单宁酸和枣籽纳米纤维素增强驼皮明胶制备生物纳米复合膜

IF 3.2 4区 农林科学 Q2 FOOD SCIENCE & TECHNOLOGY
Raouf Aslam, Nilushni Sivapragasam, Kehinde Ganiyat Lawal, Zienab F.R. Ahmed, Sajid Maqsood
{"title":"单宁酸和枣籽纳米纤维素增强驼皮明胶制备生物纳米复合膜","authors":"Raouf Aslam,&nbsp;Nilushni Sivapragasam,&nbsp;Kehinde Ganiyat Lawal,&nbsp;Zienab F.R. Ahmed,&nbsp;Sajid Maqsood","doi":"10.1007/s11483-025-10000-z","DOIUrl":null,"url":null,"abstract":"<div><p>Gelatin films face limitations in strength and water stability, making bionanocomposites an effective strategy to enhance their functional properties for food packaging applications. This study explores the effects of environmentally-friendly-extracted date seed nanocellulose (DSNC; 4–8%) and tannic acid (TA; 1–5%) as bio-based multifunctional components on structural, thermal, antioxidant, and barrier properties of bionanocomposite camel skin gelatin (CSG) films. A comparison was drawn with films fabricated using porcine and bovine gelatin sources. The overall functionality of the bionanocomposite films and crystallinity of the developed films were assessed through fourier transform infrared (FTIR) spectroscopy, differential scanning calorimetry (DSC), scanning electron microscopy (SEM) and X-ray diffraction (XRD) techniques. The results suggest that TA induced crosslinking and DSNC facilitated hydrogen bonding, improved the mechanical, antioxidant, barrier and thermal properties of the developed films. In particular, composite CSG films having 5% TA and 8% DSNC exhibited 12.2% lower water solubility, 36.4% lower transparency, significantly higher DPPH radical scavenging (4.77 mmol TEAC/mL) and FRAP (7.20 mmol TEAC/mL) activities, 117.3% higher tensile strength (17.55 MPa), 73.6% lower elongation at break, and 57.7% lower water vapor transmission rate in comparison to control, respectively. The composite films containing 5% TA and 8% DSNC were observed to degrade up to 95% in four weeks under controlled conditions. The results from DSC further highlighted the improved thermal stability of composite films. Overall, the incorporation of TA and DSNC in camel skin derived gelatin films presents an effective approach to valorize byproducts coming from camel slaughter and date processing industries for producing sustainable, multifunctional materials for food packaging applications.</p><h3>Graphical Abstract</h3>\n<div><figure><div><div><picture><source><img></source></picture></div></div></figure></div></div>","PeriodicalId":564,"journal":{"name":"Food Biophysics","volume":"20 3","pages":""},"PeriodicalIF":3.2000,"publicationDate":"2025-08-05","publicationTypes":"Journal Article","fieldsOfStudy":null,"isOpenAccess":false,"openAccessPdf":"","citationCount":"0","resultStr":"{\"title\":\"Bionanocomposite Films from Camel Skin Gelatin Reinforced with Tannic Acid and Date Seed Nanocellulose\",\"authors\":\"Raouf Aslam,&nbsp;Nilushni Sivapragasam,&nbsp;Kehinde Ganiyat Lawal,&nbsp;Zienab F.R. Ahmed,&nbsp;Sajid Maqsood\",\"doi\":\"10.1007/s11483-025-10000-z\",\"DOIUrl\":null,\"url\":null,\"abstract\":\"<div><p>Gelatin films face limitations in strength and water stability, making bionanocomposites an effective strategy to enhance their functional properties for food packaging applications. This study explores the effects of environmentally-friendly-extracted date seed nanocellulose (DSNC; 4–8%) and tannic acid (TA; 1–5%) as bio-based multifunctional components on structural, thermal, antioxidant, and barrier properties of bionanocomposite camel skin gelatin (CSG) films. A comparison was drawn with films fabricated using porcine and bovine gelatin sources. The overall functionality of the bionanocomposite films and crystallinity of the developed films were assessed through fourier transform infrared (FTIR) spectroscopy, differential scanning calorimetry (DSC), scanning electron microscopy (SEM) and X-ray diffraction (XRD) techniques. The results suggest that TA induced crosslinking and DSNC facilitated hydrogen bonding, improved the mechanical, antioxidant, barrier and thermal properties of the developed films. In particular, composite CSG films having 5% TA and 8% DSNC exhibited 12.2% lower water solubility, 36.4% lower transparency, significantly higher DPPH radical scavenging (4.77 mmol TEAC/mL) and FRAP (7.20 mmol TEAC/mL) activities, 117.3% higher tensile strength (17.55 MPa), 73.6% lower elongation at break, and 57.7% lower water vapor transmission rate in comparison to control, respectively. The composite films containing 5% TA and 8% DSNC were observed to degrade up to 95% in four weeks under controlled conditions. The results from DSC further highlighted the improved thermal stability of composite films. Overall, the incorporation of TA and DSNC in camel skin derived gelatin films presents an effective approach to valorize byproducts coming from camel slaughter and date processing industries for producing sustainable, multifunctional materials for food packaging applications.</p><h3>Graphical Abstract</h3>\\n<div><figure><div><div><picture><source><img></source></picture></div></div></figure></div></div>\",\"PeriodicalId\":564,\"journal\":{\"name\":\"Food Biophysics\",\"volume\":\"20 3\",\"pages\":\"\"},\"PeriodicalIF\":3.2000,\"publicationDate\":\"2025-08-05\",\"publicationTypes\":\"Journal Article\",\"fieldsOfStudy\":null,\"isOpenAccess\":false,\"openAccessPdf\":\"\",\"citationCount\":\"0\",\"resultStr\":null,\"platform\":\"Semanticscholar\",\"paperid\":null,\"PeriodicalName\":\"Food Biophysics\",\"FirstCategoryId\":\"97\",\"ListUrlMain\":\"https://link.springer.com/article/10.1007/s11483-025-10000-z\",\"RegionNum\":4,\"RegionCategory\":\"农林科学\",\"ArticlePicture\":[],\"TitleCN\":null,\"AbstractTextCN\":null,\"PMCID\":null,\"EPubDate\":\"\",\"PubModel\":\"\",\"JCR\":\"Q2\",\"JCRName\":\"FOOD SCIENCE & TECHNOLOGY\",\"Score\":null,\"Total\":0}","platform":"Semanticscholar","paperid":null,"PeriodicalName":"Food Biophysics","FirstCategoryId":"97","ListUrlMain":"https://link.springer.com/article/10.1007/s11483-025-10000-z","RegionNum":4,"RegionCategory":"农林科学","ArticlePicture":[],"TitleCN":null,"AbstractTextCN":null,"PMCID":null,"EPubDate":"","PubModel":"","JCR":"Q2","JCRName":"FOOD SCIENCE & TECHNOLOGY","Score":null,"Total":0}
引用次数: 0

