船底座-人马座和胸骨臂之间是否有类似的拉德克里夫波?

IF 0.8 4区 物理与天体物理 Q3 ASTRONOMY & ASTROPHYSICS
V. V. Bobylev
{"title":"船底座-人马座和胸骨臂之间是否有类似的拉德克里夫波?","authors":"V. V. Bobylev","doi":"10.1134/S1063773725700100","DOIUrl":null,"url":null,"abstract":"<p>The most complete sample of galactic maser sources and radio stars with trigonometric parallaxes, proper motions and radial velocities measured by the VLBI method has been compiled based on literature data. These sources are associated with young stars located in high mass star forming regions. The rotation parameters of the Galaxy have been determined based on 156 masers with relative parallax errors less than 10<span>\\(\\%\\)</span>, located further than 3 kpc from the galactic center. The linear rotation velocity of the Galaxy at the solar distance <span>\\(R_{0}\\)</span> is <span>\\(V_{0}=243.9\\pm 3.9\\)</span> km s<span>\\({}^{-1}\\)</span>. A very narrow chain of masers <span>\\(3{-}4\\)</span> kpc long, elongated in the <span>\\(l\\sim 40^{\\circ}\\)</span> direction, passing from a segment of the Carina-Sagittarius spiral arm to the Scutum arm, has been studied. A number of authors have hypothesized that this is a possible analogue of the Radcliffe wave. In the present work, no noticeable periodic perturbations of vertical coordinates and velocities were found in this structure. On the other hand, on the diagram ‘‘<span>\\(\\ln(R/R_{0}){-}\\theta\\)</span>’’ this chain of masers has the form of a segment of a logarithmic spiral with a pitch angle of <span>\\(-48^{\\circ}\\)</span>. Perhaps this chain of masers belongs to a jet extending from the end of the bar, rotating rigidly with the angular velocity of the bar.</p>","PeriodicalId":55443,"journal":{"name":"Astronomy Letters-A Journal of Astronomy and Space Astrophysics","volume":"50 12","pages":"796 - 806"},"PeriodicalIF":0.8000,"publicationDate":"2025-06-27","publicationTypes":"Journal Article","fieldsOfStudy":null,"isOpenAccess":false,"openAccessPdf":"","citationCount":"0","resultStr":"{\"title\":\"Is There an Analogue of the Radcliffe Wave between the Carina-Sagittarius and the Scutum Arms?\",\"authors\":\"V. V. Bobylev\",\"doi\":\"10.1134/S1063773725700100\",\"DOIUrl\":null,\"url\":null,\"abstract\":\"<p>The most complete sample of galactic maser sources and radio stars with trigonometric parallaxes, proper motions and radial velocities measured by the VLBI method has been compiled based on literature data. These sources are associated with young stars located in high mass star forming regions. The rotation parameters of the Galaxy have been determined based on 156 masers with relative parallax errors less than 10<span>\\\\(\\\\%\\\\)</span>, located further than 3 kpc from the galactic center. The linear rotation velocity of the Galaxy at the solar distance <span>\\\\(R_{0}\\\\)</span> is <span>\\\\(V_{0}=243.9\\\\pm 3.9\\\\)</span> km s<span>\\\\({}^{-1}\\\\)</span>. A very narrow chain of masers <span>\\\\(3{-}4\\\\)</span> kpc long, elongated in the <span>\\\\(l\\\\sim 40^{\\\\circ}\\\\)</span> direction, passing from a segment of the Carina-Sagittarius spiral arm to the Scutum arm, has been studied. A number of authors have hypothesized that this is a possible analogue of the Radcliffe wave. In the present work, no noticeable periodic perturbations of vertical coordinates and velocities were found in this structure. On the other hand, on the diagram ‘‘<span>\\\\(\\\\ln(R/R_{0}){-}\\\\theta\\\\)</span>’’ this chain of masers has the form of a segment of a logarithmic spiral with a pitch angle of <span>\\\\(-48^{\\\\circ}\\\\)</span>. Perhaps this chain of masers belongs to a jet extending from the end of the bar, rotating rigidly with the angular velocity of the bar.</p>\",\"PeriodicalId\":55443,\"journal\":{\"name\":\"Astronomy Letters-A Journal of Astronomy and Space Astrophysics\",\"volume\":\"50 12\",\"pages\":\"796 - 806\"},\"PeriodicalIF\":0.8000,\"publicationDate\":\"2025-06-27\",\"publicationTypes\":\"Journal Article\",\"fieldsOfStudy\":null,\"isOpenAccess\":false,\"openAccessPdf\":\"\",\"citationCount\":\"0\",\"resultStr\":null,\"platform\":\"Semanticscholar\",\"paperid\":null,\"PeriodicalName\":\"Astronomy Letters-A Journal of Astronomy and Space Astrophysics\",\"FirstCategoryId\":\"101\",\"ListUrlMain\":\"https://link.springer.com/article/10.1134/S1063773725700100\",\"RegionNum\":4,\"RegionCategory\":\"物理与天体物理\",\"ArticlePicture\":[],\"TitleCN\":null,\"AbstractTextCN\":null,\"PMCID\":null,\"EPubDate\":\"\",\"PubModel\":\"\",\"JCR\":\"Q3\",\"JCRName\":\"ASTRONOMY & ASTROPHYSICS\",\"Score\":null,\"Total\":0}","platform":"Semanticscholar","paperid":null,"PeriodicalName":"Astronomy Letters-A Journal of Astronomy and Space Astrophysics","FirstCategoryId":"101","ListUrlMain":"https://link.springer.com/article/10.1134/S1063773725700100","RegionNum":4,"RegionCategory":"物理与天体物理","ArticlePicture":[],"TitleCN":null,"AbstractTextCN":null,"PMCID":null,"EPubDate":"","PubModel":"","JCR":"Q3","JCRName":"ASTRONOMY & ASTROPHYSICS","Score":null,"Total":0}
引用次数: 0

