使用机器学习方法预测耐多药或利福平耐药结核病的早期治疗结果,以提高患者治愈率:多种模型的开发和验证。

IF 6 2区 医学 Q1 HEALTH CARE SCIENCES & SERVICES
Fuzhen Zhang, Zilong Yang, Xiaonan Geng, Yu Dong, Shanshan Li, Cong Yao, Yuanyuan Shang, Weicong Ren, Ruichao Liu, Haobin Kuang, Liang Li, Yu Pang
{"title":"使用机器学习方法预测耐多药或利福平耐药结核病的早期治疗结果,以提高患者治愈率:多种模型的开发和验证。","authors":"Fuzhen Zhang, Zilong Yang, Xiaonan Geng, Yu Dong, Shanshan Li, Cong Yao, Yuanyuan Shang, Weicong Ren, Ruichao Liu, Haobin Kuang, Liang Li, Yu Pang","doi":"10.2196/69998","DOIUrl":null,"url":null,"abstract":"<p><strong>Background: </strong>Early prediction of treatment outcomes for patients with multidrug-resistant or rifampicin-resistant tuberculosis (MDR/RR-TB) undergoing extended therapy is crucial for enhancing clinical prognoses and preventing the transmission of this deadly disease. However, the absence of validated predictive models remains a significant challenge.</p><p><strong>Objective: </strong>This study compared a conventional logistic regression model with machine learning (ML) models using demographic and clinical data to predict outcomes at 2 and 6 months of treatment for MDR/RR-TB. The goal was to advance model applications, refine control strategies, and boost MDR/RR-TB cure rates.</p><p><strong>Methods: </strong>This retrospective study encompassed an internal cohort of 744 patients with MDR/RR-TB examined between January 2017 and June 2023, as well as an external cohort comprising 137 patients with MDR/RR-TB examined between March 2021 and June 2022. Data on culture conversion were collected at 2 and 6 months, and culture conversion was tracked in the external cohort at the same time points. The internal cohort was assigned as the training set, whereas the external cohort was used as the validation set. Logistic regression and 7 ML models were developed to predict the culture conversion of patients with MDR/RR-TB at 2 and 6 months of treatment. Model performance was evaluated using the area under the curve, accuracy, sensitivity, and specificity.</p><p><strong>Results: </strong>In the internal cohort, culture conversion rates for MDR/RR-TB were 81.9% (485/592) at 2 months and 87.1% (406/466) at 6 months. The odds ratio for treatment success was 8.55 (95% CI 3.31-22.08) at 2 months and 20.33 (95% CI 6.90-59.86) at 6 months after conversion, with sensitivities of 86.5% and 92.2% and specificities of 57.1% and 63.2%, respectively. The artificial neural network model was the best for culture conversion at both 2 and 6 months of treatment, with areas under the curve of 0.82 (95% CI 0.77-0.86) and 0.90 (95% CI 0.86-0.93), respectively. The accuracy, sensitivity, and specificity of the model were 0.74, 0.74, and 0.75 at 2 months of treatment and 0.80, 0.79, and 0.87 at 6 months of treatment, respectively.</p><p><strong>Conclusions: </strong>The ML models based on 2- and 6-month culture conversion could accurately predict treatment outcomes for patients with MDR/RR-TB. ML models, particularly the artificial neural network model, outperformed the logistic regression model in both stability and generalizability and offer a rapid and effective tool for evaluating therapeutic efficacy in the early stages of MDR/RR-TB treatment.</p>","PeriodicalId":16337,"journal":{"name":"Journal of Medical Internet Research","volume":"27 ","pages":"e69998"},"PeriodicalIF":6.0000,"publicationDate":"2025-09-22","publicationTypes":"Journal Article","fieldsOfStudy":null,"isOpenAccess":false,"openAccessPdf":"https://www.ncbi.nlm.nih.gov/pmc/articles/PMC12501533/pdf/","citationCount":"0","resultStr":"{\"title\":\"Using Machine Learning Methods to Predict Early Treatment Outcomes for Multidrug-Resistant or Rifampicin-Resistant Tuberculosis to Enhance Patient Cure Rates: Development and Validation of Multiple Models.