活动追踪指标与身体活动指数之间的关系及其与心脏代谢表型、亚临床动脉粥样硬化和心脏重塑的关系:横断面研究

IF 6.2 2区 医学 Q1 HEALTH CARE SCIENCES & SERVICES
Weiting Huang, Mark Kei Fong Wong, Enver De Wei Loh, Tracy Koh, Alex Weixian Tan, Xiayan Shen, Onur Varli, Siew Ching Kong, Calvin Woon Loong Chin, Swee Yaw Tan, Jonathan Jiunn Liang Yap, Eddie Yin Kwee Ng, Khung Keong Yeo
{"title":"活动追踪指标与身体活动指数之间的关系及其与心脏代谢表型、亚临床动脉粥样硬化和心脏重塑的关系:横断面研究","authors":"Weiting Huang, Mark Kei Fong Wong, Enver De Wei Loh, Tracy Koh, Alex Weixian Tan, Xiayan Shen, Onur Varli, Siew Ching Kong, Calvin Woon Loong Chin, Swee Yaw Tan, Jonathan Jiunn Liang Yap, Eddie Yin Kwee Ng, Khung Keong Yeo","doi":"10.2196/71213","DOIUrl":null,"url":null,"abstract":"<p><strong>Background: </strong>Consumer wearable technology quantifies physical activity; however, the association between these metrics and cardiometabolic health requires further elucidation.</p><p><strong>Objective: </strong>This study identified latent factors derived from Fitbit heart rate metrics and their relationship with cross-sectional cardiovascular phenotypes.</p><p><strong>Methods: </strong>This cross-sectional analysis included 457 participants from the SingHEART study, a multiethnic, population-based study of Asian individuals aged 21 to 69 years recruited in Singapore. Participants wore the Fitbit Charge HR for 7 days, and data on physical activity metrics, self-reported physical activity index (PAI), blood tests, coronary artery calcium scores, and cardiac magnetic resonance imaging were collected. Exploratory factor analysis identified latent factors from Fitbit metrics, and multivariate regression analysis assessed associations with blood and cardiovascular imaging phenotypes.</p><p><strong>Results: </strong>Higher levels of self-reported PAI were significantly associated with a higher number of calories burned (P=.008), number of steps and floors climbed, distance, number of activity calories, and number of very active minutes (P<.001). However, there was no association between PAI and other Fitbit metrics. Using exploratory factor analysis, we identified three latent factors measured by Fitbit metrics: (1) elevated metabolic equivalents of task (METs; calories burned per day, minutes per day spent fairly active in 3-6 METs and very active in ≥6 METs, and activity calories), (2) total activity (steps per day, distance in kilometers per day, and number of floors per day), and (3) others, all with a Cronbach α of >0.7. Higher total activity was associated with increased high-density lipoprotein levels (β=0.06; P<.001), decreased triglyceride levels (β=-0.10; P=.006), and lower BMI (β=-0.63; P<.001) after adjustment for age, gender, systolic blood pressure, total cholesterol, and family history of heart disease. The interaction between total activity and elevated METs was associated with lower fasting glucose (β=-0.07; P=.004). Elevated METs were associated with higher log(coronary artery calcium+1) and higher BMI (P<.001). Total activity was significantly associated with higher indexed biventricular systolic (P=.01 for left and P=.006 for right) and diastolic volumes (P<.001) and higher indexed left ventricular mass (P=.005).</p><p><strong>Conclusions: </strong>We identified 3 groups of wearable metrics with distinct characteristics. While total activity had a significant relationship with self-reported PAI, most metrics of elevated METs did not. Total activity had a consistent and favorable association with lipid and glucose profiles and a dose-dependent association with cardiac remodeling. Elevated METs alone did not appear to have a significant association with favorable cardiovascular profiles. This study suggests that the total activity metrics are robust and dependable when interpreting an individual's activity levels, with construct validity according to self-reported PAI and a positive association with lipid and glucose profiles, and demonstrate dose-dependent associations with cardiac remodeling after adjustment for demographics and risk factors. Findings related to elevated METs may be due to the Hawthorne effect and require further studies.</p>","PeriodicalId":14756,"journal":{"name":"JMIR mHealth and uHealth","volume":"13 ","pages":"e71213"},"PeriodicalIF":6.2000,"publicationDate":"2025-09-24","publicationTypes":"Journal Article","fieldsOfStudy":null,"isOpenAccess":false,"openAccessPdf":"https://www.ncbi.nlm.nih.gov/pmc/articles/PMC12508664/pdf/","citationCount":"0","resultStr":"{\"title\":\"Relationship Between Activity Tracker Metrics and the Physical Activity Index and Their Association With Cardiometabolic Phenotypes, Subclinical Atherosclerosis, and Cardiac Remodeling: Cross-Sectional Study.