摘要

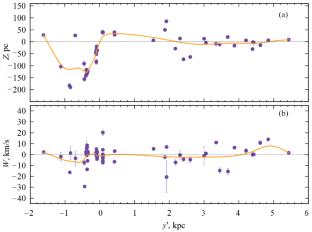
在文献资料的基础上,编制了用VLBI方法测量的最完整的星系脉射源和具有三角视差、固有运动和径向速度的射电星样本。这些来源与位于高质量恒星形成区域的年轻恒星有关。银河系的旋转参数是基于156个相对视差误差小于10 \(\%\)的微波激射器确定的,这些微波激射器距离银河系中心不到3kpc。银河系在太阳距离\(R_{0}\)处的线性旋转速度为\(V_{0}=243.9\pm 3.9\) km s \({}^{-1}\)。研究人员研究了一条非常窄的脉泽链,长度为\(3{-}4\) kpc,在\(l\sim 40^{\circ}\)方向上拉长,从船底座-人马座螺旋臂的一部分延伸到胸骨臂。许多作者假设这可能是拉德克利夫波的类似物。在目前的工作中,没有发现这种结构中垂直坐标和速度的明显周期性扰动。另一方面,在“\(\ln(R/R_{0}){-}\theta\)”图上,脉泽链的形式是螺距角为\(-48^{\circ}\)的对数螺旋的一段。也许这条脉泽链属于从杆的末端延伸出来的射流,随着杆的角速度刚性旋转。
本文章由计算机程序翻译,如有差异,请以英文原文为准。

Is There an Analogue of the Radcliffe Wave between the Carina-Sagittarius and the Scutum Arms?

Is There an Analogue of the Radcliffe Wave between the Carina-Sagittarius and the Scutum Arms?

The most complete sample of galactic maser sources and radio stars with trigonometric parallaxes, proper motions and radial velocities measured by the VLBI method has been compiled based on literature data. These sources are associated with young stars located in high mass star forming regions. The rotation parameters of the Galaxy have been determined based on 156 masers with relative parallax errors less than 10\(\%\), located further than 3 kpc from the galactic center. The linear rotation velocity of the Galaxy at the solar distance \(R_{0}\) is \(V_{0}=243.9\pm 3.9\) km s\({}^{-1}\). A very narrow chain of masers \(3{-}4\) kpc long, elongated in the \(l\sim 40^{\circ}\) direction, passing from a segment of the Carina-Sagittarius spiral arm to the Scutum arm, has been studied. A number of authors have hypothesized that this is a possible analogue of the Radcliffe wave. In the present work, no noticeable periodic perturbations of vertical coordinates and velocities were found in this structure. On the other hand, on the diagram ‘‘\(\ln(R/R_{0}){-}\theta\)’’ this chain of masers has the form of a segment of a logarithmic spiral with a pitch angle of \(-48^{\circ}\). Perhaps this chain of masers belongs to a jet extending from the end of the bar, rotating rigidly with the angular velocity of the bar.

求助全文
通过发布文献求助,成功后即可免费获取论文全文。 去求助
来源期刊
CiteScore
1.70
自引率
22.20%
发文量
0
审稿时长
6-12 weeks
期刊介绍: Astronomy Letters is an international peer reviewed journal that publishes the results of original research on all aspects of modern astronomy and astrophysics including high energy astrophysics, cosmology, space astronomy, theoretical astrophysics, radio astronomy, extragalactic astronomy, stellar astronomy, and investigation of the Solar system.
×
引用
GB/T 7714-2015
复制
MLA
复制
APA
复制
导出至
BibTeX EndNote RefMan NoteFirst NoteExpress
×
提示
您的信息不完整,为了账户安全,请先补充。
现在去补充
×
提示
您因"违规操作"
具体请查看互助需知
我知道了
×
提示
确定
请完成安全验证×
copy
已复制链接
快去分享给好友吧!
我知道了
右上角分享
点击右上角分享
0
联系我们:info@booksci.cn Book学术提供免费学术资源搜索服务,方便国内外学者检索中英文文献。致力于提供最便捷和优质的服务体验。 Copyright © 2023 布克学术 All rights reserved.
京ICP备2023020795号-1
ghs 京公网安备 11010802042870号
Book学术文献互助
Book学术文献互助群
群 号:604180095
Book学术官方微信