治疗性酒精给药对颌面部创伤术后酒精使用障碍患者围手术期生活质量和骨折愈合的影响——一项随机先导试验

IF 0.4 Q4 DENTISTRY, ORAL SURGERY & MEDICINE
Craniomaxillofacial Trauma & Reconstruction Pub Date : 2025-08-30 eCollection Date: 2025-09-01 DOI:10.3390/cmtr18030037
Elavenil Panneerselvam, Rajkumar Krishnan, Jaikumar Velayudham
{"title":"治疗性酒精给药对颌面部创伤术后酒精使用障碍患者围手术期生活质量和骨折愈合的影响——一项随机先导试验","authors":"Elavenil Panneerselvam, Rajkumar Krishnan, Jaikumar Velayudham","doi":"10.3390/cmtr18030037","DOIUrl":null,"url":null,"abstract":"<p><p>Alcohol Use Disorder (AUD) is common among patients with maxillofacial trauma. Conventional perioperative care recommends complete abstinence. However, abrupt cessation can lead to Alcohol Withdrawal Syndrome (AWS), negatively impacting psychological well-being and compliance. This randomized controlled pilot study evaluated the effectiveness of Monitored Therapeutic Alcohol Administration (MTAA) in reducing perioperative stress and enhancing quality of life without impairing fracture healing. Twenty-four adult male patients with AUD and isolated facial fractures requiring surgery were enrolled. They were assigned to either an intervention group (n = 12) receiving MTAA-oral alcohol at 0.5 g/kg/day for two weeks-or a control group (n = 12) undergoing complete abstinence. Outcomes were assessed over six weeks, including stress (Zung Self-Rating Depression Scale), quality of life (Oral Health Impact Profile-14), soft tissue healing (Landry's Index), and hard tissue healing (Moed's Scale, serum osteocalcin). The MTAA group showed significantly reduced stress and improved quality of life (<i>p</i> < 0.001). Healing outcomes were comparable between groups, with no significant differences in soft tissue indices, osteocalcin levels, or radiographic scores. MTAA appears to be a safe and effective strategy to manage AWS-related distress and improve postoperative recovery, offering a practical alternative to strict abstinence in the surgical management of patients with AUD.</p>","PeriodicalId":46447,"journal":{"name":"Craniomaxillofacial Trauma & Reconstruction","volume":"18 3","pages":"37"},"PeriodicalIF":0.4000,"publicationDate":"2025-08-30","publicationTypes":"Journal Article","fieldsOfStudy":null,"isOpenAccess":false,"openAccessPdf":"https://www.ncbi.nlm.nih.gov/pmc/articles/PMC12452396/pdf/","citationCount":"0","resultStr":"{\"title\":\"Impact of Therapeutic Alcohol Administration on Perioperative Quality of Life (QoL) and Fracture Healing in Patients with Alcohol Use Disorder Undergoing Surgery for Maxillofacial Trauma-A Randomized Pilot Trial.\",\"authors\":\"Elavenil Panneerselvam, Rajkumar Krishnan, Jaikumar Velayudham\",\"doi\":\"10.3390/cmtr18030037\",\"DOIUrl\":null,\"url\":null,\"abstract\":\"<p><p>Alcohol Use Disorder (AUD) is common among patients with maxillofacial trauma. Conventional perioperative care recommends complete abstinence. However, abrupt cessation can lead to Alcohol Withdrawal Syndrome (AWS), negatively impacting psychological well-being and compliance. This randomized controlled pilot study evaluated the effectiveness of Monitored Therapeutic Alcohol Administration (MTAA) in reducing perioperative stress and enhancing quality of life without impairing fracture healing. Twenty-four adult male patients with AUD and isolated facial fractures requiring surgery were enrolled. They were assigned to either an intervention group (n = 12) receiving MTAA-oral alcohol at 0.5 g/kg/day for two weeks-or a control group (n = 12) undergoing complete abstinence. Outcomes were assessed over six weeks, including stress (Zung Self-Rating Depression Scale), quality of life (Oral Health Impact Profile-14), soft tissue healing (Landry's Index), and hard tissue healing (Moed's Scale, serum osteocalcin). The MTAA group showed significantly reduced stress and improved quality of life (<i>p</i> < 0.001). Healing outcomes were comparable between groups, with no significant differences in soft tissue indices, osteocalcin levels, or radiographic scores. MTAA appears to be a safe and effective strategy to manage AWS-related distress and improve postoperative recovery, offering a practical alternative to strict abstinence in the surgical management of patients with AUD.</p>\",\"PeriodicalId\":46447,\"journal\":{\"name\":\"Craniomaxillofacial Trauma & Reconstruction\",\"volume\":\"18 3\",\"pages\":\"37\"},\"PeriodicalIF\":0.4000,\"publicationDate\":\"2025-08-30\",\"publicationTypes\":\"Journal Article\",\"fieldsOfStudy\":null,\"isOpenAccess\":false,\"openAccessPdf\":\"https://www.ncbi.nlm.nih.gov/pmc/articles/PMC12452396/pdf/\",\"citationCount\":\"0\",\"resultStr\":null,\"platform\":\"Semanticscholar\",\"paperid\":null,\"PeriodicalName\":\"Craniomaxillofacial Trauma & Reconstruction\",\"FirstCategoryId\":\"1085\",\"ListUrlMain\":\"https://doi.org/10.3390/cmtr18030037\",\"RegionNum\":0,\"RegionCategory\":null,\"ArticlePicture\":[],\"TitleCN\":null,\"AbstractTextCN\":null,\"PMCID\":null,\"EPubDate\":\"2025/9/1 0:00:00\",\"PubModel\":\"eCollection\",\"JCR\":\"Q4\",\"JCRName\":\"DENTISTRY, ORAL SURGERY & MEDICINE\",\"Score\":null,\"Total\":0}","platform":"Semanticscholar","paperid":null,"PeriodicalName":"Craniomaxillofacial Trauma & Reconstruction","FirstCategoryId":"1085","ListUrlMain":"https://doi.org/10.3390/cmtr18030037","RegionNum":0,"RegionCategory":null,"ArticlePicture":[],"TitleCN":null,"AbstractTextCN":null,"PMCID":null,"EPubDate":"2025/9/1 0:00:00","PubModel":"eCollection","JCR":"Q4","JCRName":"DENTISTRY, ORAL SURGERY & MEDICINE","Score":null,"Total":0}
引用次数: 0

