夜间与工作相关的昼夜节律失调对头痛发作的急性影响:来自1001夜队列的结果。

IF 4 2区 医学 Q1 CLINICAL NEUROLOGY
Headache Pub Date : 2025-10-01 Epub Date: 2025-09-23 DOI:10.1111/head.15054
Rikke Harmsen, Jakob Møller Hansen, Dagfinn Matre, Anne Emily Saunte Fiehn Arup, Anne Helene Garde, Kirsten Nabe-Nielsen
{"title":"夜间与工作相关的昼夜节律失调对头痛发作的急性影响:来自1001夜队列的结果。","authors":"Rikke Harmsen, Jakob Møller Hansen, Dagfinn Matre, Anne Emily Saunte Fiehn Arup, Anne Helene Garde, Kirsten Nabe-Nielsen","doi":"10.1111/head.15054","DOIUrl":null,"url":null,"abstract":"<p><strong>Objectives: </strong>We aimed to investigate the prevalence of headaches on days with night shifts compared with days with day shifts within the same individuals, accounting for work-related psychosocial stressors, physical job demands, and sleep duration and quality. This approach allowed us to isolate the impact of circadian misalignment due to night work from other potential headache triggers.</p><p><strong>Background: </strong>Night work has been suggested to increase the risk of headaches, primarily due to circadian misalignment and disturbed sleep. Most previous studies compare night workers with day workers, but differences in job characteristics and tasks between these groups may introduce bias. To minimize this potential bias, we examined headache occurrence under different working conditions (night vs. day shifts) within the same individuals.</p><p><strong>Methods: </strong>We used data from 14 days of repeated measurements in the 1001 nights-cohort, which includes female employees from the Danish hospital sector. Data were collected from September 2022 to April 2024. Participants completed diaries for 14 consecutive days, providing daily information on working hours, sleep, work-related psychosocial stressors, physical job demands, and headache occurrence (yes/no). Participants with data from at least one day shift and at least one night shift were eligible for inclusion in the analyses. In total, 522 participants contributed 3348 measurement days (1926 day shifts and 1422 night shifts). We estimated prevalence ratios (PRs) for headache occurrence while accounting for repeated measures within individuals and with adjustment for possible confounders (adjusted prevalence ratio [aPR]).</p><p><strong>Results: </strong>Headache was reported on 21.5% of measurement days with day shifts and on 27.9% of measurement days with night shifts. Working a night shift was associated with a significantly higher headache prevalence (aPR, 1.31; 95% confidence interval, 1.13-1.52) compared with day shifts when adjusting for work-related psychosocial stressors, physical job demands, and sleep duration and quality. For consecutive night shifts, the similarly adjusted headache prevalence was highest on the measurement day with the second night shift (aPR, 1.20; 95% confidence interval, 1.02-1.42), using the first night shift as a reference.</p><p><strong>Conclusion: </strong>This study is the first to investigate the headache prevalence when working night shifts compared with day shifts while accounting for work-related psychosocial stressors and physical job demands. Neither these factors, nor shorter sleep duration or lower sleep quality, explained the increased headache prevalence observed when participants worked night shifts. Thus, other (cascading) effects and underlying mechanisms of night work-related circadian misalignment may be the primary drivers of headache in night shift workers.</p>","PeriodicalId":12844,"journal":{"name":"Headache","volume":" ","pages":"1554-1564"},"PeriodicalIF":4.0000,"publicationDate":"2025-10-01","publicationTypes":"Journal Article","fieldsOfStudy":null,"isOpenAccess":false,"openAccessPdf":"https://www.ncbi.nlm.nih.gov/pmc/articles/PMC12497931/pdf/","citationCount":"0","resultStr":"{\"title\":\"The acute effect of night work-related circadian misalignment on headache episodes: Results from the 1001 nights-cohort.\",\"authors\":\"Rikke Harmsen, Jakob Møller Hansen, Dagfinn Matre, Anne Emily Saunte Fiehn Arup, Anne Helene Garde, Kirsten Nabe-Nielsen\",\"doi\":\"10.1111/head.15054\",\"DOIUrl\":null,\"url\":null,\"abstract\":\"<p><strong>Objectives: </strong>We aimed to investigate the prevalence of headaches on days with night shifts compared with days with day shifts within the same individuals, accounting for work-related psychosocial stressors, physical job demands, and sleep duration and quality. This approach allowed us to isolate the impact of circadian misalignment due to night work from other potential headache triggers.</p><p><strong>Background: </strong>Night work has been suggested to increase the risk of headaches, primarily due to circadian misalignment and disturbed sleep. Most previous studies compare night workers with day workers, but differences in job characteristics and tasks between these groups may introduce bias. To minimize this potential bias, we examined headache occurrence under different working conditions (night vs. day shifts) within the same individuals.</p><p><strong>Methods: </strong>We used data from 14 days of repeated measurements in the 1001 nights-cohort, which includes female employees from the Danish hospital sector. Data were collected from September 2022 to April 2024. Participants completed diaries for 14 consecutive days, providing daily information on working hours, sleep, work-related psychosocial stressors, physical job demands, and headache occurrence (yes/no). Participants with data from at least one day shift and at least one night shift were eligible for inclusion in the analyses. In total, 522 participants contributed 3348 measurement days (1926 day shifts and 1422 night shifts). We estimated prevalence ratios (PRs) for headache occurrence while accounting for repeated measures within individuals and with adjustment for possible confounders (adjusted prevalence ratio [aPR]).</p><p><strong>Results: </strong>Headache was reported on 21.5% of measurement days with day shifts and on 27.9% of measurement days with night shifts. Working a night shift was associated with a significantly higher headache prevalence (aPR, 1.31; 95% confidence interval, 1.13-1.52) compared with day shifts when adjusting for work-related psychosocial stressors, physical job demands, and sleep duration and quality. For consecutive night shifts, the similarly adjusted headache prevalence was highest on the measurement day with the second night shift (aPR, 1.20; 95% confidence interval, 1.02-1.42), using the first night shift as a reference.</p><p><strong>Conclusion: </strong>This study is the first to investigate the headache prevalence when working night shifts compared with day shifts while accounting for work-related psychosocial stressors and physical job demands. Neither these factors, nor shorter sleep duration or lower sleep quality, explained the increased headache prevalence observed when participants worked night shifts. Thus, other (cascading) effects and underlying mechanisms of night work-related circadian misalignment may be the primary drivers of headache in night shift workers.</p>\",\"PeriodicalId\":12844,\"journal\":{\"name\":\"Headache\",\"volume\":\" \",\"pages\":\"1554-1564\"},\"PeriodicalIF\":4.0000,\"publicationDate\":\"2025-10-01\",\"publicationTypes\":\"Journal Article\",\"fieldsOfStudy\":null,\"isOpenAccess\":false,\"openAccessPdf\":\"https://www.ncbi.nlm.nih.gov/pmc/articles/PMC12497931/pdf/\",\"citationCount\":\"0\",\"resultStr\":null,\"platform\":\"Semanticscholar\",\"paperid\":null,\"PeriodicalName\":\"Headache\",\"FirstCategoryId\":\"3\",\"ListUrlMain\":\"https://doi.org/10.1111/head.15054\",\"RegionNum\":2,\"RegionCategory\":\"医学\",\"ArticlePicture\":[],\"TitleCN\":null,\"AbstractTextCN\":null,\"PMCID\":null,\"EPubDate\":\"2025/9/23 0:00:00\",\"PubModel\":\"Epub\",\"JCR\":\"Q1\",\"JCRName\":\"CLINICAL NEUROLOGY\",\"Score\":null,\"Total\":0}","platform":"Semanticscholar","paperid":null,"PeriodicalName":"Headache","FirstCategoryId":"3","ListUrlMain":"https://doi.org/10.1111/head.15054","RegionNum":2,"RegionCategory":"医学","ArticlePicture":[],"TitleCN":null,"AbstractTextCN":null,"PMCID":null,"EPubDate":"2025/9/23 0:00:00","PubModel":"Epub","JCR":"Q1","JCRName":"CLINICAL NEUROLOGY","Score":null,"Total":0}
引用次数: 0

