高密度聚乙烯与纤维玄武岩复合材料等温结晶特性研究

IF 0.3 Q4 MATERIALS SCIENCE, MULTIDISCIPLINARY
N. T. Kakhramanov, O. M. Guliyeva, A. A. Hasanova, S. S. Aliyeva
{"title":"高密度聚乙烯与纤维玄武岩复合材料等温结晶特性研究","authors":"N. T. Kakhramanov,&nbsp;O. M. Guliyeva,&nbsp;A. A. Hasanova,&nbsp;S. S. Aliyeva","doi":"10.1134/S2075113325701552","DOIUrl":null,"url":null,"abstract":"<p>The influence of fibrous basalt content on the crystallization patterns of composites based on high-density polyethylene was investigated. The crystallization process was studied using the stepwise dilatometry method within the temperature range of 20–210°C. The fibrous basalt content in the HDPE composition was varied between 1 and 20 wt %. The dependence of the specific volume of the composites on temperature was examined by dilatometric analysis. The results of analysis allowed for the identification of first-order phase transitions, the second-order phase transitions (glass transition temperature), and the free and occupied specific volumes of the composites. The studies showed that fibrous basalt is distributed within the free volume of the polymer matrix, which is primarily located in the interspherulitic amorphous region. The kinetic patterns of crystallization of the composites were studied in Kolmogorov–Avrami coordinates, establishing that the mechanism of crystalline formation growth during continuous nucleation largely depends on the content of fibrous filler. In particular, it was determined that the initial high-density polyethylene and composites with filler content of 1–5 wt % are characterized by a three-dimensional spherulitic type of crystal growth; composites with fibrous filler content of 10–15 wt % exhibit a lamellar type of crystal growth; and samples with filler content of 20 wt % show a rodlike type, which is the simplest type of crystalline growth.</p>","PeriodicalId":586,"journal":{"name":"Inorganic Materials: Applied Research","volume":"16 5","pages":"1456 - 1460"},"PeriodicalIF":0.3000,"publicationDate":"2025-09-24","publicationTypes":"Journal Article","fieldsOfStudy":null,"isOpenAccess":false,"openAccessPdf":"","citationCount":"0","resultStr":"{\"title\":\"Features of Isothermal Crystallization of Composites Based on High-Density Polyethylene and Fibrous Basalt\",\"authors\":\"N. T. Kakhramanov,&nbsp;O. M. Guliyeva,&nbsp;A. A. Hasanova,&nbsp;S. S. Aliyeva\",\"doi\":\"10.1134/S2075113325701552\",\"DOIUrl\":null,\"url\":null,\"abstract\":\"<p>The influence of fibrous basalt content on the crystallization patterns of composites based on high-density polyethylene was investigated. The crystallization process was studied using the stepwise dilatometry method within the temperature range of 20–210°C. The fibrous basalt content in the HDPE composition was varied between 1 and 20 wt %. The dependence of the specific volume of the composites on temperature was examined by dilatometric analysis. The results of analysis allowed for the identification of first-order phase transitions, the second-order phase transitions (glass transition temperature), and the free and occupied specific volumes of the composites. The studies showed that fibrous basalt is distributed within the free volume of the polymer matrix, which is primarily located in the interspherulitic amorphous region. The kinetic patterns of crystallization of the composites were studied in Kolmogorov–Avrami coordinates, establishing that the mechanism of crystalline formation growth during continuous nucleation largely depends on the content of fibrous filler. In particular, it was determined that the initial high-density polyethylene and composites with filler content of 1–5 wt % are characterized by a three-dimensional spherulitic type of crystal growth; composites with fibrous filler content of 10–15 wt % exhibit a lamellar type of crystal growth; and samples with filler content of 20 wt % show a rodlike type, which is the simplest type of crystalline growth.</p>\",\"PeriodicalId\":586,\"journal\":{\"name\":\"Inorganic Materials: Applied Research\",\"volume\":\"16 5\",\"pages\":\"1456 - 1460\"},\"PeriodicalIF\":0.3000,\"publicationDate\":\"2025-09-24\",\"publicationTypes\":\"Journal Article\",\"fieldsOfStudy\":null,\"isOpenAccess\":false,\"openAccessPdf\":\"\",\"citationCount\":\"0\",\"resultStr\":null,\"platform\":\"Semanticscholar\",\"paperid\":null,\"PeriodicalName\":\"Inorganic Materials: Applied Research\",\"FirstCategoryId\":\"1085\",\"ListUrlMain\":\"https://link.springer.com/article/10.1134/S2075113325701552\",\"RegionNum\":0,\"RegionCategory\":null,\"ArticlePicture\":[],\"TitleCN\":null,\"AbstractTextCN\":null,\"PMCID\":null,\"EPubDate\":\"\",\"PubModel\":\"\",\"JCR\":\"Q4\",\"JCRName\":\"MATERIALS SCIENCE, MULTIDISCIPLINARY\",\"Score\":null,\"Total\":0}","platform":"Semanticscholar","paperid":null,"PeriodicalName":"Inorganic Materials: Applied Research","FirstCategoryId":"1085","ListUrlMain":"https://link.springer.com/article/10.1134/S2075113325701552","RegionNum":0,"RegionCategory":null,"ArticlePicture":[],"TitleCN":null,"AbstractTextCN":null,"PMCID":null,"EPubDate":"","PubModel":"","JCR":"Q4","JCRName":"MATERIALS SCIENCE, MULTIDISCIPLINARY","Score":null,"Total":0}
引用次数: 0

