials and solutions, surface phenomena and adsorption, and methods and techniques of physicochemical studies.
×
引用
GB/T 7714-2015
复制
MLA
复制
APA
复制
导出至
BibTeX EndNote RefMan NoteFirst NoteExpress
×
提示
您的信息不完整,为了账户安全,请先补充。
现在去补充
×
提示
您因"违规操作"
具体请查看互助需知
我知道了
×
提示
确定
请完成安全验证×
copy
已复制链接
快去分享给好友吧!
我知道了
右上角分享
点击右上角分享
0
联系我们:info@booksci.cn Book学术提供免费学术资源搜索服务,方便国内外学者检索中英文文献。致力于提供最便捷和优质的服务体验。 Copyright © 2023 布克学术 All rights reserved.
京ICP备2023020795号-1
ghs 京公网安备 11010802042870号
Book学术文献互助
Book学术文献互助群
群 号:604180095
Book学术官方微信