\",\"authors\":\"Fuzhen Zhang, Zilong Yang, Xiaonan Geng, Yu Dong, Shanshan Li, Cong Yao, Yuanyuan Shang, Weicong Ren, Ruichao Liu, Haobin Kuang, Liang Li, Yu Pang\",\"doi\":\"10.2196/69998\",\"DOIUrl\":null,\"url\":null,\"abstract\":\"<p><strong>Background: </strong>Early prediction of treatment outcomes for patients with multidrug-resistant or rifampicin-resistant tuberculosis (MDR/RR-TB) undergoing extended therapy is crucial for enhancing clinical prognoses and preventing the transmission of this deadly disease. However, the absence of validated predictive models remains a significant challenge.</p><p><strong>Objective: </strong>This study compared a conventional logistic regression model with machine learning (ML) models using demographic and clinical data to predict outcomes at 2 and 6 months of treatment for MDR/RR-TB. The goal was to advance model applications, refine control strategies, and boost MDR/RR-TB cure rates.</p><p><strong>Methods: </strong>This retrospective study encompassed an internal cohort of 744 patients with MDR/RR-TB examined between January 2017 and June 2023, as well as an external cohort comprising 137 patients with MDR/RR-TB examined between March 2021 and June 2022. Data on culture conversion were collected at 2 and 6 months, and culture conversion was tracked in the external cohort at the same time points. The internal cohort was assigned as the training set, whereas the external cohort was used as the validation set. Logistic regression and 7 ML models were developed to predict the culture conversion of patients with MDR/RR-TB at 2 and 6 months of treatment. Model performance was evaluated using the area under the curve, accuracy, sensitivity, and specificity.</p><p><strong>Results: </strong>In the internal cohort, culture conversion rates for MDR/RR-TB were 81.9% (485/592) at 2 months and 87.1% (406/466) at 6 months. The odds ratio for treatment success was 8.55 (95% CI 3.31-22.08) at 2 months and 20.33 (95% CI 6.90-59.86) at 6 months after conversion, with sensitivities of 86.5% and 92.2% and specificities of 57.1% and 63.2%, respectively. The artificial neural network model was the best for culture conversion at both 2 and 6 months of treatment, with areas under the curve of 0.82 (95% CI 0.77-0.86) and 0.90 (95% CI 0.86-0.93), respectively. The accuracy, sensitivity, and specificity of the model were 0.74, 0.74, and 0.75 at 2 months of treatment and 0.80, 0.79, and 0.87 at 6 months of treatment, respectively.</p><p><strong>Conclusions: </strong>The ML models based on 2- and 6-month culture conversion could accurately predict treatment outcomes for patients with MDR/RR-TB. ML models, particularly the artificial neural network model, outperformed the logistic regression model in both stability and generalizability and offer a rapid and effective tool for evaluating therapeutic efficacy in the early stages of MDR/RR-TB treatment.</p>\",\"PeriodicalId\":16337,\"journal\":{\"name\":\"Journal of Medical Internet Research\",\"volume\":\"27 \",\"pages\":\"e69998\"},\"PeriodicalIF\":6.0000,\"publicationDate\":\"2025-09-22\",\"publicationTypes\":\"Journal Article\",\"fieldsOfStudy\":null,\"isOpenAccess\":false,\"openAccessPdf\":\"https://www.ncbi.nlm.nih.gov/pmc/articles/PMC12501533/pdf/\",\"citationCount\":\"0\",\"resultStr\":null,\"platform\":\"Semanticscholar\",\"paperid\":null,\"PeriodicalName\":\"Journal of Medical Internet Research\",\"FirstCategoryId\":\"3\",\"ListUrlMain\":\"https://doi.org/10.2196/69998\",\"RegionNum\":2,\"RegionCategory\":\"医学\",\"ArticlePicture\":[],\"TitleCN\":null,\"AbstractTextCN\":null,\"PMCID\":null,\"EPubDate\":\"\",\"PubModel\":\"\",\"JCR\":\"Q1\",\"JCRName\":\"HEALTH CARE SCIENCES & SERVICES\",\"Score\":null,\"Total\":0}","platform":"Semanticscholar","paperid":null,"PeriodicalName":"Journal of Medical Internet Research","FirstCategoryId":"3","ListUrlMain":"https://doi.org/10.2196/69998","RegionNum":2,"RegionCategory":"医学","ArticlePicture":[],"TitleCN":null,"AbstractTextCN":null,"PMCID":null,"EPubDate":"","PubModel":"","JCR":"Q1","JCRName":"HEALTH CARE SCIENCES & SERVICES","Score":null,"Total":0}
引用次数: 0

