帕金森病患者四种主要运动症状与在家运动之间的关系:一项横断面研究

IF 3 Q2 CLINICAL NEUROLOGY
Yuichi Hirakawa, Hiroaki Sakurai, Kazuya Takeda, Soichiro Koyama, Masanobu Iwai, Ikuo Motoya, Yoshikiyo Kanada, Nobutoshi Kawamura, Mami Kawamura, Shigeo Tanabe
{"title":"帕金森病患者四种主要运动症状与在家运动之间的关系:一项横断面研究","authors":"Yuichi Hirakawa, Hiroaki Sakurai, Kazuya Takeda, Soichiro Koyama, Masanobu Iwai, Ikuo Motoya, Yoshikiyo Kanada, Nobutoshi Kawamura, Mami Kawamura, Shigeo Tanabe","doi":"10.3390/neurolint17090139","DOIUrl":null,"url":null,"abstract":"<p><p><b>Background/Objectives</b>: Individuals with Parkinson's disease (PD) often experience four major motor symptoms-tremor, rigidity, bradykinesia, and postural instability/gait disorder. Although these symptoms have been shown to affect activities of daily living, their impact on the level of at-home physical activity (PA) in this population remains unexplored. We aimed to investigate the relationship between the four major motor symptoms of PD and at-home PA in these individuals. <b>Methods</b>: This retrospective cross-sectional study included 17 individuals with PD. We examined the relationship between the Movement Disorder Society-sponsored revision of the Unified Parkinson's Disease Rating Scale Part 3 score and the time spent in three PA intensities (sedentary behavior, light PA [LPA], and moderate-to-vigorous PA) within the home. Pearson's correlation coefficient was used for statistical analysis. <b>Results</b>: In the initial step analysis, a significant negative correlation was observed between the overall motor symptom score and the time spent in LPA inside the home (r<sub>s</sub> [95% confidence interval]: -0.72 [-0.93 to -0.25]; <i>p</i> < 0.01). In the second step analysis, a significant negative correlation was observed between the bradykinesia score and the time spent in LPA inside the home (r<sub>s</sub>: -0.74 [-0.92 to -0.30]; <i>p</i> < 0.01). <b>Conclusions</b>: Among the four major motor symptoms, only the severity of bradykinesia influenced the time spent in LPA inside the home. Thus, rehabilitation treatment focusing on bradykinesia may be beneficial for increasing the time spent in LPA inside the home for individuals with PD.</p>","PeriodicalId":19130,"journal":{"name":"Neurology International","volume":"17 9","pages":""},"PeriodicalIF":3.0000,"publicationDate":"2025-09-03","publicationTypes":"Journal Article","fieldsOfStudy":null,"isOpenAccess":false,"openAccessPdf":"https://www.ncbi.nlm.nih.gov/pmc/articles/PMC12472460/pdf/","citationCount":"0","resultStr":"{\"title\":\"Relationship Between Each of the Four Major Motor Symptoms and At-Home Physical Activity in Individuals with Parkinson's Disease: A Cross-Sectional Study.\",\"authors\":\"Yuichi Hirakawa, Hiroaki Sakurai, Kazuya Takeda, Soichiro Koyama, Masanobu Iwai, Ikuo Motoya, Yoshikiyo Kanada, Nobutoshi Kawamura, Mami Kawamura, Shigeo Tanabe\",\"doi\":\"10.3390/neurolint17090139\",\"DOIUrl\":null,\"url\":null,\"abstract\":\"<p><p><b>Background/Objectives</b>: Individuals with Parkinson's disease (PD) often experience four major motor symptoms-tremor, rigidity, bradykinesia, and postural instability/gait disorder. Although these symptoms have been shown to affect activities of daily living, their impact on the level of at-home physical activity (PA) in this population remains unexplored. We aimed to investigate the relationship between the four major motor symptoms of PD and at-home PA in these individuals. <b>Methods</b>: This retrospective cross-sectional study included 17 individuals with PD. We examined the relationship between the Movement Disorder Society-sponsored revision of the Unified Parkinson's Disease Rating Scale Part 3 score and the time spent in three PA intensities (sedentary behavior, light PA [LPA], and moderate-to-vigorous PA) within the home. Pearson's correlation coefficient was used for statistical analysis. <b>Results</b>: In the initial step analysis, a significant negative correlation was observed between the overall motor symptom score and the time spent in LPA inside the home (r<sub>s</sub> [95% confidence interval]: -0.72 [-0.93 to -0.25]; <i>p</i> < 0.01). In the second step analysis, a significant negative correlation was observed between the bradykinesia score and the time spent in LPA inside the home (r<sub>s</sub>: -0.74 [-0.92 to -0.30]; <i>p</i> < 0.01). <b>Conclusions</b>: Among the four major motor symptoms, only the severity of bradykinesia influenced the time spent in LPA inside the home. Thus, rehabilitation treatment focusing on bradykinesia may be beneficial for increasing the time spent in LPA inside the home for individuals with PD.</p>\",\"PeriodicalId\":19130,\"journal\":{\"name\":\"Neurology International\",\"volume\":\"17 9\",\"pages\":\"\"},\"PeriodicalIF\":3.0000,\"publicationDate\":\"2025-09-03\",\"publicationTypes\":\"Journal Article\",\"fieldsOfStudy\":null,\"isOpenAccess\":false,\"openAccessPdf\":\"https://www.ncbi.nlm.nih.gov/pmc/articles/PMC12472460/pdf/\",\"citationCount\":\"0\",\"resultStr\":null,\"platform\":\"Semanticscholar\",\"paperid\":null,\"PeriodicalName\":\"Neurology International\",\"FirstCategoryId\":\"1085\",\"ListUrlMain\":\"https://doi.org/10.3390/neurolint17090139\",\"RegionNum\":0,\"RegionCategory\":null,\"ArticlePicture\":[],\"TitleCN\":null,\"AbstractTextCN\":null,\"PMCID\":null,\"EPubDate\":\"\",\"PubModel\":\"\",\"JCR\":\"Q2\",\"JCRName\":\"CLINICAL NEUROLOGY\",\"Score\":null,\"Total\":0}","platform":"Semanticscholar","paperid":null,"PeriodicalName":"Neurology International","FirstCategoryId":"1085","ListUrlMain":"https://doi.org/10.3390/neurolint17090139","RegionNum":0,"RegionCategory":null,"ArticlePicture":[],"TitleCN":null,"AbstractTextCN":null,"PMCID":null,"EPubDate":"","PubModel":"","JCR":"Q2","JCRName":"CLINICAL NEUROLOGY","Score":null,"Total":0}
引用次数: 0

