不同核苷酸衍生物富gc DNA基质的荧光标记及其在生物芯片上的杂交分析

IF 1.7 4区 化学 Q4 BIOCHEMISTRY & MOLECULAR BIOLOGY
I. O. Barinova, V. E. Shershov, V. O. Varachev, S. A. Surzhikov, I. V. Grechishnikova, O. A. Zasedateleva, T. V. Nasedkina, A. V. Chudinov
{"title":"不同核苷酸衍生物富gc DNA基质的荧光标记及其在生物芯片上的杂交分析","authors":"I. O. Barinova,&nbsp;V. E. Shershov,&nbsp;V. O. Varachev,&nbsp;S. A. Surzhikov,&nbsp;I. V. Grechishnikova,&nbsp;O. A. Zasedateleva,&nbsp;T. V. Nasedkina,&nbsp;A. V. Chudinov","doi":"10.1134/S1068162024606918","DOIUrl":null,"url":null,"abstract":"<p><b>Objective:</b> We investigated the efficiency of labeling the GC-rich promoter region of the <i>TERT</i> gene in the human genome with derivatives of 5′-triphosphates of 2′-deoxyuridine (dU) and 2'-deoxycytidine (dC) containing cyanine dyes Cy5 and Cy7 as a fluorescent label. <b>Methods:</b> The effect of modified nucleotides on the efficiency of the polymerase chain reaction was evaluated by real-time PCR, and the extent of nucleotide incorporation into the PCR product was also determined. The efficiency of DNA matrix labeling was determined by the intensity of fluorescent signal during allele-specific hybridization on a biological microarray (biochip). <b>Results and Discussion:</b> The highest level of biochip gel drops fluorescence was observed for dU-Cy7 derivatives compared to dU- and dC-Cy5 derivatives. At the same time, in the case of GC-rich DNA matrix, the use of dC-Cy5 derivatives provided a fundamentally better result compared to dU-Cy5 derivative. Thus, modified Cy7 analogs capable of incorporation into DNA during PCR are less dependent on the GC composition of the DNA matrix and are more universal fluorescent labels for diagnostic purposes. <b>Conclusions:</b> Further application of modified Cy7 analogs in the development of laboratory-on-a-chip test systems seems to be the most promising.</p>","PeriodicalId":758,"journal":{"name":"Russian Journal of Bioorganic Chemistry","volume":"51 3","pages":"1249 - 1254"},"PeriodicalIF":1.7000,"publicationDate":"2025-06-03","publicationTypes":"Journal Article","fieldsOfStudy":null,"isOpenAccess":false,"openAccessPdf":"","citationCount":"0","resultStr":"{\"title\":\"Fluorescence Labeling of GC-Rich DNA Matrix with Different Nucleotide Derivatives for Hybridization Analysis on a Biological Microarray\",\"authors\":\"I. O. Barinova,&nbsp;V. E. Shershov,&nbsp;V. O. Varachev,&nbsp;S. A. Surzhikov,&nbsp;I. V. Grechishnikova,&nbsp;O. A. Zasedateleva,&nbsp;T. V. Nasedkina,&nbsp;A. V. Chudinov\",\"doi\":\"10.1134/S1068162024606918\",\"DOIUrl\":null,\"url\":null,\"abstract\":\"<p><b>Objective:</b> We investigated the efficiency of labeling the GC-rich promoter region of the <i>TERT</i> gene in the human genome with derivatives of 5′-triphosphates of 2′-deoxyuridine (dU) and 2'-deoxycytidine (dC) containing cyanine dyes Cy5 and Cy7 as a fluorescent label. <b>Methods:</b> The effect of modified nucleotides on the efficiency of the polymerase chain reaction was evaluated by real-time PCR, and the extent of nucleotide incorporation into the PCR product was also determined. The efficiency of DNA matrix labeling was determined by the intensity of fluorescent signal during allele-specific hybridization on a biological microarray (biochip). <b>Results and Discussion:</b> The highest level of biochip gel drops fluorescence was observed for dU-Cy7 derivatives compared to dU- and dC-Cy5 derivatives. At the same time, in the case of GC-rich DNA matrix, the use of dC-Cy5 derivatives provided a fundamentally better result compared to dU-Cy5 derivative. Thus, modified Cy7 analogs capable of incorporation into DNA during PCR are less dependent on the GC composition of the DNA matrix and are more universal fluorescent labels for diagnostic purposes. <b>Conclusions:</b> Further application of modified Cy7 analogs in the development of laboratory-on-a-chip test systems seems to be the most promising.</p>\",\"PeriodicalId\":758,\"journal\":{\"name\":\"Russian Journal of Bioorganic Chemistry\",\"volume\":\"51 3\",\"pages\":\"1249 - 1254\"},\"PeriodicalIF\":1.7000,\"publicationDate\":\"2025-06-03\",\"publicationTypes\":\"Journal Article\",\"fieldsOfStudy\":null,\"isOpenAccess\":false,\"openAccessPdf\":\"\",\"citationCount\":\"0\",\"resultStr\":null,\"platform\":\"Semanticscholar\",\"paperid\":null,\"PeriodicalName\":\"Russian Journal of Bioorganic Chemistry\",\"FirstCategoryId\":\"92\",\"ListUrlMain\":\"https://link.springer.com/article/10.1134/S1068162024606918\",\"RegionNum\":4,\"RegionCategory\":\"化学\",\"ArticlePicture\":[],\"TitleCN\":null,\"AbstractTextCN\":null,\"PMCID\":null,\"EPubDate\":\"\",\"PubModel\":\"\",\"JCR\":\"Q4\",\"JCRName\":\"BIOCHEMISTRY & MOLECULAR BIOLOGY\",\"Score\":null,\"Total\":0}","platform":"Semanticscholar","paperid":null,"PeriodicalName":"Russian Journal of Bioorganic Chemistry","FirstCategoryId":"92","ListUrlMain":"https://link.springer.com/article/10.1134/S1068162024606918","RegionNum":4,"RegionCategory":"化学","ArticlePicture":[],"TitleCN":null,"AbstractTextCN":null,"PMCID":null,"EPubDate":"","PubModel":"","JCR":"Q4","JCRName":"BIOCHEMISTRY & MOLECULAR BIOLOGY","Score":null,"Total":0}
引用次数: 0

