利用少周期脉冲控制纳米结构的性能

IF 0.7 4区 物理与天体物理 Q4 PHYSICS, MULTIDISCIPLINARY
R. M. Arkhipov, P. A. Belov, M. V. Arkhipov, A. V. Pakhomov, N. N. Rosanov
{"title":"利用少周期脉冲控制纳米结构的性能","authors":"R. M. Arkhipov,&nbsp;P. A. Belov,&nbsp;M. V. Arkhipov,&nbsp;A. V. Pakhomov,&nbsp;N. N. Rosanov","doi":"10.3103/S1068335625600184","DOIUrl":null,"url":null,"abstract":"<p>Based on the numerical solution of the time-dependent Schrödinger equation, we study the interaction of attosecond electromagnetic pulses with a particle in a one-dimensional deep rectangular quantum well. It is shown that when a unipolar pulse affects this system, the change in the level populations occurs more efficiently and faster than under the action of bipolar multicycle pulses with a zero electric area.</p>","PeriodicalId":503,"journal":{"name":"Bulletin of the Lebedev Physics Institute","volume":"52 1 supplement","pages":"S27 - S34"},"PeriodicalIF":0.7000,"publicationDate":"2025-05-31","publicationTypes":"Journal Article","fieldsOfStudy":null,"isOpenAccess":false,"openAccessPdf":"","citationCount":"0","resultStr":"{\"title\":\"Control of the Properties of Nanostructures Using Few-Cycle Pulses\",\"authors\":\"R. M. Arkhipov,&nbsp;P. A. Belov,&nbsp;M. V. Arkhipov,&nbsp;A. V. Pakhomov,&nbsp;N. N. Rosanov\",\"doi\":\"10.3103/S1068335625600184\",\"DOIUrl\":null,\"url\":null,\"abstract\":\"<p>Based on the numerical solution of the time-dependent Schrödinger equation, we study the interaction of attosecond electromagnetic pulses with a particle in a one-dimensional deep rectangular quantum well. It is shown that when a unipolar pulse affects this system, the change in the level populations occurs more efficiently and faster than under the action of bipolar multicycle pulses with a zero electric area.</p>\",\"PeriodicalId\":503,\"journal\":{\"name\":\"Bulletin of the Lebedev Physics Institute\",\"volume\":\"52 1 supplement\",\"pages\":\"S27 - S34\"},\"PeriodicalIF\":0.7000,\"publicationDate\":\"2025-05-31\",\"publicationTypes\":\"Journal Article\",\"fieldsOfStudy\":null,\"isOpenAccess\":false,\"openAccessPdf\":\"\",\"citationCount\":\"0\",\"resultStr\":null,\"platform\":\"Semanticscholar\",\"paperid\":null,\"PeriodicalName\":\"Bulletin of the Lebedev Physics Institute\",\"FirstCategoryId\":\"101\",\"ListUrlMain\":\"https://link.springer.com/article/10.3103/S1068335625600184\",\"RegionNum\":4,\"RegionCategory\":\"物理与天体物理\",\"ArticlePicture\":[],\"TitleCN\":null,\"AbstractTextCN\":null,\"PMCID\":null,\"EPubDate\":\"\",\"PubModel\":\"\",\"JCR\":\"Q4\",\"JCRName\":\"PHYSICS, MULTIDISCIPLINARY\",\"Score\":null,\"Total\":0}","platform":"Semanticscholar","paperid":null,"PeriodicalName":"Bulletin of the Lebedev Physics Institute","FirstCategoryId":"101","ListUrlMain":"https://link.springer.com/article/10.3103/S1068335625600184","RegionNum":4,"RegionCategory":"物理与天体物理","ArticlePicture":[],"TitleCN":null,"AbstractTextCN":null,"PMCID":null,"EPubDate":"","PubModel":"","JCR":"Q4","JCRName":"PHYSICS, MULTIDISCIPLINARY","Score":null,"Total":0}
引用次数: 0

摘要

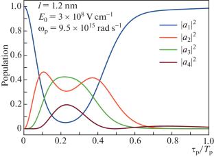
基于时间相关Schrödinger方程的数值解,研究了一维深矩形量子阱中阿秒电磁脉冲与粒子的相互作用。结果表明,当单极脉冲作用于该系统时,能级居群的变化比在零电面积的双极多周期脉冲作用下更有效和更快。
本文章由计算机程序翻译,如有差异,请以英文原文为准。

Control of the Properties of Nanostructures Using Few-Cycle Pulses

Control of the Properties of Nanostructures Using Few-Cycle Pulses

Based on the numerical solution of the time-dependent Schrödinger equation, we study the interaction of attosecond electromagnetic pulses with a particle in a one-dimensional deep rectangular quantum well. It is shown that when a unipolar pulse affects this system, the change in the level populations occurs more efficiently and faster than under the action of bipolar multicycle pulses with a zero electric area.

求助全文
通过发布文献求助,成功后即可免费获取论文全文。 去求助
来源期刊
Bulletin of the Lebedev Physics Institute
Bulletin of the Lebedev Physics Institute PHYSICS, MULTIDISCIPLINARY-
CiteScore
0.70
自引率
25.00%
发文量
41
审稿时长
6-12 weeks
期刊介绍: Bulletin of the Lebedev Physics Institute is an international peer reviewed journal that publishes results of new original experimental and theoretical studies on all topics of physics: theoretical physics; atomic and molecular physics; nuclear physics; optics; lasers; condensed matter; physics of solids; biophysics, and others.
×
引用
GB/T 7714-2015
复制
MLA
复制
APA
复制
导出至
BibTeX EndNote RefMan NoteFirst NoteExpress
×
提示
您的信息不完整,为了账户安全,请先补充。
现在去补充
×
提示
您因"违规操作"
具体请查看互助需知
我知道了
×
提示
确定
请完成安全验证×
copy
已复制链接
快去分享给好友吧!
我知道了
右上角分享
点击右上角分享
0
联系我们:info@booksci.cn Book学术提供免费学术资源搜索服务,方便国内外学者检索中英文文献。致力于提供最便捷和优质的服务体验。 Copyright © 2023 布克学术 All rights reserved.
京ICP备2023020795号-1
ghs 京公网安备 11010802042870号
Book学术文献互助
Book学术文献互助群
群 号:604180095
Book学术官方微信