基于反相高效液相色谱的脂质纳米载体水合强力霉素和芦荟大黄素的同时定量及稳定性评价

IF 1 4区 工程技术 Q4 CHEMISTRY, ANALYTICAL
Muzammil Husain, Yogeeta O. Agrawal
{"title":"基于反相高效液相色谱的脂质纳米载体水合强力霉素和芦荟大黄素的同时定量及稳定性评价","authors":"Muzammil Husain,&nbsp;Yogeeta O. Agrawal","doi":"10.1007/s00769-025-01632-2","DOIUrl":null,"url":null,"abstract":"<div><p>A novel simultaneous estimation and stability-indicating RP-HPLC method was developed and validated for the simultaneous quantification of doxycycline hyclate and aloe-emodin in blend and in novel nanostructured lipid carriers. The mobile phase comprised a phosphate buffer to methanol at ratios of 40:60 (v/v) and 70:30 (v/v), both at pH 8, for the separation of doxycycline hyclate and aloe-emodin, respectively. Detection was performed using a PDA-M20A photodiode array detector at a lambda of 268 nm (doxycycline hyclate) and 250 nm (aloe-emodin). The method was validated according to the instructions of ICH guidelines for precision, accuracy, linearity, specificity, limit of detection, and limit of quantitation. The developed method exhibited linearity in the concentration range of 5–30 µg/mL for both analytes. The limit of detection and limit of quantitation were estimated to be 0.0279 µg/mL and 0.0846 µg/mL for doxycycline hyclate and 0.0262 µg/mL and 0.0795 µg/mL for aloe-emodin, respectively. Accuracy, as estimated by percent recovery, ranged from 180.37% to 216.52% for doxycycline hyclate and from 180.17% to 214.59% for aloe-emodin, depicting high recovery values. Forced degradation studies under five distinct stress conditions depict the competency of the method. The present study explored the simultaneous measurement of aloe-emodin and doxycycline hyclate in the novel nanostructured lipid carriers based gel. The technique demonstrated excellent specificity, accuracy, and sensitivity, with distinct retention times and well-defined peaks for each drug and its degradation products.</p></div>","PeriodicalId":454,"journal":{"name":"Accreditation and Quality Assurance","volume":"30 3","pages":"233 - 244"},"PeriodicalIF":1.0000,"publicationDate":"2025-03-17","publicationTypes":"Journal Article","fieldsOfStudy":null,"isOpenAccess":false,"openAccessPdf":"","citationCount":"0","resultStr":"{\"title\":\"RP-HPLC-based simultaneous quantification and stability assessment of doxycycline hyclate and aloe-emodin in lipid nanocarriers\",\"authors\":\"Muzammil Husain,&nbsp;Yogeeta O. Agrawal\",\"doi\":\"10.1007/s00769-025-01632-2\",\"DOIUrl\":null,\"url\":null,\"abstract\":\"<div><p>A novel simultaneous estimation and stability-indicating RP-HPLC method was developed and validated for the simultaneous quantification of doxycycline hyclate and aloe-emodin in blend and in novel nanostructured lipid carriers. The mobile phase comprised a phosphate buffer to methanol at ratios of 40:60 (v/v) and 70:30 (v/v), both at pH 8, for the separation of doxycycline hyclate and aloe-emodin, respectively. Detection was performed using a PDA-M20A photodiode array detector at a lambda of 268 nm (doxycycline hyclate) and 250 nm (aloe-emodin). The method was validated according to the instructions of ICH guidelines for precision, accuracy, linearity, specificity, limit of detection, and limit of quantitation. The developed method exhibited linearity in the concentration range of 5–30 µg/mL for both analytes. The limit of detection and limit of quantitation were estimated to be 0.0279 µg/mL and 0.0846 µg/mL for doxycycline hyclate and 0.0262 µg/mL and 0.0795 µg/mL for aloe-emodin, respectively. Accuracy, as estimated by percent recovery, ranged from 180.37% to 216.52% for doxycycline hyclate and from 180.17% to 214.59% for aloe-emodin, depicting high recovery values. Forced degradation studies under five distinct stress conditions depict the competency of the method. The present study explored the simultaneous measurement of aloe-emodin and doxycycline hyclate in the novel nanostructured lipid carriers based gel. The technique demonstrated excellent specificity, accuracy, and sensitivity, with distinct retention times and well-defined peaks for each drug and its degradation products.</p></div>\",\"PeriodicalId\":454,\"journal\":{\"name\":\"Accreditation and Quality Assurance\",\"volume\":\"30 3\",\"pages\":\"233 - 244\"},\"PeriodicalIF\":1.0000,\"publicationDate\":\"2025-03-17\",\"publicationTypes\":\"Journal Article\",\"fieldsOfStudy\":null,\"isOpenAccess\":false,\"openAccessPdf\":\"\",\"citationCount\":\"0\",\"resultStr\":null,\"platform\":\"Semanticscholar\",\"paperid\":null,\"PeriodicalName\":\"Accreditation and Quality Assurance\",\"FirstCategoryId\":\"5\",\"ListUrlMain\":\"https://link.springer.com/article/10.1007/s00769-025-01632-2\",\"RegionNum\":4,\"RegionCategory\":\"工程技术\",\"ArticlePicture\":[],\"TitleCN\":null,\"AbstractTextCN\":null,\"PMCID\":null,\"EPubDate\":\"\",\"PubModel\":\"\",\"JCR\":\"Q4\",\"JCRName\":\"CHEMISTRY, ANALYTICAL\",\"Score\":null,\"Total\":0}","platform":"Semanticscholar","paperid":null,"PeriodicalName":"Accreditation and Quality Assurance","FirstCategoryId":"5","ListUrlMain":"https://link.springer.com/article/10.1007/s00769-025-01632-2","RegionNum":4,"RegionCategory":"工程技术","ArticlePicture":[],"TitleCN":null,"AbstractTextCN":null,"PMCID":null,"EPubDate":"","PubModel":"","JCR":"Q4","JCRName":"CHEMISTRY, ANALYTICAL","Score":null,"Total":0}
引用次数: 0