摘要

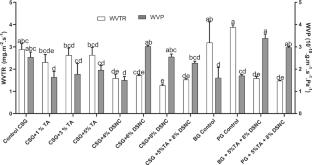
明胶薄膜在强度和水稳定性方面存在局限性,这使得生物纳米复合材料成为食品包装应用中增强其功能特性的有效策略。本研究探讨了环境友好型提取的枣籽纳米纤维素(DSNC; 4-8%)和单宁酸(TA; 1-5%)作为生物基多功能组分对生物复合骆驼皮明胶(CSG)薄膜结构、热、抗氧化和屏障性能的影响。用猪明胶和牛明胶制备的薄膜进行了比较。通过傅里叶变换红外光谱(FTIR)、差示扫描量热法(DSC)、扫描电子显微镜(SEM)和x射线衍射(XRD)技术对生物纳米复合膜的整体功能和结晶度进行了评价。结果表明,TA诱导交联和DSNC促进了氢键,提高了显影膜的机械性能、抗氧化性能、屏障性能和热性能。其中,含5% TA和8% DSNC的复合CSG膜水溶性降低12.2%,透明度降低36.4%,DPPH自由基清除率(4.77 mmol TEAC/mL)和FRAP活性(7.20 mmol TEAC/mL)显著提高,抗拉强度(17.55 MPa)提高117.3%,断裂伸长率降低73.6%,水蒸气透过率降低57.7%。在控制条件下,观察到含有5% TA和8% DSNC的复合膜在四周内降解高达95%。DSC的结果进一步表明复合膜的热稳定性得到了改善。总的来说,将TA和DSNC掺入骆驼皮衍生明胶薄膜中,是一种有效的方法,可以使骆驼屠宰和枣加工行业产生的副产品产生价值,从而生产出可持续的、多功能的食品包装材料。图形抽象
本文章由计算机程序翻译,如有差异,请以英文原文为准。