摘要

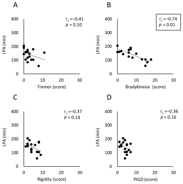
背景/目的:帕金森病(PD)患者经常经历四种主要的运动症状:震颤、强直、运动迟缓和姿势不稳定/步态障碍。尽管这些症状已被证明会影响日常生活活动,但它们对这一人群中家庭体育活动(PA)水平的影响仍未得到研究。我们的目的是调查PD的四种主要运动症状与这些个体的家庭PA之间的关系。方法:回顾性横断面研究纳入17例PD患者。我们检查了运动障碍学会赞助的统一帕金森病评定量表第3部分评分与在家中进行三种活动强度(久坐行为,轻度活动强度[LPA]和中度至剧烈活动强度)的时间之间的关系。采用Pearson相关系数进行统计分析。结果:在初始步骤分析中,整体运动症状评分与在家中进行LPA的时间呈显著负相关(rs[95%置信区间]:-0.72[-0.93至-0.25];p < 0.01)。在第二步分析中,运动迟缓得分与LPA在家中度过的时间呈显著负相关(rs: -0.74[-0.92至-0.30];p < 0.01)。结论:在四种主要运动症状中,只有运动迟缓的严重程度影响在家中进行LPA的时间。因此,专注于运动迟缓的康复治疗可能有利于增加PD患者在家中进行LPA的时间。
本文章由计算机程序翻译,如有差异,请以英文原文为准。

Relationship Between Each of the Four Major Motor Symptoms and At-Home Physical Activity in Individuals with Parkinson's Disease: A Cross-Sectional Study.

Relationship Between Each of the Four Major Motor Symptoms and At-Home Physical Activity in Individuals with Parkinson's Disease: A Cross-Sectional Study.

Relationship Between Each of the Four Major Motor Symptoms and At-Home Physical Activity in Individuals with Parkinson's Disease: A Cross-Sectional Study.

Relationship Between Each of the Four Major Motor Symptoms and At-Home Physical Activity in Individuals with Parkinson's Disease: A Cross-Sectional Study.

Background/Objectives: Individuals with Parkinson's disease (PD) often experience four major motor symptoms-tremor, rigidity, bradykinesia, and postural instability/gait disorder. Although these symptoms have been shown to affect activities of daily living, their impact on the level of at-home physical activity (PA) in this population remains unexplored. We aimed to investigate the relationship between the four major motor symptoms of PD and at-home PA in these individuals. Methods: This retrospective cross-sectional study included 17 individuals with PD. We examined the relationship between the Movement Disorder Society-sponsored revision of the Unified Parkinson's Disease Rating Scale Part 3 score and the time spent in three PA intensities (sedentary behavior, light PA [LPA], and moderate-to-vigorous PA) within the home. Pearson's correlation coefficient was used for statistical analysis. Results: In the initial step analysis, a significant negative correlation was observed between the overall motor symptom score and the time spent in LPA inside the home (rs [95% confidence interval]: -0.72 [-0.93 to -0.25]; p < 0.01). In the second step analysis, a significant negative correlation was observed between the bradykinesia score and the time spent in LPA inside the home (rs: -0.74 [-0.92 to -0.30]; p < 0.01). Conclusions: Among the four major motor symptoms, only the severity of bradykinesia influenced the time spent in LPA inside the home. Thus, rehabilitation treatment focusing on bradykinesia may be beneficial for increasing the time spent in LPA inside the home for individuals with PD.

求助全文
通过发布文献求助,成功后即可免费获取论文全文。 去求助
来源期刊
Neurology International
Neurology International CLINICAL NEUROLOGY-
CiteScore
3.70
自引率
3.30%
发文量
69
审稿时长
11 weeks
×
引用
GB/T 7714-2015
复制
MLA
复制
APA
复制
导出至
BibTeX EndNote RefMan NoteFirst NoteExpress
×
提示
您的信息不完整,为了账户安全,请先补充。
现在去补充
×
提示
您因"违规操作"
具体请查看互助需知
我知道了
×
提示
确定
请完成安全验证×
copy
已复制链接
快去分享给好友吧!
我知道了
右上角分享
点击右上角分享
0
联系我们:info@booksci.cn Book学术提供免费学术资源搜索服务,方便国内外学者检索中英文文献。致力于提供最便捷和优质的服务体验。 Copyright © 2023 布克学术 All rights reserved.
京ICP备2023020795号-1
ghs 京公网安备 11010802042870号
Book学术文献互助
Book学术文献互助群
群 号:604180095
Book学术官方微信