摘要

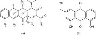
建立了一种新的同时测定和稳定性指示的RP-HPLC方法,并验证了同时定量复方和新型纳米结构脂质载体中水合强力霉素和芦荟大黄素的方法。流动相为磷酸缓冲液与甲醇的比例为40:60 (v/v)和70:30 (v/v), pH均为8,分别用于水合强力霉素和芦荟大黄素的分离。检测采用PDA-M20A光电二极管阵列检测器,λ为268 nm(水合强力霉素)和250 nm(芦荟大黄素)。根据ICH指南的精密度、准确度、线性度、特异性、检出限和定量限进行验证。该方法在5 ~ 30µg/mL浓度范围内呈线性关系。水合强力霉素的检出限和定量限分别为0.0279µg/mL和0.0846µg/mL,芦荟大黄素的检出限和定量限分别为0.0262µg/mL和0.0795µg/mL。以回收率估计,水合多西环素的准确度为180.37% ~ 216.52%,芦荟大黄素的准确度为180.17% ~ 214.59%,具有较高的回收率。在五种不同应力条件下的强迫退化研究描述了该方法的能力。本研究探讨了在新型纳米结构脂质载体凝胶中同时测定芦荟大黄素和水合强力霉素的方法。该技术表现出优异的特异性、准确性和敏感性,每种药物及其降解产物具有不同的保留时间和明确的峰。
本文章由计算机程序翻译,如有差异,请以英文原文为准。

RP-HPLC-based simultaneous quantification and stability assessment of doxycycline hyclate and aloe-emodin in lipid nanocarriers

RP-HPLC-based simultaneous quantification and stability assessment of doxycycline hyclate and aloe-emodin in lipid nanocarriers

A novel simultaneous estimation and stability-indicating RP-HPLC method was developed and validated for the simultaneous quantification of doxycycline hyclate and aloe-emodin in blend and in novel nanostructured lipid carriers. The mobile phase comprised a phosphate buffer to methanol at ratios of 40:60 (v/v) and 70:30 (v/v), both at pH 8, for the separation of doxycycline hyclate and aloe-emodin, respectively. Detection was performed using a PDA-M20A photodiode array detector at a lambda of 268 nm (doxycycline hyclate) and 250 nm (aloe-emodin). The method was validated according to the instructions of ICH guidelines for precision, accuracy, linearity, specificity, limit of detection, and limit of quantitation. The developed method exhibited linearity in the concentration range of 5–30 µg/mL for both analytes. The limit of detection and limit of quantitation were estimated to be 0.0279 µg/mL and 0.0846 µg/mL for doxycycline hyclate and 0.0262 µg/mL and 0.0795 µg/mL for aloe-emodin, respectively. Accuracy, as estimated by percent recovery, ranged from 180.37% to 216.52% for doxycycline hyclate and from 180.17% to 214.59% for aloe-emodin, depicting high recovery values. Forced degradation studies under five distinct stress conditions depict the competency of the method. The present study explored the simultaneous measurement of aloe-emodin and doxycycline hyclate in the novel nanostructured lipid carriers based gel. The technique demonstrated excellent specificity, accuracy, and sensitivity, with distinct retention times and well-defined peaks for each drug and its degradation products.

求助全文
通过发布文献求助,成功后即可免费获取论文全文。 去求助
来源期刊
Accreditation and Quality Assurance
Accreditation and Quality Assurance 工程技术-分析化学
CiteScore
1.80
自引率
22.20%
发文量
39
审稿时长
6-12 weeks
期刊介绍: Accreditation and Quality Assurance has established itself as the leading information and discussion forum for all aspects relevant to quality, transparency and reliability of measurement results in chemical and biological sciences. The journal serves the information needs of researchers, practitioners and decision makers dealing with quality assurance and quality management, including the development and application of metrological principles and concepts such as traceability or measurement uncertainty in the following fields: environment, nutrition, consumer protection, geology, metallurgy, pharmacy, forensics, clinical chemistry and laboratory medicine, and microbiology.
×
引用
GB/T 7714-2015
复制
MLA
复制
APA
复制
导出至
BibTeX EndNote RefMan NoteFirst NoteExpress
×
提示
您的信息不完整,为了账户安全,请先补充。
现在去补充
×
提示
您因"违规操作"
具体请查看互助需知
我知道了
×
提示
确定
请完成安全验证×
copy
已复制链接
快去分享给好友吧!
我知道了
右上角分享
点击右上角分享
0
联系我们:info@booksci.cn Book学术提供免费学术资源搜索服务,方便国内外学者检索中英文文献。致力于提供最便捷和优质的服务体验。 Copyright © 2023 布克学术 All rights reserved.
京ICP备2023020795号-1
ghs 京公网安备 11010802042870号
Book学术文献互助
Book学术文献互助群
群 号:604180095
Book学术官方微信