\",\"authors\":\"Weiting Huang, Mark Kei Fong Wong, Enver De Wei Loh, Tracy Koh, Alex Weixian Tan, Xiayan Shen, Onur Varli, Siew Ching Kong, Calvin Woon Loong Chin, Swee Yaw Tan, Jonathan Jiunn Liang Yap, Eddie Yin Kwee Ng, Khung Keong Yeo\",\"doi\":\"10.2196/71213\",\"DOIUrl\":null,\"url\":null,\"abstract\":\"<p><strong>Background: </strong>Consumer wearable technology quantifies physical activity; however, the association between these metrics and cardiometabolic health requires further elucidation.</p><p><strong>Objective: </strong>This study identified latent factors derived from Fitbit heart rate metrics and their relationship with cross-sectional cardiovascular phenotypes.</p><p><strong>Methods: </strong>This cross-sectional analysis included 457 participants from the SingHEART study, a multiethnic, population-based study of Asian individuals aged 21 to 69 years recruited in Singapore. Participants wore the Fitbit Charge HR for 7 days, and data on physical activity metrics, self-reported physical activity index (PAI), blood tests, coronary artery calcium scores, and cardiac magnetic resonance imaging were collected. Exploratory factor analysis identified latent factors from Fitbit metrics, and multivariate regression analysis assessed associations with blood and cardiovascular imaging phenotypes.</p><p><strong>Results: </strong>Higher levels of self-reported PAI were significantly associated with a higher number of calories burned (P=.008), number of steps and floors climbed, distance, number of activity calories, and number of very active minutes (P<.001). However, there was no association between PAI and other Fitbit metrics. Using exploratory factor analysis, we identified three latent factors measured by Fitbit metrics: (1) elevated metabolic equivalents of task (METs; calories burned per day, minutes per day spent fairly active in 3-6 METs and very active in ≥6 METs, and activity calories), (2) total activity (steps per day, distance in kilometers per day, and number of floors per day), and (3) others, all with a Cronbach α of >0.7. Higher total activity was associated with increased high-density lipoprotein levels (β=0.06; P<.001), decreased triglyceride levels (β=-0.10; P=.006), and lower BMI (β=-0.63; P<.001) after adjustment for age, gender, systolic blood pressure, total cholesterol, and family history of heart disease. The interaction between total activity and elevated METs was associated with lower fasting glucose (β=-0.07; P=.004). Elevated METs were associated with higher log(coronary artery calcium+1) and higher BMI (P<.001). Total activity was significantly associated with higher indexed biventricular systolic (P=.01 for left and P=.006 for right) and diastolic volumes (P<.001) and higher indexed left ventricular mass (P=.005).</p><p><strong>Conclusions: </strong>We identified 3 groups of wearable metrics with distinct characteristics. While total activity had a significant relationship with self-reported PAI, most metrics of elevated METs did not. Total activity had a consistent and favorable association with lipid and glucose profiles and a dose-dependent association with cardiac remodeling. Elevated METs alone did not appear to have a significant association with favorable cardiovascular profiles. This study suggests that the total activity metrics are robust and dependable when interpreting an individual's activity levels, with construct validity according to self-reported PAI and a positive association with lipid and glucose profiles, and demonstrate dose-dependent associations with cardiac remodeling after adjustment for demographics and risk factors. Findings related to elevated METs may be due to the Hawthorne effect and require further studies.</p>\",\"PeriodicalId\":14756,\"journal\":{\"name\":\"JMIR mHealth and uHealth\",\"volume\":\"13 \",\"pages\":\"e71213\"},\"PeriodicalIF\":6.2000,\"publicationDate\":\"2025-09-24\",\"publicationTypes\":\"Journal Article\",\"fieldsOfStudy\":null,\"isOpenAccess\":false,\"openAccessPdf\":\"https://www.ncbi.nlm.nih.gov/pmc/articles/PMC12508664/pdf/\",\"citationCount\":\"0\",\"resultStr\":null,\"platform\":\"Semanticscholar\",\"paperid\":null,\"PeriodicalName\":\"JMIR mHealth and uHealth\",\"FirstCategoryId\":\"3\",\"ListUrlMain\":\"https://doi.org/10.2196/71213\",\"RegionNum\":2,\"RegionCategory\":\"医学\",\"ArticlePicture\":[],\"TitleCN\":null,\"AbstractTextCN\":null,\"PMCID\":null,\"EPubDate\":\"\",\"PubModel\":\"\",\"JCR\":\"Q1\",\"JCRName\":\"HEALTH CARE SCIENCES & SERVICES\",\"Score\":null,\"Total\":0}","platform":"Semanticscholar","paperid":null,"PeriodicalName":"JMIR mHealth and uHealth","FirstCategoryId":"3","ListUrlMain":"https://doi.org/10.2196/71213","RegionNum":2,"RegionCategory":"医学","ArticlePicture":[],"TitleCN":null,"AbstractTextCN":null,"PMCID":null,"EPubDate":"","PubModel":"","JCR":"Q1","JCRName":"HEALTH CARE SCIENCES & SERVICES","Score":null,"Total":0}
引用次数: 0