摘要

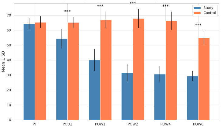
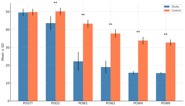
酒精使用障碍(AUD)在颌面部外伤患者中很常见。常规围手术期护理建议完全戒断。然而,突然停止可能导致酒精戒断综合征(AWS),对心理健康和依从性产生负面影响。这项随机对照先导研究评估了监测治疗性酒精管理(MTAA)在不影响骨折愈合的情况下减少围手术期应激和提高生活质量的有效性。24例成年男性AUD合并孤立性面部骨折需要手术治疗。他们被分为干预组(n = 12)和对照组(n = 12),分别接受mtaa(每天0.5 g/kg口服酒精,持续两周)和完全戒酒组。结果在六周内进行评估,包括压力(Zung抑郁自评量表)、生活质量(口腔健康影响概况-14)、软组织愈合(兰德里指数)和硬组织愈合(Moed量表,血清骨钙素)。MTAA组表现出明显减轻压力和改善生活质量(p < 0.001)。两组间的愈合结果具有可比性,软组织指数、骨钙素水平或影像学评分无显著差异。MTAA似乎是一种安全有效的策略来管理与aws相关的痛苦和改善术后恢复,为AUD患者的手术治疗提供了严格禁欲的实用替代方案。
本文章由计算机程序翻译,如有差异,请以英文原文为准。

Impact of Therapeutic Alcohol Administration on Perioperative Quality of Life (QoL) and Fracture Healing in Patients with Alcohol Use Disorder Undergoing Surgery for Maxillofacial Trauma-A Randomized Pilot Trial.

Impact of Therapeutic Alcohol Administration on Perioperative Quality of Life (QoL) and Fracture Healing in Patients with Alcohol Use Disorder Undergoing Surgery for Maxillofacial Trauma-A Randomized Pilot Trial.

Impact of Therapeutic Alcohol Administration on Perioperative Quality of Life (QoL) and Fracture Healing in Patients with Alcohol Use Disorder Undergoing Surgery for Maxillofacial Trauma-A Randomized Pilot Trial.

Impact of Therapeutic Alcohol Administration on Perioperative Quality of Life (QoL) and Fracture Healing in Patients with Alcohol Use Disorder Undergoing Surgery for Maxillofacial Trauma-A Randomized Pilot Trial.

Alcohol Use Disorder (AUD) is common among patients with maxillofacial trauma. Conventional perioperative care recommends complete abstinence. However, abrupt cessation can lead to Alcohol Withdrawal Syndrome (AWS), negatively impacting psychological well-being and compliance. This randomized controlled pilot study evaluated the effectiveness of Monitored Therapeutic Alcohol Administration (MTAA) in reducing perioperative stress and enhancing quality of life without impairing fracture healing. Twenty-four adult male patients with AUD and isolated facial fractures requiring surgery were enrolled. They were assigned to either an intervention group (n = 12) receiving MTAA-oral alcohol at 0.5 g/kg/day for two weeks-or a control group (n = 12) undergoing complete abstinence. Outcomes were assessed over six weeks, including stress (Zung Self-Rating Depression Scale), quality of life (Oral Health Impact Profile-14), soft tissue healing (Landry's Index), and hard tissue healing (Moed's Scale, serum osteocalcin). The MTAA group showed significantly reduced stress and improved quality of life (p < 0.001). Healing outcomes were comparable between groups, with no significant differences in soft tissue indices, osteocalcin levels, or radiographic scores. MTAA appears to be a safe and effective strategy to manage AWS-related distress and improve postoperative recovery, offering a practical alternative to strict abstinence in the surgical management of patients with AUD.

求助全文
通过发布文献求助,成功后即可免费获取论文全文。 去求助
来源期刊
Craniomaxillofacial Trauma & Reconstruction
Craniomaxillofacial Trauma & Reconstruction DENTISTRY, ORAL SURGERY & MEDICINE-
自引率
0.00%
发文量
39
×
引用
GB/T 7714-2015
复制
MLA
复制
APA
复制
导出至
BibTeX EndNote RefMan NoteFirst NoteExpress
×
提示
您的信息不完整,为了账户安全,请先补充。
现在去补充
×
提示
您因"违规操作"
具体请查看互助需知
我知道了
×
提示
确定
请完成安全验证×
copy
已复制链接
快去分享给好友吧!
我知道了
右上角分享
点击右上角分享
0
联系我们:info@booksci.cn Book学术提供免费学术资源搜索服务,方便国内外学者检索中英文文献。致力于提供最便捷和优质的服务体验。 Copyright © 2023 布克学术 All rights reserved.
京ICP备2023020795号-1
ghs 京公网安备 11010802042870号
Book学术文献互助
Book学术文献互助群
群 号:604180095
Book学术官方微信