四取代四氢吡啶的催化重排

IF 0.9 4区 化学 Q4 CHEMISTRY, ORGANIC
F. N. Naghiyev, M. R. Komarovskikh, M. V. Tachaev, V. N. Khrustalev, I. G. Mamedov
{"title":"四取代四氢吡啶的催化重排","authors":"F. N. Naghiyev,&nbsp;M. R. Komarovskikh,&nbsp;M. V. Tachaev,&nbsp;V. N. Khrustalev,&nbsp;I. G. Mamedov","doi":"10.1134/S1234567825601214","DOIUrl":null,"url":null,"abstract":"<p>A new compound, 5-acetyl-2-amino-4-(2-chloro-5-nitrophenyl)-6-oxo-1-phenyl-1,4,5,6-tetrahydropyridine-3-carbonitrile, was synthesized by the reaction of 2-chloro-5-(nitrobenzylidene)malononitrile with malononitrile and aniline. The product was then subjected to catalytic rearrangement in the presence of ethylenediamine to obtain one more new compound, 4-(2-chloro-5-nitrophenyl)-6-oxo-2-(phenylamino)-1,4,5,6-tetrahydropyridine-3-carbonitrile. The structure of the products was confirmed by NMR spectroscopy and X-ray diffraction analysis. A plausible mechanism of the rearrangement reaction was proposed.</p>","PeriodicalId":766,"journal":{"name":"Russian Journal of Organic Chemistry","volume":"61 5","pages":"821 - 825"},"PeriodicalIF":0.9000,"publicationDate":"2025-07-11","publicationTypes":"Journal Article","fieldsOfStudy":null,"isOpenAccess":false,"openAccessPdf":"","citationCount":"0","resultStr":"{\"title\":\"Catalytic Rearrangement of a Tetrasubstituted Tetrahydropyridine\",\"authors\":\"F. N. Naghiyev,&nbsp;M. R. Komarovskikh,&nbsp;M. V. Tachaev,&nbsp;V. N. Khrustalev,&nbsp;I. G. Mamedov\",\"doi\":\"10.1134/S1234567825601214\",\"DOIUrl\":null,\"url\":null,\"abstract\":\"<p>A new compound, 5-acetyl-2-amino-4-(2-chloro-5-nitrophenyl)-6-oxo-1-phenyl-1,4,5,6-tetrahydropyridine-3-carbonitrile, was synthesized by the reaction of 2-chloro-5-(nitrobenzylidene)malononitrile with malononitrile and aniline. The product was then subjected to catalytic rearrangement in the presence of ethylenediamine to obtain one more new compound, 4-(2-chloro-5-nitrophenyl)-6-oxo-2-(phenylamino)-1,4,5,6-tetrahydropyridine-3-carbonitrile. The structure of the products was confirmed by NMR spectroscopy and X-ray diffraction analysis. A plausible mechanism of the rearrangement reaction was proposed.</p>\",\"PeriodicalId\":766,\"journal\":{\"name\":\"Russian Journal of Organic Chemistry\",\"volume\":\"61 5\",\"pages\":\"821 - 825\"},\"PeriodicalIF\":0.9000,\"publicationDate\":\"2025-07-11\",\"publicationTypes\":\"Journal Article\",\"fieldsOfStudy\":null,\"isOpenAccess\":false,\"openAccessPdf\":\"\",\"citationCount\":\"0\",\"resultStr\":null,\"platform\":\"Semanticscholar\",\"paperid\":null,\"PeriodicalName\":\"Russian Journal of Organic Chemistry\",\"FirstCategoryId\":\"92\",\"ListUrlMain\":\"https://link.springer.com/article/10.1134/S1234567825601214\",\"RegionNum\":4,\"RegionCategory\":\"化学\",\"ArticlePicture\":[],\"TitleCN\":null,\"AbstractTextCN\":null,\"PMCID\":null,\"EPubDate\":\"\",\"PubModel\":\"\",\"JCR\":\"Q4\",\"JCRName\":\"CHEMISTRY, ORGANIC\",\"Score\":null,\"Total\":0}","platform":"Semanticscholar","paperid":null,"PeriodicalName":"Russian Journal of Organic Chemistry","FirstCategoryId":"92","ListUrlMain":"https://link.springer.com/article/10.1134/S1234567825601214","RegionNum":4,"RegionCategory":"化学","ArticlePicture":[],"TitleCN":null,"AbstractTextCN":null,"PMCID":null,"EPubDate":"","PubModel":"","JCR":"Q4","JCRName":"CHEMISTRY, ORGANIC","Score":null,"Total":0}
引用次数: 0

摘要

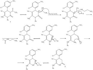
以2-氯-5-(硝基苄基)丙二腈与丙二腈和苯胺为原料,合成了5-乙酰基-2-氨基-4-(2-氯-5-硝基苯基)-6-氧-1-苯基-1,4,5,6-四氢吡啶-3-碳腈。该产物在乙二胺的存在下进行催化重排,得到一个新的化合物,4 -(2-氯-5-硝基苯基)-6-氧-2-(苯胺)-1,4,5,6-四氢吡啶-3-碳腈。产物的结构经核磁共振波谱和x射线衍射分析证实。提出了一种合理的重排反应机理。
本文章由计算机程序翻译,如有差异,请以英文原文为准。

Catalytic Rearrangement of a Tetrasubstituted Tetrahydropyridine

Catalytic Rearrangement of a Tetrasubstituted Tetrahydropyridine

A new compound, 5-acetyl-2-amino-4-(2-chloro-5-nitrophenyl)-6-oxo-1-phenyl-1,4,5,6-tetrahydropyridine-3-carbonitrile, was synthesized by the reaction of 2-chloro-5-(nitrobenzylidene)malononitrile with malononitrile and aniline. The product was then subjected to catalytic rearrangement in the presence of ethylenediamine to obtain one more new compound, 4-(2-chloro-5-nitrophenyl)-6-oxo-2-(phenylamino)-1,4,5,6-tetrahydropyridine-3-carbonitrile. The structure of the products was confirmed by NMR spectroscopy and X-ray diffraction analysis. A plausible mechanism of the rearrangement reaction was proposed.

求助全文
通过发布文献求助,成功后即可免费获取论文全文。 去求助
来源期刊
CiteScore
1.40
自引率
25.00%
发文量
139
审稿时长
3-6 weeks
期刊介绍: Russian Journal of Organic Chemistry is an international peer reviewed journal that covers all aspects of modern organic chemistry including organic synthesis, theoretical organic chemistry, structure and mechanism, and the application of organometallic compounds in organic synthesis.
×
引用
GB/T 7714-2015
复制
MLA
复制
APA
复制
导出至
BibTeX EndNote RefMan NoteFirst NoteExpress
×
提示
您的信息不完整,为了账户安全,请先补充。
现在去补充
×
提示
您因"违规操作"
具体请查看互助需知
我知道了
×
提示
确定
请完成安全验证×
copy
已复制链接
快去分享给好友吧!
我知道了
右上角分享
点击右上角分享
0
联系我们:info@booksci.cn Book学术提供免费学术资源搜索服务,方便国内外学者检索中英文文献。致力于提供最便捷和优质的服务体验。 Copyright © 2023 布克学术 All rights reserved.
京ICP备2023020795号-1
ghs 京公网安备 11010802042870号
Book学术文献互助
Book学术文献互助群
群 号:604180095
Book学术官方微信