摘要

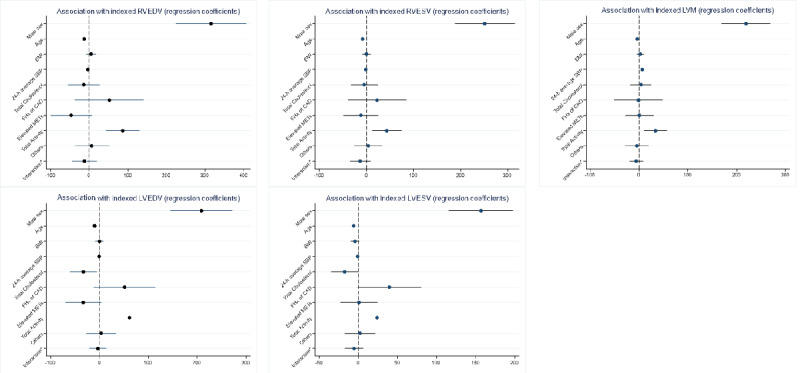
背景:消费者可穿戴技术量化身体活动;然而,这些指标与心脏代谢健康之间的关系需要进一步阐明。目的:本研究确定Fitbit心率指标的潜在因素及其与横断面心血管表型的关系。方法:这项横断面分析包括来自SingHEART研究的457名参与者,SingHEART研究是一项在新加坡招募的年龄在21至69岁的亚洲人的多种族、基于人群的研究。参与者佩戴Fitbit Charge HR 7天,收集体力活动指标、自我报告体力活动指数(PAI)、血液检查、冠状动脉钙评分和心脏磁共振成像数据。探索性因素分析确定了Fitbit指标的潜在因素,多变量回归分析评估了与血液和心血管成像表型的关联。结果:较高的自我报告PAI水平与较高的卡路里燃烧量(P= 0.008)、爬的台阶和楼层数、距离、活动卡路里数和非常活跃的分钟数显著相关(P= 0.7)。较高的总活动与高密度脂蛋白水平升高相关(β=0.06; p)结论:我们确定了三组具有不同特征的可穿戴指标。虽然总活动与自我报告的PAI有显著关系,但大多数met升高的指标没有。总活性与脂质和葡萄糖谱一致且有利,与心脏重塑呈剂量依赖性关系。单纯的met升高似乎与良好的心血管状况没有显著的关联。该研究表明,在解释个体活动水平时,总活动指标是稳健可靠的,根据自我报告的PAI具有构建效度,与脂质和葡萄糖谱呈正相关,并且在调整人口统计学和危险因素后显示与心脏重构的剂量依赖性。与METs升高有关的发现可能是由于霍桑效应,需要进一步的研究。
本文章由计算机程序翻译,如有差异,请以英文原文为准。

Relationship Between Activity Tracker Metrics and the Physical Activity Index and Their Association With Cardiometabolic Phenotypes, Subclinical Atherosclerosis, and Cardiac Remodeling: Cross-Sectional Study.

Relationship Between Activity Tracker Metrics and the Physical Activity Index and Their Association With Cardiometabolic Phenotypes, Subclinical Atherosclerosis, and Cardiac Remodeling: Cross-Sectional Study.

Relationship Between Activity Tracker Metrics and the Physical Activity Index and Their Association With Cardiometabolic Phenotypes, Subclinical Atherosclerosis, and Cardiac Remodeling: Cross-Sectional Study.

Relationship Between Activity Tracker Metrics and the Physical Activity Index and Their Association With Cardiometabolic Phenotypes, Subclinical Atherosclerosis, and Cardiac Remodeling: Cross-Sectional Study.