摘要

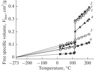
研究了玄武岩纤维含量对高密度聚乙烯基复合材料结晶模式的影响。在20 ~ 210℃的温度范围内,用逐步膨胀法研究了结晶过程。纤维玄武岩在HDPE组成中的含量在1% ~ 20%之间变化。用膨胀分析方法研究了复合材料的比容随温度的变化规律。分析结果允许识别一阶相变,二阶相变(玻璃化转变温度),以及复合材料的自由和占据的特定体积。研究表明,纤维状玄武岩分布在聚合物基体的自由体积内,主要分布在球间无定形区。在Kolmogorov-Avrami坐标系下对复合材料的结晶动力学模式进行了研究,确定了连续成核过程中结晶的形成生长机制在很大程度上取决于纤维填料的含量。特别地,确定了初始高密度聚乙烯和填料含量为1-5 wt %的复合材料具有三维球晶型晶体生长的特征;当纤维填料含量为10-15 wt %时,复合材料呈现片层型晶体生长;填料含量为20%的样品呈棒状生长,这是最简单的晶体生长类型。
本文章由计算机程序翻译,如有差异,请以英文原文为准。

Features of Isothermal Crystallization of Composites Based on High-Density Polyethylene and Fibrous Basalt

Features of Isothermal Crystallization of Composites Based on High-Density Polyethylene and Fibrous Basalt

The influence of fibrous basalt content on the crystallization patterns of composites based on high-density polyethylene was investigated. The crystallization process was studied using the stepwise dilatometry method within the temperature range of 20–210°C. The fibrous basalt content in the HDPE composition was varied between 1 and 20 wt %. The dependence of the specific volume of the composites on temperature was examined by dilatometric analysis. The results of analysis allowed for the identification of first-order phase transitions, the second-order phase transitions (glass transition temperature), and the free and occupied specific volumes of the composites. The studies showed that fibrous basalt is distributed within the free volume of the polymer matrix, which is primarily located in the interspherulitic amorphous region. The kinetic patterns of crystallization of the composites were studied in Kolmogorov–Avrami coordinates, establishing that the mechanism of crystalline formation growth during continuous nucleation largely depends on the content of fibrous filler. In particular, it was determined that the initial high-density polyethylene and composites with filler content of 1–5 wt % are characterized by a three-dimensional spherulitic type of crystal growth; composites with fibrous filler content of 10–15 wt % exhibit a lamellar type of crystal growth; and samples with filler content of 20 wt % show a rodlike type, which is the simplest type of crystalline growth.

求助全文
通过发布文献求助,成功后即可免费获取论文全文。 去求助
来源期刊
Inorganic Materials: Applied Research
Inorganic Materials: Applied Research Engineering-Engineering (all)
CiteScore
0.90
自引率
0.00%
发文量
199
期刊介绍: Inorganic Materials: Applied Research  contains translations of research articles devoted to applied aspects of inorganic materials. Best articles are selected from four Russian periodicals: Materialovedenie, Perspektivnye Materialy, Fizika i Khimiya Obrabotki Materialov, and Voprosy Materialovedeniya  and translated into English. The journal reports recent achievements in materials science: physical and chemical bases of materials science; effects of synergism in composite materials; computer simulations; creation of new materials (including carbon-based materials and ceramics, semiconductors, superconductors, composite materials, polymers, materials for nuclear engineering, materials for aircraft and space engineering, materials for quantum electronics, materials for electronics and optoelectronics, materials for nuclear and thermonuclear power engineering, radiation-hardened materials, materials for use in medicine, etc.); analytical techniques; structure–property relationships; nanostructures and nanotechnologies; advanced technologies; use of hydrogen in structural materials; and economic and environmental issues. The journal also considers engineering issues of materials processing with plasma, high-gradient crystallization, laser technology, and ultrasonic technology. Currently the journal does not accept direct submissions, but submissions to one of the source journals is possible.
×
引用
GB/T 7714-2015
复制
MLA
复制
APA
复制
导出至
BibTeX EndNote RefMan NoteFirst NoteExpress
×
提示
您的信息不完整,为了账户安全,请先补充。
现在去补充
×
提示
您因"违规操作"
具体请查看互助需知
我知道了
×
提示
确定
请完成安全验证×
copy
已复制链接
快去分享给好友吧!
我知道了
右上角分享
点击右上角分享
0
联系我们:info@booksci.cn Book学术提供免费学术资源搜索服务,方便国内外学者检索中英文文献。致力于提供最便捷和优质的服务体验。 Copyright © 2023 布克学术 All rights reserved.
京ICP备2023020795号-1
ghs 京公网安备 11010802042870号
Book学术文献互助
Book学术文献互助群
群 号:604180095
Book学术官方微信