摘要

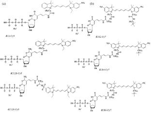
目的:研究用含菁染料Cy5和Cy7的2'-脱氧尿苷(dU)和2'-脱氧胞苷(dC)的5 '-三磷酸衍生物作为荧光标记人类基因组中TERT基因富gc启动子区域的效率。方法:采用实时荧光定量PCR评价修饰后的核苷酸对聚合酶链反应效率的影响,并测定核苷酸在聚合酶链反应产物中的掺入程度。在生物微阵列(生物芯片)上进行等位基因特异性杂交时,荧光信号的强度决定了DNA基质标记的效率。结果和讨论:与dU-和dC-Cy5衍生物相比,dU- cy7衍生物的生物芯片凝胶滴荧光水平最高。同时,在富含gc的DNA基质中,使用dC-Cy5衍生物的结果比使用dU-Cy5衍生物的结果要好得多。因此,在PCR过程中能够掺入DNA的修饰Cy7类似物较少依赖于DNA基质的GC组成,并且是用于诊断目的的更通用的荧光标记。结论:改性Cy7类似物在芯片实验室测试系统开发中的应用前景广阔。
本文章由计算机程序翻译,如有差异,请以英文原文为准。

Fluorescence Labeling of GC-Rich DNA Matrix with Different Nucleotide Derivatives for Hybridization Analysis on a Biological Microarray

Fluorescence Labeling of GC-Rich DNA Matrix with Different Nucleotide Derivatives for Hybridization Analysis on a Biological Microarray

Objective: We investigated the efficiency of labeling the GC-rich promoter region of the TERT gene in the human genome with derivatives of 5′-triphosphates of 2′-deoxyuridine (dU) and 2'-deoxycytidine (dC) containing cyanine dyes Cy5 and Cy7 as a fluorescent label. Methods: The effect of modified nucleotides on the efficiency of the polymerase chain reaction was evaluated by real-time PCR, and the extent of nucleotide incorporation into the PCR product was also determined. The efficiency of DNA matrix labeling was determined by the intensity of fluorescent signal during allele-specific hybridization on a biological microarray (biochip). Results and Discussion: The highest level of biochip gel drops fluorescence was observed for dU-Cy7 derivatives compared to dU- and dC-Cy5 derivatives. At the same time, in the case of GC-rich DNA matrix, the use of dC-Cy5 derivatives provided a fundamentally better result compared to dU-Cy5 derivative. Thus, modified Cy7 analogs capable of incorporation into DNA during PCR are less dependent on the GC composition of the DNA matrix and are more universal fluorescent labels for diagnostic purposes. Conclusions: Further application of modified Cy7 analogs in the development of laboratory-on-a-chip test systems seems to be the most promising.

求助全文
通过发布文献求助,成功后即可免费获取论文全文。 去求助
来源期刊
Russian Journal of Bioorganic Chemistry
Russian Journal of Bioorganic Chemistry 生物-生化与分子生物学
CiteScore
1.80
自引率
10.00%
发文量
118
审稿时长
3 months
期刊介绍: Russian Journal of Bioorganic Chemistry publishes reviews and original experimental and theoretical studies on the structure, function, structure–activity relationships, and synthesis of biopolymers, such as proteins, nucleic acids, polysaccharides, mixed biopolymers, and their complexes, and low-molecular-weight biologically active compounds (peptides, sugars, lipids, antibiotics, etc.). The journal also covers selected aspects of neuro- and immunochemistry, biotechnology, and ecology.
×
引用
GB/T 7714-2015
复制
MLA
复制
APA
复制
导出至
BibTeX EndNote RefMan NoteFirst NoteExpress
×
提示
您的信息不完整,为了账户安全,请先补充。
现在去补充
×
提示
您因"违规操作"
具体请查看互助需知
我知道了
×
提示
确定
请完成安全验证×
copy
已复制链接
快去分享给好友吧!
我知道了
右上角分享
点击右上角分享
0
联系我们:info@booksci.cn Book学术提供免费学术资源搜索服务,方便国内外学者检索中英文文献。致力于提供最便捷和优质的服务体验。 Copyright © 2023 布克学术 All rights reserved.
京ICP备2023020795号-1
ghs 京公网安备 11010802042870号
Book学术文献互助
Book学术文献互助群
群 号:604180095
Book学术官方微信