Bionanocomposite Films from Camel Skin Gelatin Reinforced with Tannic Acid and Date Seed Nanocellulose

Bionanocomposite Films from Camel Skin Gelatin Reinforced with Tannic Acid and Date Seed Nanocellulose

Gelatin films face limitations in strength and water stability, making bionanocomposites an effective strategy to enhance their functional properties for food packaging applications. This study explores the effects of environmentally-friendly-extracted date seed nanocellulose (DSNC; 4–8%) and tannic acid (TA; 1–5%) as bio-based multifunctional components on structural, thermal, antioxidant, and barrier properties of bionanocomposite camel skin gelatin (CSG) films. A comparison was drawn with films fabricated using porcine and bovine gelatin sources. The overall functionality of the bionanocomposite films and crystallinity of the developed films were assessed through fourier transform infrared (FTIR) spectroscopy, differential scanning calorimetry (DSC), scanning electron microscopy (SEM) and X-ray diffraction (XRD) techniques. The results suggest that TA induced crosslinking and DSNC facilitated hydrogen bonding, improved the mechanical, antioxidant, barrier and thermal properties of the developed films. In particular, composite CSG films having 5% TA and 8% DSNC exhibited 12.2% lower water solubility, 36.4% lower transparency, significantly higher DPPH radical scavenging (4.77 mmol TEAC/mL) and FRAP (7.20 mmol TEAC/mL) activities, 117.3% higher tensile strength (17.55 MPa), 73.6% lower elongation at break, and 57.7% lower water vapor transmission rate in comparison to control, respectively. The composite films containing 5% TA and 8% DSNC were observed to degrade up to 95% in four weeks under controlled conditions. The results from DSC further highlighted the improved thermal stability of composite films. Overall, the incorporation of TA and DSNC in camel skin derived gelatin films presents an effective approach to valorize byproducts coming from camel slaughter and date processing industries for producing sustainable, multifunctional materials for food packaging applications.

Graphical Abstract

求助全文
通过发布文献求助,成功后即可免费获取论文全文。 去求助
来源期刊
Food Biophysics
Food Biophysics 工程技术-食品科技
CiteScore
5.80
自引率
3.30%
发文量
58
审稿时长
1 months
期刊介绍: Biophysical studies of foods and agricultural products involve research at the interface of chemistry, biology, and engineering, as well as the new interdisciplinary areas of materials science and nanotechnology. Such studies include but are certainly not limited to research in the following areas: the structure of food molecules, biopolymers, and biomaterials on the molecular, microscopic, and mesoscopic scales; the molecular basis of structure generation and maintenance in specific foods, feeds, food processing operations, and agricultural products; the mechanisms of microbial growth, death and antimicrobial action; structure/function relationships in food and agricultural biopolymers; novel biophysical techniques (spectroscopic, microscopic, thermal, rheological, etc.) for structural and dynamical characterization of food and agricultural materials and products; the properties of amorphous biomaterials and their influence on chemical reaction rate, microbial growth, or sensory properties; and molecular mechanisms of taste and smell. A hallmark of such research is a dependence on various methods of instrumental analysis that provide information on the molecular level, on various physical and chemical theories used to understand the interrelations among biological molecules, and an attempt to relate macroscopic chemical and physical properties and biological functions to the molecular structure and microscopic organization of the biological material.
×
引用
GB/T 7714-2015
复制
MLA
复制
APA
复制
导出至
BibTeX EndNote RefMan NoteFirst NoteExpress
×
提示
您的信息不完整,为了账户安全,请先补充。
现在去补充
×
提示
您因"违规操作"
具体请查看互助需知
我知道了
×
提示
确定
请完成安全验证×
copy
已复制链接
快去分享给好友吧!
我知道了
右上角分享
点击右上角分享
0
联系我们:info@booksci.cn Book学术提供免费学术资源搜索服务,方便国内外学者检索中英文文献。致力于提供最便捷和优质的服务体验。 Copyright © 2023 布克学术 All rights reserved.
京ICP备2023020795号-1
ghs 京公网安备 11010802042870号
Book学术文献互助
Book学术文献互助群
群 号:604180095
Book学术官方微信