摘要

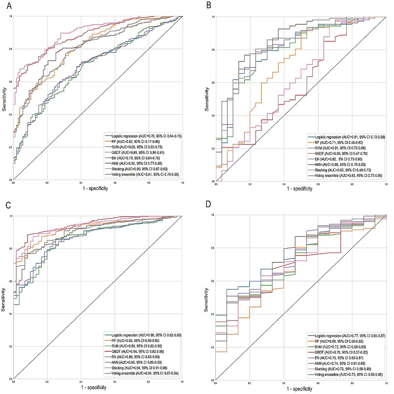
背景:早期预测接受长期治疗的耐多药或耐利福平结核病(MDR/RR-TB)患者的治疗结果对于提高临床预后和预防这种致命疾病的传播至关重要。然而,缺乏有效的预测模型仍然是一个重大挑战。目的:本研究比较了传统的逻辑回归模型和机器学习(ML)模型,利用人口统计学和临床数据来预测MDR/RR-TB治疗2个月和6个月的结果。目标是推进模型应用,完善控制策略,并提高耐多药/耐药结核病治愈率。方法:这项回顾性研究包括2017年1月至2023年6月期间检查的744例MDR/RR-TB患者的内部队列,以及2021年3月至2022年6月期间检查的137例MDR/RR-TB患者的外部队列。在2个月和6个月时收集文化转换的数据,并在同一时间点跟踪外部队列的文化转换。内部队列被指定为训练集,而外部队列被用作验证集。建立了Logistic回归和7 ML模型来预测MDR/RR-TB患者在治疗2个月和6个月时的培养转化。使用曲线下面积、准确性、灵敏度和特异性来评估模型的性能。结果:在内部队列中,MDR/RR-TB培养转化率在2个月时为81.9%(485/592),在6个月时为87.1%(406/466)。转换后2个月治疗成功的优势比为8.55 (95% CI 3.31-22.08), 6个月治疗成功的优势比为20.33 (95% CI 6.90-59.86),敏感性分别为86.5%和92.2%,特异性分别为57.1%和63.2%。人工神经网络模型在2个月和6个月的培养转化效果最好,曲线下面积分别为0.82 (95% CI 0.77 ~ 0.86)和0.90 (95% CI 0.86 ~ 0.93)。治疗2个月时,模型的准确性、敏感性和特异性分别为0.74、0.74和0.75;治疗6个月时,模型的准确性、敏感性和特异性分别为0.80、0.79和0.87。结论:基于2个月和6个月培养转化的ML模型可以准确预测MDR/RR-TB患者的治疗结果。ML模型,特别是人工神经网络模型,在稳定性和泛化性方面都优于逻辑回归模型,为MDR/RR-TB治疗早期疗效评估提供了快速有效的工具。
本文章由计算机程序翻译,如有差异,请以英文原文为准。

Using Machine Learning Methods to Predict Early Treatment Outcomes for Multidrug-Resistant or Rifampicin-Resistant Tuberculosis to Enhance Patient Cure Rates: Development and Validation of Multiple Models.

Using Machine Learning Methods to Predict Early Treatment Outcomes for Multidrug-Resistant or Rifampicin-Resistant Tuberculosis to Enhance Patient Cure Rates: Development and Validation of Multiple Models.

Using Machine Learning Methods to Predict Early Treatment Outcomes for Multidrug-Resistant or Rifampicin-Resistant Tuberculosis to Enhance Patient Cure Rates: Development and Validation of Multiple Models.