Background: Consumer wearable technology quantifies physical activity; however, the association between these metrics and cardiometabolic health requires further elucidation.

Objective: This study identified latent factors derived from Fitbit heart rate metrics and their relationship with cross-sectional cardiovascular phenotypes.

Methods: This cross-sectional analysis included 457 participants from the SingHEART study, a multiethnic, population-based study of Asian individuals aged 21 to 69 years recruited in Singapore. Participants wore the Fitbit Charge HR for 7 days, and data on physical activity metrics, self-reported physical activity index (PAI), blood tests, coronary artery calcium scores, and cardiac magnetic resonance imaging were collected. Exploratory factor analysis identified latent factors from Fitbit metrics, and multivariate regression analysis assessed associations with blood and cardiovascular imaging phenotypes.

Results: Higher levels of self-reported PAI were significantly associated with a higher number of calories burned (P=.008), number of steps and floors climbed, distance, number of activity calories, and number of very active minutes (P<.001). However, there was no association between PAI and other Fitbit metrics. Using exploratory factor analysis, we identified three latent factors measured by Fitbit metrics: (1) elevated metabolic equivalents of task (METs; calories burned per day, minutes per day spent fairly active in 3-6 METs and very active in ≥6 METs, and activity calories), (2) total activity (steps per day, distance in kilometers per day, and number of floors per day), and (3) others, all with a Cronbach α of >0.7. Higher total activity was associated with increased high-density lipoprotein levels (β=0.06; P<.001), decreased triglyceride levels (β=-0.10; P=.006), and lower BMI (β=-0.63; P<.001) after adjustment for age, gender, systolic blood pressure, total cholesterol, and family history of heart disease. The interaction between total activity and elevated METs was associated with lower fasting glucose (β=-0.07; P=.004). Elevated METs were associated with higher log(coronary artery calcium+1) and higher BMI (P<.001). Total activity was significantly associated with higher indexed biventricular systolic (P=.01 for left and P=.006 for right) and diastolic volumes (P<.001) and higher indexed left ventricular mass (P=.005).

Conclusions: We identified 3 groups of wearable metrics with distinct characteristics. While total activity had a significant relationship with self-reported PAI, most metrics of elevated METs did not. Total activity had a consistent and favorable association with lipid and glucose profiles and a dose-dependent association with cardiac remodeling. Elevated METs alone did not appear to have a significant association with favorable cardiovascular profiles. This study suggests that the total activity metrics are robust and dependable when interpreting an individual's activity levels, with construct validity according to self-reported PAI and a positive association with lipid and glucose profiles, and demonstrate dose-dependent associations with cardiac remodeling after adjustment for demographics and risk factors. Findings related to elevated METs may be due to the Hawthorne effect and require further studies.

求助全文
通过发布文献求助,成功后即可免费获取论文全文。 去求助
来源期刊
JMIR mHealth and uHealth
JMIR mHealth and uHealth Medicine-Health Informatics
CiteScore
12.60
自引率
4.00%
发文量
159
审稿时长
10 weeks
期刊介绍: JMIR mHealth and uHealth (JMU, ISSN 2291-5222) is a spin-off journal of JMIR, the leading eHealth journal (Impact Factor 2016: 5.175). JMIR mHealth and uHealth is indexed in PubMed, PubMed Central, and Science Citation Index Expanded (SCIE), and in June 2017 received a stunning inaugural Impact Factor of 4.636. The journal focusses on health and biomedical applications in mobile and tablet computing, pervasive and ubiquitous computing, wearable computing and domotics. JMIR mHealth and uHealth publishes since 2013 and was the first mhealth journal in Pubmed. It publishes even faster and has a broader scope with including papers which are more technical or more formative/developmental than what would be published in the Journal of Medical Internet Research.
×
引用
GB/T 7714-2015
复制
MLA
复制
APA
复制
导出至
BibTeX EndNote RefMan NoteFirst NoteExpress
×
提示
您的信息不完整,为了账户安全,请先补充。
现在去补充
×
提示
您因"违规操作"
具体请查看互助需知
我知道了
×
提示
确定
请完成安全验证×
copy
已复制链接
快去分享给好友吧!
我知道了
右上角分享
点击右上角分享
0
联系我们:info@booksci.cn Book学术提供免费学术资源搜索服务,方便国内外学者检索中英文文献。致力于提供最便捷和优质的服务体验。 Copyright © 2023 布克学术 All rights reserved.
京ICP备2023020795号-1
ghs 京公网安备 11010802042870号
Book学术文献互助
Book学术文献互助群
群 号:604180095
Book学术官方微信