摘要

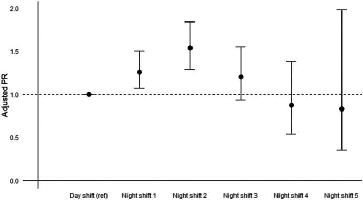
目的:我们的目的是调查在同一个人中,夜班与白班的头痛患病率,考虑到与工作相关的心理社会压力因素、身体工作需求、睡眠时间和质量。这种方法使我们能够将夜间工作导致的昼夜节律失调的影响与其他潜在的头痛触发因素隔离开来。背景:夜间工作被认为会增加头痛的风险,主要是由于昼夜节律失调和睡眠紊乱。大多数先前的研究比较了夜班工人和白班工人,但这两个群体之间的工作特征和任务的差异可能会导致偏见。为了尽量减少这种潜在的偏差,我们检查了同一个体在不同工作条件下(夜班与白班)的头痛发生率。方法:我们使用了1001夜队列中14天重复测量的数据,其中包括来自丹麦医院部门的女性员工。数据收集于2022年9月至2024年4月。参与者完成连续14天的日记,提供每天的工作时间、睡眠、与工作相关的社会心理压力源、身体工作需求和头痛发生情况(是/否)。至少有一次白班和至少一次夜班数据的参与者有资格纳入分析。总共有522名参与者贡献了3348个测量日(1926个白班和1422个夜班)。我们估计了头痛发生的患病率(pr),同时考虑了个体内的重复测量,并对可能的混杂因素进行了调整(调整患病率[aPR])。结果:白班和夜班测量日分别有21.5%和27.9%的患者报告头痛。在调整了与工作相关的心理社会压力因素、体力工作需求、睡眠时间和质量后,夜班与白班相比,头痛患病率明显更高(aPR, 1.31; 95%可信区间,1.13-1.52)。对于连续夜班,以第一个夜班为参照,类似调整后的头痛患病率在测量日和第二个夜班最高(aPR, 1.20; 95%可信区间,1.02-1.42)。结论:本研究首次调查了夜班与白班工作时的头痛患病率,同时考虑了与工作相关的心理社会压力因素和身体工作需求。这些因素,以及较短的睡眠时间或较低的睡眠质量,都不能解释当参与者上夜班时观察到的头痛患病率增加。因此,与夜间工作相关的昼夜节律失调的其他(级联)效应和潜在机制可能是夜班工人头痛的主要驱动因素。
本文章由计算机程序翻译,如有差异,请以英文原文为准。