Using Machine Learning Methods to Predict Early Treatment Outcomes for Multidrug-Resistant or Rifampicin-Resistant Tuberculosis to Enhance Patient Cure Rates: Development and Validation of Multiple Models.

Background: Early prediction of treatment outcomes for patients with multidrug-resistant or rifampicin-resistant tuberculosis (MDR/RR-TB) undergoing extended therapy is crucial for enhancing clinical prognoses and preventing the transmission of this deadly disease. However, the absence of validated predictive models remains a significant challenge.

Objective: This study compared a conventional logistic regression model with machine learning (ML) models using demographic and clinical data to predict outcomes at 2 and 6 months of treatment for MDR/RR-TB. The goal was to advance model applications, refine control strategies, and boost MDR/RR-TB cure rates.

Methods: This retrospective study encompassed an internal cohort of 744 patients with MDR/RR-TB examined between January 2017 and June 2023, as well as an external cohort comprising 137 patients with MDR/RR-TB examined between March 2021 and June 2022. Data on culture conversion were collected at 2 and 6 months, and culture conversion was tracked in the external cohort at the same time points. The internal cohort was assigned as the training set, whereas the external cohort was used as the validation set. Logistic regression and 7 ML models were developed to predict the culture conversion of patients with MDR/RR-TB at 2 and 6 months of treatment. Model performance was evaluated using the area under the curve, accuracy, sensitivity, and specificity.

Results: In the internal cohort, culture conversion rates for MDR/RR-TB were 81.9% (485/592) at 2 months and 87.1% (406/466) at 6 months. The odds ratio for treatment success was 8.55 (95% CI 3.31-22.08) at 2 months and 20.33 (95% CI 6.90-59.86) at 6 months after conversion, with sensitivities of 86.5% and 92.2% and specificities of 57.1% and 63.2%, respectively. The artificial neural network model was the best for culture conversion at both 2 and 6 months of treatment, with areas under the curve of 0.82 (95% CI 0.77-0.86) and 0.90 (95% CI 0.86-0.93), respectively. The accuracy, sensitivity, and specificity of the model were 0.74, 0.74, and 0.75 at 2 months of treatment and 0.80, 0.79, and 0.87 at 6 months of treatment, respectively.

Conclusions: The ML models based on 2- and 6-month culture conversion could accurately predict treatment outcomes for patients with MDR/RR-TB. ML models, particularly the artificial neural network model, outperformed the logistic regression model in both stability and generalizability and offer a rapid and effective tool for evaluating therapeutic efficacy in the early stages of MDR/RR-TB treatment.

求助全文
通过发布文献求助,成功后即可免费获取论文全文。 去求助
来源期刊
CiteScore
14.40
自引率
5.40%
发文量
654
审稿时长
1 months
期刊介绍: The Journal of Medical Internet Research (JMIR) is a highly respected publication in the field of health informatics and health services. With a founding date in 1999, JMIR has been a pioneer in the field for over two decades. As a leader in the industry, the journal focuses on digital health, data science, health informatics, and emerging technologies for health, medicine, and biomedical research. It is recognized as a top publication in these disciplines, ranking in the first quartile (Q1) by Impact Factor. Notably, JMIR holds the prestigious position of being ranked #1 on Google Scholar within the "Medical Informatics" discipline.
×
引用
GB/T 7714-2015
复制
MLA
复制
APA
复制
导出至
BibTeX EndNote RefMan NoteFirst NoteExpress
×
提示
您的信息不完整,为了账户安全,请先补充。
现在去补充
×
提示
您因"违规操作"
具体请查看互助需知
我知道了
×
提示
确定
请完成安全验证×
copy
已复制链接
快去分享给好友吧!
我知道了
右上角分享
点击右上角分享
0
联系我们:info@booksci.cn Book学术提供免费学术资源搜索服务,方便国内外学者检索中英文文献。致力于提供最便捷和优质的服务体验。 Copyright © 2023 布克学术 All rights reserved.
京ICP备2023020795号-1
ghs 京公网安备 11010802042870号
Book学术文献互助
Book学术文献互助群
群 号:604180095
Book学术官方微信