The acute effect of night work-related circadian misalignment on headache episodes: Results from the 1001 nights-cohort.

The acute effect of night work-related circadian misalignment on headache episodes: Results from the 1001 nights-cohort.

The acute effect of night work-related circadian misalignment on headache episodes: Results from the 1001 nights-cohort.

Objectives: We aimed to investigate the prevalence of headaches on days with night shifts compared with days with day shifts within the same individuals, accounting for work-related psychosocial stressors, physical job demands, and sleep duration and quality. This approach allowed us to isolate the impact of circadian misalignment due to night work from other potential headache triggers.

Background: Night work has been suggested to increase the risk of headaches, primarily due to circadian misalignment and disturbed sleep. Most previous studies compare night workers with day workers, but differences in job characteristics and tasks between these groups may introduce bias. To minimize this potential bias, we examined headache occurrence under different working conditions (night vs. day shifts) within the same individuals.

Methods: We used data from 14 days of repeated measurements in the 1001 nights-cohort, which includes female employees from the Danish hospital sector. Data were collected from September 2022 to April 2024. Participants completed diaries for 14 consecutive days, providing daily information on working hours, sleep, work-related psychosocial stressors, physical job demands, and headache occurrence (yes/no). Participants with data from at least one day shift and at least one night shift were eligible for inclusion in the analyses. In total, 522 participants contributed 3348 measurement days (1926 day shifts and 1422 night shifts). We estimated prevalence ratios (PRs) for headache occurrence while accounting for repeated measures within individuals and with adjustment for possible confounders (adjusted prevalence ratio [aPR]).

Results: Headache was reported on 21.5% of measurement days with day shifts and on 27.9% of measurement days with night shifts. Working a night shift was associated with a significantly higher headache prevalence (aPR, 1.31; 95% confidence interval, 1.13-1.52) compared with day shifts when adjusting for work-related psychosocial stressors, physical job demands, and sleep duration and quality. For consecutive night shifts, the similarly adjusted headache prevalence was highest on the measurement day with the second night shift (aPR, 1.20; 95% confidence interval, 1.02-1.42), using the first night shift as a reference.

Conclusion: This study is the first to investigate the headache prevalence when working night shifts compared with day shifts while accounting for work-related psychosocial stressors and physical job demands. Neither these factors, nor shorter sleep duration or lower sleep quality, explained the increased headache prevalence observed when participants worked night shifts. Thus, other (cascading) effects and underlying mechanisms of night work-related circadian misalignment may be the primary drivers of headache in night shift workers.

求助全文
通过发布文献求助,成功后即可免费获取论文全文。 去求助
来源期刊
Headache
Headache 医学-临床神经学
CiteScore
9.40
自引率
10.00%
发文量
172
审稿时长
3-8 weeks
期刊介绍: Headache publishes original articles on all aspects of head and face pain including communications on clinical and basic research, diagnosis and management, epidemiology, genetics, and pathophysiology of primary and secondary headaches, cranial neuralgias, and pains referred to the head and face. Monthly issues feature case reports, short communications, review articles, letters to the editor, and news items regarding AHS plus medicolegal and socioeconomic aspects of head pain. This is the official journal of the American Headache Society.
×
引用
GB/T 7714-2015
复制
MLA
复制
APA
复制
导出至
BibTeX EndNote RefMan NoteFirst NoteExpress
×
提示
您的信息不完整,为了账户安全,请先补充。
现在去补充
×
提示
您因"违规操作"
具体请查看互助需知
我知道了
×
提示
确定
请完成安全验证×
copy
已复制链接
快去分享给好友吧!
我知道了
右上角分享
点击右上角分享
0
联系我们:info@booksci.cn Book学术提供免费学术资源搜索服务,方便国内外学者检索中英文文献。致力于提供最便捷和优质的服务体验。 Copyright © 2023 布克学术 All rights reserved.
京ICP备2023020795号-1
ghs 京公网安备 11010802042870号
Book学术文献互助
Book学术文献互助群
群 号:604180095
Book学术官方微信